基于飞机配电优化负荷管理系统研究(Matlab代码实现)

简介: 基于飞机配电优化负荷管理系统研究(Matlab代码实现)

        💥💥💞💞欢迎来到本博客❤️❤️💥💥

🏆博主优势:🌞🌞🌞博客内容尽量做到思维缜密,逻辑清晰,为了方便读者。

⛳️座右铭:行百里者,半于九十。

⛳️赠与读者

👨‍💻做科研,涉及到一个深在的思想系统,需要科研者逻辑缜密,踏实认真,但是不能只是努力,很多时候借力比努力更重要,然后还要有仰望星空的创新点和启发点。建议读者按目录次序逐一浏览,免得骤然跌入幽暗的迷宫找不到来时的路,它不足为你揭示全部问题的答案,但若能解答你胸中升起的一朵朵疑云,也未尝不会酿成晚霞斑斓的别一番景致,万一它给你带来了一场精神世界的苦雨,那就借机洗刷一下原来存放在那儿的“躺平”上的尘埃吧。

    或许,雨过云收,神驰的天地更清朗.......🔎🔎🔎

💥1 概述

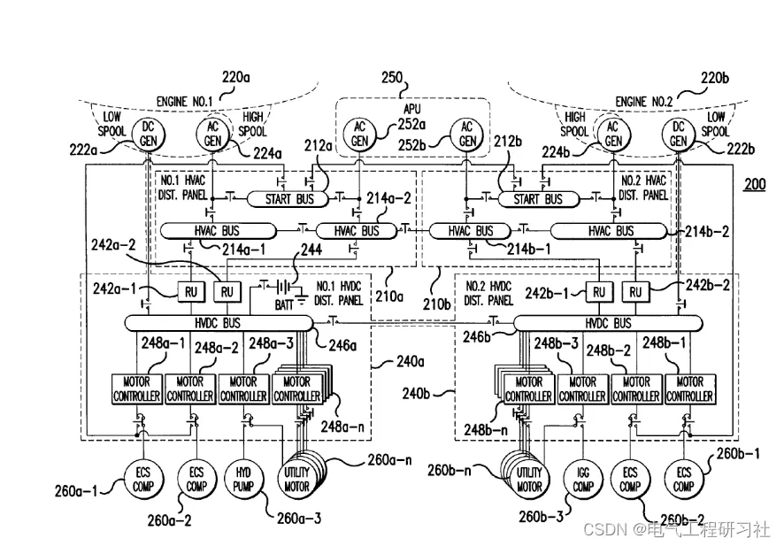
飞机电力系统 (EPS) 是安全关键系统,可为起落架或飞行控制执行器等重要负载提供电力。随着一些液压、气动和机械部件被电气部件取代,现代飞机 EPS 变得越来越复杂,因为硬件子系统数量更多以及它们与嵌入式控制软件的交互 [1]。电力系统的电气化允许实施智能控制技术,通过对电力资源的优化管理来实现更高的性能和整体效率。然而,今天的 EPS 设计主要遵循顺序衍生设计过程,其估计早期设计决策对最终实施的影响的能力有限(最初由德国 DoD1 为国防应用开发的 V 图的变体)。为了降低开发过程中的风险,新开发的设计通常是旧飞机 EPS 的转世,由于当今的飞机需要大量新功能,这种做法注定很快就会停止,我们的方法建立在许多结果的基础上,这些结果为更正式的 EPS 设计方法开辟了道路。在 [4] 中,作者提出了一个通过仿真对飞机子系统进行建模和架构探索的平台。类似地,在 [5] 中,作者利用飞机的飞行动力学模型与驱动系统模型耦合来利用仿真。虽然已经报道了几种用于电力电子、开关和转换器的优化技术,但优化整个配电系统的问题在文献中很少受到关注。在 [6] 中,确定了网络各个点的最佳电压和功率水平,以最小化总重量、安装成本和燃料消耗。在 [7] 中提出了一种遵循 PBD 范式的面向优化的 EPS 设计方法。然而,[6] 和 [7] 的主要关注点是发电机的选择和拓扑的设计,即不同 EPS 组件之间的互连,而不是 EPS 接触器开关逻辑的优化设计和负载管理。在 [8] 中讨论了 EPS 控制协议的正确构造设计的自动化程序。系统规范首先使用线性时序逻辑 [9] 进行转换,然后通过利用形式化方法自动合成以保证安全约束。然而,虽然最终解决方案的正确性得到保证,但它在许多性能指标方面的最优性,例如使用的发电机数量和卸载负载,并没有得到解决。

