【实际-有功-无功控制器的动态性能】【两级电压源变流器VSC】【采用电流控制的实际/无功功率控制器】【利用阿尔法-贝塔转换进行电流反馈】(Simulink仿真实现)

简介: 【实际-有功-无功控制器的动态性能】【两级电压源变流器VSC】【采用电流控制的实际/无功功率控制器】【利用阿尔法-贝塔转换进行电流反馈】(Simulink仿真实现)

💥💥💞💞欢迎来到本博客❤️❤️💥💥

🏆博主优势:🌞🌞🌞博客内容尽量做到思维缜密,逻辑清晰,为了方便读者。

⛳️座右铭:行百里者,半于九十。

⛳️赠与读者

👨‍💻做科研,涉及到一个深在的思想系统,需要科研者逻辑缜密,踏实认真,但是不能只是努力,很多时候借力比努力更重要,然后还要有仰望星空的创新点和启发点。当哲学课上老师问你什么是科学,什么是电的时候,不要觉得这些问题搞笑。哲学是科学之母,哲学就是追究终极问题,寻找那些不言自明只有小孩子会问的但是你却回答不出来的问题。建议读者按目录次序逐一浏览,免得骤然跌入幽暗的迷宫找不到来时的路,它不足为你揭示全部问题的答案,但若能让人胸中升起一朵朵疑云,也未尝不会酿成晚霞斑斓的别一番景致,万一它居然给你带来了一场精神世界的苦雨,那就借机洗刷一下原来存放在那儿的“躺平”上的尘埃吧。

    或许,雨过云收,神驰的天地更清朗.......🔎🔎🔎

💥1 概述

实际-有功-无功控制器的动态性能

两级电压源变流器(VSC)

采用电流控制的实际/无功功率控制器

利用阿尔法-贝塔转换进行电流反馈。

根据示例7.1的结果和电流控制的实时/无功功率控制器的模拟结果:图1展示了一个电流控制的实时/无功功率控制器的原理图。

 

image.gif 编辑

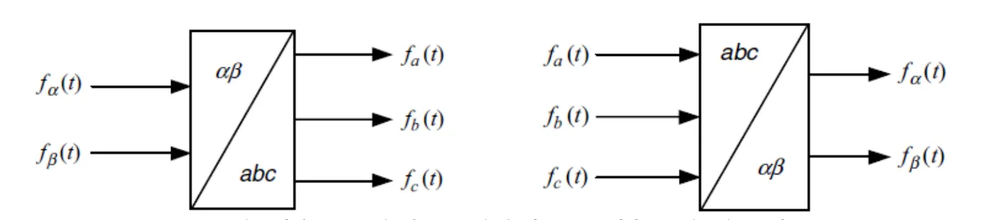
图2展示了αβ框架到abc框架和abc框架到αβ框架的转换块。

image.gif 编辑

图3展示了在MATLAB中用于示例7.1模拟的非理想两电平VSC的原理图。

 

image.gif 编辑

图4展示了图1中的实/无功功率控制器的控制块图。

image.gif 编辑

根据对实时/无功功率控制器动态性能的仿真结果,我们可以观察到所有观测参数的行为与教科书[2]中示例7.1中给出的相同。图9展示了仿真结果,其中Ps和Qs迅速跟随它们各自的命令。图9显示,当Ps=1兆瓦,Qs=0时,ia与Vsa同相位;当Ps=-1兆瓦,Qs=0时,ia滞后Vsa180°;当Ps=-1兆瓦,Qs=0.5兆乏时,ia滞后Vsa153°。这与教科书[2]中示例7.1的图8中观察到的情况相同。图12展示了图4的控制系统的一些重要变量。图12显示,iαref(和iβref)在t=0.1372秒之前为零。因此,α轴(和β轴)控制器保持uα(和uβ)等于Vsα(和Vsβ)。这意味着电感器之间没有电压降,因此iα(和iβ)保持为零。图11还显示,iαref(和iβref)在t=0.1372秒时更改为非零值。因此,α轴(和β轴)控制器相应地根据Vsα(和Vsβ)更改uα(和uβ),以在接口电感器上产生所需的电压降,并调节iα(和iβ)至其参考命令,这也与教科书[2]中示例7.1的图11中观察到的情况相同。