image.gif 编辑

不同组件之间的连接由单线图 (SLD) 指定,这是一种表示三相电力系统的简化符号 [1]。交流和直流发电机为许多交流和直流负载或电力转换设备(例如变压器和整流器单元)供电。除了连接到飞机发动机的发电机外,发电元件还包括辅助动力装置(APU)和电池。电力通过一条或多条总线分配,发电机与负载的连接通过一系列机电开关(称为接触器)进行布线。一部分负载很关键,无法卸载,而其他负载可以在紧急情况下脱机。最后,电流、电压和接触器传感器用于监控系统状态并识别可能的故障。

本文结构如下。在第 II 节对示例 EPS 系统及其要求进行了简要描述后,第 III 节说明了我们的分层优化负载管理方法,包括问题的优化,而第 IV 节总结了Matlab模拟结果。最后,在第五节中,得出结论。

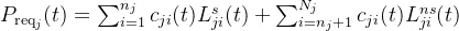
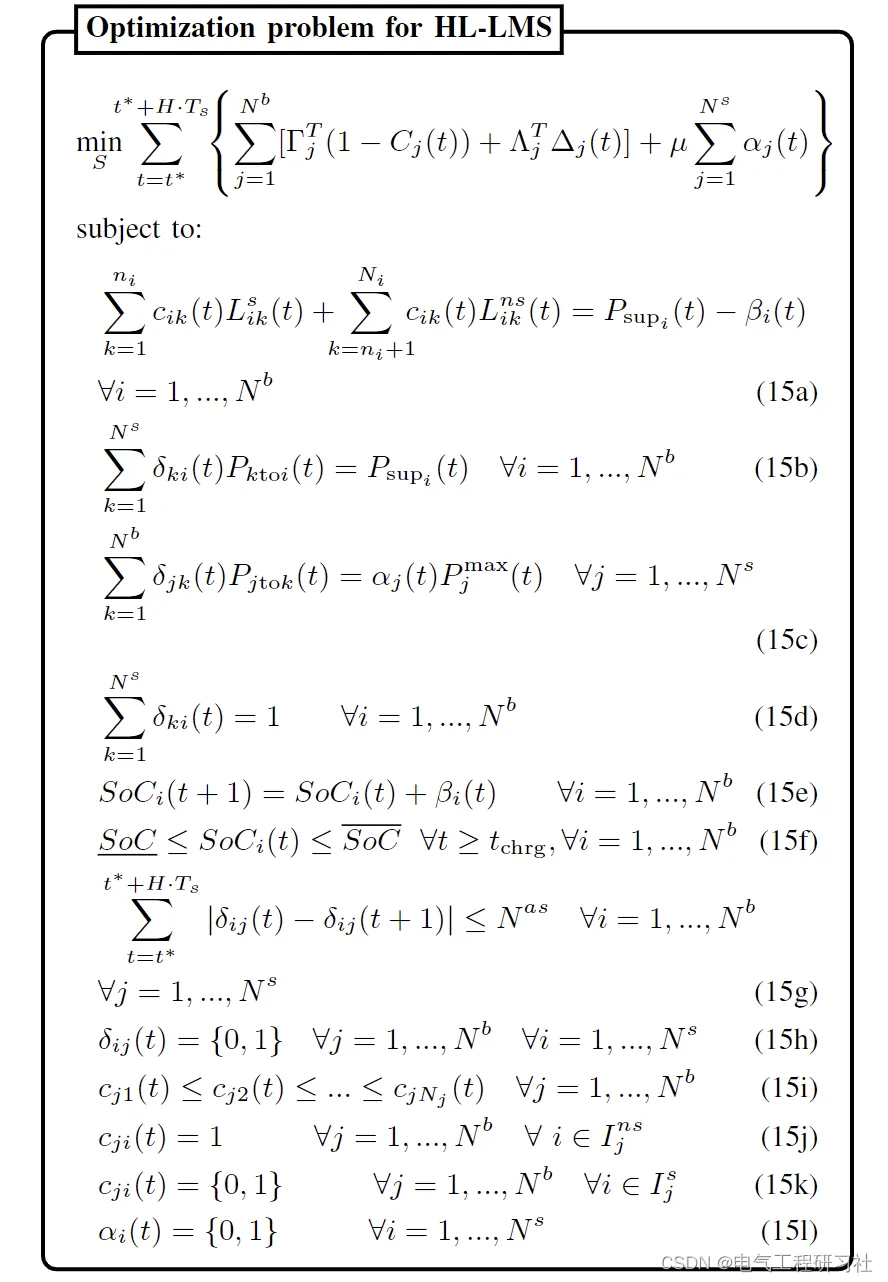
数学模型

              image.gif 编辑

                image.gif 编辑

                          image.gif 编辑

            image.gif 编辑

详细数学模型及解释见第四部分。

image.gif 编辑

image.gif 编辑

image.gif 编辑

结论

本文讲解了一种用于飞机配电的分层优化负载管理系统。在我们的方法中,高级负载管理系统 (HL-LMS) 通过在后退水平方法中求解有效的混合整数线性程序来协调减载、源分配和电池利用率。最佳控制问题的结果作为建议提供给可以直接驱动 EPS 接触器的低级负载管理系统 (LL-LMS)。每次发生故障时,来自 HL-LMS 的结果可以忽略,LL-LMS 应用预定义的最坏情况控制策略,直到使用实际系统状态更新高级优化问题公式以适应故障。除了保证系统安全外,我们的分层架构在卸载负载百分比和使用源数量方面显示出相对于仅基于 LL-LMS 的传统架构的显着性能改进。最后,仿真结果表明,最优控制问题在所选应用的范围内可以合理地扩展。

📚2 运行结果

image.gif 编辑

image.gif 编辑

image.gif 编辑

image.gif 编辑

image.gif 编辑

image.gif 编辑

image.gif 编辑

部分代码:

function [configs] = HLLMS(sensors, constants) %only using 'sensors' for generator status

   N = constants.N; % number of timesteps (use all timesteps -- no interpolation or kron)

   Nt = constants.Nt; % prediction horizon

   Nl = constants.Nl; % number of loads connected to each bus

   Ns = constants.Ns; % number of power sources

   Nb = constants.Nb; % number of HVAC buses

   %% load the "loads"

   [Ls1 Lns1 Ls2 Lns2] = sliceWorkloads(sensors, constants); %get relevant slice of historicalWorkloads

 

   %% Max. Power supply by Engines and APU

   U1=constants.generatorOutput(1);     Peng1=U1*ones(1,Nt);

   U2=constants.generatorOutput(2);     Peng2=U2*ones(1,Nt);

   U3=constants.generatorOutput(3);   Papu=U3*ones(1,Nt);

   U=[U1*ones(1,Nt); U2*ones(1,Nt); U3*ones(1,Nt)];

   P=[Peng1' Peng2' Papu'];

   startBatteryCharge1=sensors.batteryCharge1; startBatteryCharge2=sensors.batteryCharge2;

   %% Optimization problem set-up

   tic;

   %Coefficients (one set for Bus 1, one set for Bus 2):

   Lambda1=[0 1 2];                    Lambda2=[1 0 2]; %generator priority table (GR, GL, APU)

   %Lambda1=[0 2 0];                    Lambda2=[1 2 0]; %pri table: prefer APU over other side's generator

   Gamma1=1000*ones(1,Nl);             Gamma2=500*ones(1,Nl); %load shedding priority table (one value for each load at each timestep)

    M=3; %'mu' -- weight for alpha (see eq.9 in OLMS paper)

    %M=1;

   % Decision variables (one set for Bus 1, one set for Bus 2)

   C1=binvar(Nl,Nt,'full');            C2=binvar(Nl,Nt,'full'); %C1(l,t) = "shed load l at time t?:

   Del1=binvar(Ns,Nt,'full');          Del2=binvar(Ns,Nt,'full'); %Del1(g,t) = "is bus 1 powered by generator g at time t?"