结论:

从图9的仿真结果中,我们观察到Ps和Qs迅速跟随它们各自的命令。然而,Ps和Qs的响应并非完全解耦。原因在于完全解耦Ps和Qs的控制需要iα和iβ立即跟随其相应的参考命令。然而,由于α轴和β轴闭环系统的带宽有限,iα和iβ在响应速度方面受到限制,因此Ps和Qs在某种程度上是耦合的。

从图12中,我们可以观察到α轴和β轴控制器的输出uα和uβ紧密跟随Vsα和Vsβ。uα和uβ相当于VSC交流端电压Vtabc基波的αβ坐标分量,因此,为了确保接口电感器上的零电压降,uα和uβ通过根据Ps和Qs的需求改变iα和iβ而紧密跟随Vsα和Vsβ。详细文档和参数、数学模型见第4部分。

As we can observe from the results of the simulation for Dynamic Performance of Real-/Reactive-Power Controller,

all the behaviour of observed parameters are the same as given in the from the textbook [2] in Example 7.1. Figure 9

illustrates the results of the simulation that Ps and Qs rapidly follow their respective commands. Figure 9 shows that ia

is (i) in phase with Vsa when Ps = 1 MW, and Qs = 0, (ii) 180◦ lagging Vsa when Ps = -1 MW, and Qs = 0, and (iii) 153◦

lagging Vsa when Ps = -1 MW, and Qs = 0.5 MVAr), same as also observed in the Figure 8 from the textbook [2]

Example 7.1.

Figure 12 illustrate a number of important variables of the control system of Figure 4. Figure 12 shows that iαref (and

iβref ) is zero until t = 0.1372 s. Therefore, the α-axis (and β-axis) controller keeps uα (and uβ) equal to V(and V). It

means there is no voltage drop across the inductors and, thus, iα (and iβ) remains zero. Figure 11 also shows that iαref

(and iβref ) is changed to a nonzero value at t = 0.1372 s. Consequently, the α-axis (and β-axis) controller accordingly

changes uα (and uβ) with respect to V(and V), to generate the required voltage drop across the interface inductors

and regulate iα (and iβ) at its reference command, again, same as also observed in the Figure 11 from the textbook [2]

Example 7.1.

Conclusion:

As we have observed in the simulation from Figure 9, Ps and Qs rapidly follow their respective commands. However,

the responses of Ps and Qs are not perfectly decoupled from each other. The reason is that a perfect decoupled control

of Ps and Qs requires iα and iβ to instantly follow their corresponding reference commands issued. However, due to the

limited bandwidth of α- and β-axis closed-loop systems, iα and iβ are limited in terms of the speed of response and thus

Ps and Qs are somewhat coupled.

From Figure 12, we can observed that the outputs of α- and β-axis controllers, that is, uα and uβ, are closely following

Vand V. uα and uβ are equivalent to the αβ-frame components of the fundamental harmonic of the VSC AC-side

terminal voltage Vtabc, therefore, to ensure zero voltage drop across interface inductors, uα and uβ closely follow V

and Vby changing iα and iβ according to the demand of Ps and Qs.

关于“实际-有功-无功控制器的动态性能”“两级电压源变流器VSC”“采用电流控制的实际/无功功率控制器”“利用阿尔法-贝塔转换进行电流反馈”的研究综述

一、研究背景与意义

在电力系统中,有功功率和无功功率的控制是维持电网稳定运行的关键。有功功率负责能量的传输,而无功功率则与电网中电压的稳定性和电能质量密切相关。随着可再生能源的大规模接入和电力电子设备的广泛应用,对有功-无功控制器的动态性能提出了更高要求。两级电压源变流器(VSC)作为一种重要的电力电子设备,能够实现电能的双向流动和高效转换,在可再生能源并网、柔性直流输电等领域具有广泛应用。采用电流控制策略的实际/无功功率控制器,通过精确控制变流器的电流输出,可以实现对有功和无功功率的动态调节。而利用阿尔法-贝塔转换进行电流反馈,则能够简化信号处理过程,提高控制器的响应速度和精度。