   Beta1=sdpvar(1,Nt,'full');          Beta2=sdpvar(1,Nt,'full'); %Beta1(1,t) = "amount of pwr used for battery 1 at time t"

   Y1=sdpvar(Ns,Nt,'full');            Y2=sdpvar(Ns,Nt,'full'); %what is this?

   alpha=binvar(Nt,Ns,'full'); %alpha(t,g) = "is anything drawing pwr from generator g at time t?"

   Pito1=sdpvar(Nt,Ns,'full');         Pito2=sdpvar(Nt,Ns,'full'); %Pito1(t,g) = "amount of pwr delivered by generator g to bus 1 at time t"

   BETA1 = sdpvar(1,Nt,'full'); BETA2 = sdpvar(1,Nt,'full'); %cumulative battery charge. (lowercase Beta is per-timestep change in charge)

   nSwitch1 = sdpvar(1,Nt,'full'); nSwitch2 = sdpvar(1,Nt,'full'); nSwitch3 = sdpvar(1,Nt,'full'); nSwitch4 = sdpvar(1,Nt,'full'); nSwitch5 = sdpvar(1,Nt,'full'); nSwitch6 = sdpvar(1,Nt,'full');

   % Constraints

   cons=[];

   %cons=[cons, 0 <= BETA1, 0 <= BETA2];

   cons=[cons, 0 <= BETA1 <= constants.maxBatteryLevel, 0 <= BETA2 <= constants.maxBatteryLevel]; %battery charge level can't be negative

   for i=1:Nl-1

       cons=[cons, C1(i,:) <= C1(i+1,:), C2(i,:) <= C2(i+1,:)];

   end

   cons=[ cons, sum(Del1,1) == ones(1,Nt)];  % \delta_11(t) + \delta12(t) + \delta_13(t)=1    \forall t>=0

   cons=[ cons, sum(Del2,1) == ones(1,Nt)];

   for i=1:Ns %hard code "generator broken" where necessary

       if (sensors.genStatus(i) == 0)

           cons=[cons, alpha(:,i)==0]; %require that generator i is off

           cons=[cons, Del1(i,:)==0, Del2(i,:)==0]; %require that nobody draws power from gen i

       end

   end

   x=1:1:N;

   xi=0:N/(Nt-1):N; xi(1)=1;  % 0:10:100

   % the following five lead to MILP.

   cons=[cons, sum(C1.*interp1(x,Ls1',xi)',1) + sum(interp1(x,Lns1',xi),2)' == sum(Y1,1) - Beta1];   %\sum cji(t)*lji(t)= \sum \deta_ji *P_source_i - Betaj

   cons=[cons, sum(C2.*interp1(x,Ls2',xi)',1) + sum(interp1(x,Lns2',xi),2)' == sum(Y2,1) - Beta2];

   cons=[cons, Y1' + Y2' == alpha.*P];    % The three constraints of the form \delta_{11}*P_{1to1} + \delta_{2to1}*P_{2to2}=P_{eng1}

   cons=[cons,  0 <= Y1 <= Pito1', 0 <= Y2 <= Pito2'];

   cons=[cons, Pito1' - U.*(1-Del1) <= Y1 <= U.*Del1, Pito2' - U.*(1-Del2) <= Y2 <= U.*Del2];

   if(sensors.time >= constants.tMinBatteryLevel)

       cons=[cons, constants.minBatteryLevel <= BETA1, constants.minBatteryLevel <= BETA2];