二、两级电压源变流器(VSC)技术原理

  1. VSC基本结构:两级VSC由两个电压源型换流器通过直流母线连接构成,分别作为整流器和逆变器,实现交流-直流-交流的能量双向流动。其核心功能包括四象限运行、功率灵活调节和直流母线稳压。
  2. 控制策略
  • UdcQ控制:一次侧采用恒直流电压与无功控制,通过双闭环控制维持直流母线电压稳定(外环电压控制)并调节无功功率(内环电流控制)。
  • PQ控制:二次侧采用恒功率控制,通过功率外环(跟踪有功/无功功率参考值)和电流内环(生成调制信号)实现功率精确调节。
  1. 动态响应特性
  • 功率双向流动:通过调节二次侧有功功率参考值(Pref)和一二次侧无功功率参考值(Q1_ref、Q2_ref),实现功率双向流动。例如,二次侧Pref=2MW时,功率从二次侧流向一次侧;Pref=-4MW时,功率反向传输。
  • 负荷突变响应:在负荷突变时(如一次侧切除4MW负荷,二次侧投入4MW负荷),系统通过UdcQ控制的快速响应(调节时间<100ms)维持直流电压稳定,并通过PQ控制的电流内环降低谐波含量,确保功率平滑过渡。

三、采用电流控制的实际/无功功率控制器

  1. 电流控制策略
  • 直接电流控制:通过直接控制变流器的电流输出,实现对无功功率的动态调节。该策略具有响应速度快、控制精度高的优点。
  • 双闭环控制结构:外环为功率控制环,根据参考功率生成电流参考值;内环为电流控制环,通过调节变流器输出电压使实际电流跟踪参考电流。
  1. 动态性能分析
  • 快速响应能力:电流控制策略能够迅速调整变流器输出电流,使有功和无功功率快速跟随参考命令。
  • 抗扰能力:在电网电压波动或负载突变时,电流控制策略能够有效抑制功率振荡,保持系统稳定运行。
  1. 实际应用案例
  • STATCOM(静止同步补偿器):采用直接电流控制的STATCOM能够实现对无功功率的实时补偿,提高电网的功率因数和电压稳定性。仿真和实验结果表明,该控制器具有较好的响应速度和补偿精度。
  • 双馈风力发电系统:在双馈风力发电系统中,采用电流控制策略实现对有功和无功功率的独立调节,提高风能转换效率和电网稳定性。仿真结果表明,基于模糊控制的电流控制器具有更好的动态响应能力和抗扰能力。

四、利用阿尔法-贝塔转换进行电流反馈

  1. 阿尔法-贝塔转换原理
  • 坐标变换:阿尔法-贝塔转换是一种在电力系统分析中常用的数学工具,能够将三相电系统中的交流信号转换为两相正交信号(α轴和β轴分量),从而简化信号处理过程。
  • 电流反馈实现:利用阿尔法-贝塔转换将三相电流信号转换为两相正交信号后,可以更加直观和便捷地获取电流的幅值和相位信息,为实现精确的无功功率控制提供有力支持。
  1. 在电流控制中的应用
  • 简化控制算法:通过阿尔法-贝塔转换,可以将三相电流控制问题转化为两相电流控制问题,简化控制算法设计。
  • 提高控制精度:阿尔法-贝塔转换能够消除三相电流之间的耦合效应,提高电流控制的精度和稳定性。
  1. Simulink仿真验证
  • 仿真模型构建:在Simulink环境中搭建两级VSC模型,并采用电流控制策略和阿尔法-贝塔转换进行电流反馈。
  • 动态性能仿真:通过仿真实验验证控制器的动态性能,包括有功和无功功率的快速跟随能力、抗扰能力等。仿真结果表明,采用阿尔法-贝塔转换进行电流反馈的控制器具有更好的动态性能和稳定性。