       display(sprintf('using minBatteryLevel starting at time %d', sensors.time))

   elseif((constants.tMinBatteryLevel - sensors.time) < 0) %TODO: check correctness

       display('not using minBatteryLevel constraint')

       my_tMinBatteryLevel = constants.tMinBatteryLevel - sensors.time;

       cons=[cons, maxBatteryLevel <= BETA1(my_tMinBatteryLevel:Nt) >= minBatteryLevel, BETA2(my_tMinBatteryLevel:Nt) >= minBatteryLevel]; %enforce lower bound on battery charge level after the tMinBatteryLevel-th timestep

   end

   %everything is shifted to start at 2 (see 'configs' below), so Beta1(1),Beta2(1) is (ignored?)

   BETA1(1) = startBatteryCharge1; BETA2(1) = startBatteryCharge2;    

   for i=2:Nt

       cons=[cons, BETA1(i) == BETA1(i-1) + Beta1(i), BETA2(i) == BETA2(i-1) + Beta2(i)];

   end

   nSwitch1=0; nSwitch2=0; nSwitch3=0; nSwitch4=0; nSwitch5=0; nSwitch6=0;

   for i=1:Nt-1

       nSwitch1=nSwitch1 + abs( Del1(1,i)-Del1(1,i+1) );

       nSwitch2=nSwitch2 + abs( Del1(2,i)-Del1(2,i+1) );

       nSwitch3=nSwitch3 + abs( Del1(3,i)-Del1(3,i+1) );

       

       nSwitch4=nSwitch4 + abs( Del2(1,i)-Del2(1,i+1) );

       nSwitch5=nSwitch5 + abs( Del2(2,i)-Del2(2,i+1) );

       nSwitch6=nSwitch6 + abs( Del2(3,i)-Del2(3,i+1) );

   end

   NOAS=3;  % Number Of Allowed Switchings

   cons=[cons, nSwitch1<=NOAS, nSwitch2<=NOAS, nSwitch3<=NOAS];

   cons=[cons, nSwitch4<=NOAS, nSwitch5<=NOAS, nSwitch6<=NOAS];

   % Objective

   obj=0;

   obj = obj + sum(Gamma1 * (1-C1)) + sum (Gamma2 * (1-C2));

   obj = obj + sum(Lambda1 * Del1) + sum(Lambda2 * Del2);

   obj = obj + M * sum(sum(alpha));

   options=sdpsettings('solver','Cplex'); %windows needs 'Cplex' and mac is ok with 'cplex' or 'Cplex'

   solvesdp(cons,obj,options);

   toc;

   Shedding1 = double(C1(:,:));

   Shedding2 = double(C2(:,:));

   batteryUpdate1 = double(Beta1(:,:));

   batteryUpdate2 = double(Beta2(:,:));

   Del1_double = double(Del1(:,:));

   Del2_double = double(Del2(:,:));

   GeneratorOnOff = double(alpha(:,:)); % unlike the other variables, alpha's time index comes first

   configs = []; %array of 'config' data structures

   for i=1:(Nt-1) %1 to horizon

       BusGen = [0 0];

       [myMax BusGen(1)] = max(Del1_double(:,i+1));  %BusGen(1) is argmax here

       [myMax BusGen(2)] = max(Del2_double(:,i+1));

       config = struct('Shedding1', Shedding1(:,i+1)', 'Shedding2', Shedding2(:,i+1)', 'BusGen', BusGen, 'batteryUpdate1', batteryUpdate1(:,i+1), 'batteryUpdate2', batteryUpdate2(:,i+1), 'GeneratorOnOff', GeneratorOnOff(i,:), 'HLadviceUsed', true);

       configs = [configs config];

   end

end

function [Ls1 Lns1 Ls2 Lns2] = sliceWorkloads(sensors, constants)

   nTimestepsOuterLoop = max(size(constants.historicalWorkloads.Ls1(1,:)));

   lo = sensors.time;

   hi = min((sensors.time + constants.N)-1, nTimestepsOuterLoop); %out-of-bounds check