五、综合研究结论与展望

  1. 研究结论
  • 两级VSC技术优势:两级VSC能够实现电能的双向流动和高效转换,在可再生能源并网、柔性直流输电等领域具有广泛应用前景。
  • 电流控制策略有效性:采用电流控制策略的实际/无功功率控制器具有响应速度快、控制精度高的优点,能够有效提高电网的稳定性和电能质量。
  • 阿尔法-贝塔转换应用价值:利用阿尔法-贝塔转换进行电流反馈能够简化信号处理过程、提高控制精度和稳定性,为电力电子设备的控制策略设计提供了新的思路和方法。
  1. 未来研究方向
  • 多电平VSC技术研究:随着电力电子技术的不断发展,多电平VSC技术逐渐成为研究热点。未来可以进一步探索多电平VSC在有功-无功控制中的应用潜力。
  • 智能化控制策略研究:结合人工智能和机器学习技术,研究智能化控制策略在电力电子设备中的应用,提高控制器的自适应能力和智能化水平。
  • 实际工程应用验证:将研究成果应用于实际工程中,通过现场试验验证控制器的性能和稳定性,为电力电子设备的推广应用提供有力支持。

📚2 运行结果

image.gif 编辑

image.gif 编辑

image.gif 编辑

image.gif 编辑

image.gif 编辑

image.gif 编辑

image.gif 编辑

image.gif 编辑

🎉3 参考文献

文章中一些内容引自网络,会注明出处

相关文章
|
4月前
|
存储 SQL 分布式计算
大数据之路:阿里巴巴大数据实践——元数据与计算管理
本内容系统讲解了大数据体系中的元数据管理与计算优化。元数据部分涵盖技术、业务与管理元数据的分类及平台工具,并介绍血缘捕获、智能推荐与冷热分级等技术创新。元数据应用于数据标签、门户管理与建模分析。计算管理方面,深入探讨资源调度失衡、数据倾斜、小文件及长尾任务等问题,提出HBO与CBO优化策略及任务治理方案,全面提升资源利用率与任务执行效率。
|
3月前
|
人工智能 异构计算
敬请锁定《C位面对面》,洞察通用计算如何在AI时代持续赋能企业创新,助力业务发展!
敬请锁定《C位面对面》,洞察通用计算如何在AI时代持续赋能企业创新,助力业务发展!
|
5月前
|
人工智能 弹性计算 运维
通勤路上修故障?钉钉机器人+ OOS AI 助手实现 7×24 小时运维自由
通过钉钉机器人配置阿里云 OOS AI 助手,您可以直接在钉钉群内发送文字指令,实现免登录、跨设备、秒级响应的阿里云运维操作。
|
5月前
|
Kubernetes 算法 调度
【赵渝强老师】Kubernetes中Pod的调度策略
Kubernetes中Pod的调度是指将Pod分配到最合适的Node节点上运行。默认情况下,调度器根据资源需求和均衡策略自动选择节点。在特殊场景下,用户可通过nodeName和nodeSelector字段指定调度约束。本文详细介绍了Pod的创建过程及调度机制,并通过示例演示了如何使用nodeName和nodeSelector实现自定义调度策略。
238 1
|
机器学习/深度学习 人工智能 自然语言处理
【机器学习】python之人工智能应用篇--代码生成技术
代码生成技术是人工智能与软件工程交叉领域的一项重要技术,它利用机器学习、自然语言处理和其他AI算法自动编写或辅助编写计算机程序代码。这一技术旨在提高编程效率、降低错误率,并帮助非专业开发者快速实现功能。以下是代码生成技术的概述及其典型应用场景。
335 6
|
缓存 NoSQL Java
Redis 缓存与数据库数据不一致问题
Redis 缓存与数据库数据不一致问题
299 3
|
10月前
|
机器学习/深度学习 人工智能 自然语言处理
通古大模型:古籍研究者狂喜!华南理工开源文言文GPT:AI自动断句+写诗翻译,24亿语料喂出来的学术神器
通古大模型由华南理工大学开发,专注于古籍文言文处理,具备强大的古文句读、文白翻译和诗词创作功能。
1638 11
通古大模型:古籍研究者狂喜!华南理工开源文言文GPT:AI自动断句+写诗翻译,24亿语料喂出来的学术神器
|
敏捷开发 机器学习/深度学习 数据采集
端到端优化所有能力,字节跳动提出强化学习LLM Agent框架AGILE
【10月更文挑战第23天】字节跳动研究团队提出AGILE框架,通过强化学习优化大型语言模型(LLM)在复杂对话任务中的表现。该框架将LLM作为核心决策模块,结合记忆、工具和专家咨询模块,实现智能体的自我进化。实验结果显示,AGILE智能体在ProductQA和MedMCQA数据集上优于GPT-4。
859 4
|
人工智能