   Ls1 = constants.historicalWorkloads.Ls1(:, lo:hi);

   Lns1 = constants.historicalWorkloads.Lns1(:, lo:hi);

   Ls2 = constants.historicalWorkloads.Ls2(:, lo:hi);

   Lns2 = constants.historicalWorkloads.Lns2(:, lo:hi);

end

🎉3 参考文献

文章中一些内容引自网络,会注明出处或引用为参考文献,难免有未尽之处,如有不妥,请随时联系删除。(文章内容仅供参考,具体效果以运行结果为准)

image.gif 资料获取,更多粉丝福利,MATLAB|Simulink|Python资源获取【请看主页然后私信】

相关文章
|
10天前
|
机器学习/深度学习 传感器 算法
【高创新】基于优化的自适应差分导纳算法的改进最大功率点跟踪研究(Matlab代码实现)
【高创新】基于优化的自适应差分导纳算法的改进最大功率点跟踪研究(Matlab代码实现)
97 14
|
10天前
|
机器学习/深度学习 边缘计算 运维
【电能质量扰动】基于ML和DWT的电能质量扰动分类方法研究(Matlab实现)
【电能质量扰动】基于ML和DWT的电能质量扰动分类方法研究(Matlab实现)
79 10
|
9天前
|
监控
基于MATLAB/Simulink的单机带负荷仿真系统搭建
使用MATLAB/Simulink平台搭建一个单机带负荷的电力系统仿真模型。该系统包括同步发电机、励磁系统、调速系统、变压器、输电线路以及不同类型的负荷模型。
175 5
|
10天前
|
机器学习/深度学习 算法
【概率Copula分类器】实现d维阿基米德Copula相关的函数、HACs相关的函数研究(Matlab代码实现)
【概率Copula分类器】实现d维阿基米德Copula相关的函数、HACs相关的函数研究(Matlab代码实现)
|
10天前
|
存储 算法 安全
【多目标工程应用】基于MOGWO的地铁隧道上方基坑工程优化设计研究(Matlab代码实现)
【多目标工程应用】基于MOGWO的地铁隧道上方基坑工程优化设计研究(Matlab代码实现)
|
10天前
|
传感器 机器学习/深度学习 编解码
【电缆】中压电缆局部放电的传输模型研究(Matlab代码实现)
【电缆】中压电缆局部放电的传输模型研究(Matlab代码实现)
|
11天前
|
算法 计算机视觉
【MPDR & SMI】失配广义夹角随输入信噪比变化趋势、输出信干噪比随输入信噪比变化趋势研究(Matlab代码实现)
【MPDR & SMI】失配广义夹角随输入信噪比变化趋势、输出信干噪比随输入信噪比变化趋势研究(Matlab代码实现)
|
11天前
|
编解码 人工智能 算法
【采用BPSK或GMSK的Turbo码】MSK、GMSK调制二比特差分解调、turbo+BPSK、turbo+GMSK研究(Matlab代码实现)
【采用BPSK或GMSK的Turbo码】MSK、GMSK调制二比特差分解调、turbo+BPSK、turbo+GMSK研究(Matlab代码实现)
|
11天前
|
机器学习/深度学习 编解码 并行计算
【改进引导滤波器】各向异性引导滤波器,利用加权平均来实现最大扩散,同时保持图像中的强边缘,实现强各向异性滤波,同时保持原始引导滤波器的低低计算成本(Matlab代码实现)
【改进引导滤波器】各向异性引导滤波器,利用加权平均来实现最大扩散,同时保持图像中的强边缘,实现强各向异性滤波,同时保持原始引导滤波器的低低计算成本(Matlab代码实现)
|
11天前
|
机器学习/深度学习 传感器 边缘计算
【故障诊断】基于时滞反馈随机共振的增强型旋转电机故障诊断(Matlab代码实现)
【故障诊断】基于时滞反馈随机共振的增强型旋转电机故障诊断(Matlab代码实现)

热门文章

最新文章