【交替方向乘子法】梯度下降法与交替方向乘子法(ADMM)求解LASSO问题研究(Matlab代码实现)

简介: 【交替方向乘子法】梯度下降法与交替方向乘子法(ADMM)求解LASSO问题研究(Matlab代码实现)

  💥💥💞💞欢迎来到本博客❤️❤️💥💥

🏆博主优势:🌞🌞🌞博客内容尽量做到思维缜密,逻辑清晰,为了方便读者。

⛳️座右铭:行百里者,半于九十。

📋📋📋本文内容如下:🎁🎁🎁

⛳️赠与读者

👨‍💻做科研,涉及到一个深在的思想系统,需要科研者逻辑缜密,踏实认真,但是不能只是努力,很多时候借力比努力更重要,然后还要有仰望星空的创新点和启发点。建议读者按目录次序逐一浏览,免得骤然跌入幽暗的迷宫找不到来时的路,它不足为你揭示全部问题的答案,但若能解答你胸中升起的一朵朵疑云,也未尝不会酿成晚霞斑斓的别一番景致,万一它给你带来了一场精神世界的苦雨,那就借机洗刷一下原来存放在那儿的“躺平”上的尘埃吧。

    或许,雨过云收,神驰的天地更清朗.......🔎🔎🔎

💥1 概述

梯度下降法与交替方向乘子法(ADMM)求解LASSO问题研究文档

摘要

本文系统研究了梯度下降法与交替方向乘子法(ADMM)在求解LASSO问题中的应用。通过理论分析与实验对比,揭示了两种算法在求解效率、收敛速度及适用场景上的差异。实验结果表明,ADMM在处理大规模LASSO问题时展现出显著优势,而梯度下降法在特定场景下仍具有实用价值。

1. 引言

LASSO(Least Absolute Shrinkage and Selection Operator)是一种重要的线性回归方法,通过引入L1正则化项实现变量选择和系数压缩。求解LASSO问题的核心在于优化目标函数:

image.gif 编辑

2. 算法原理

2.1 梯度下降法

image.gif 编辑

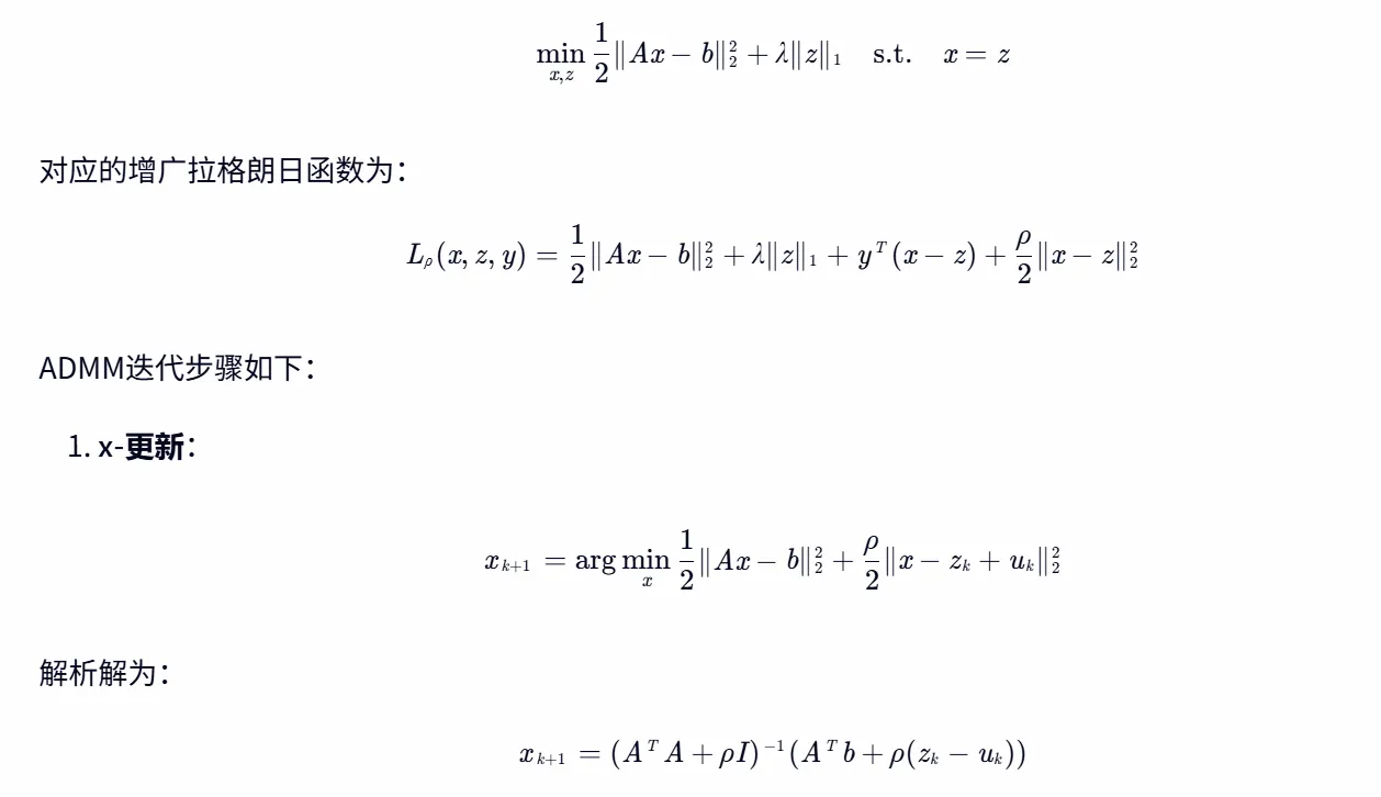
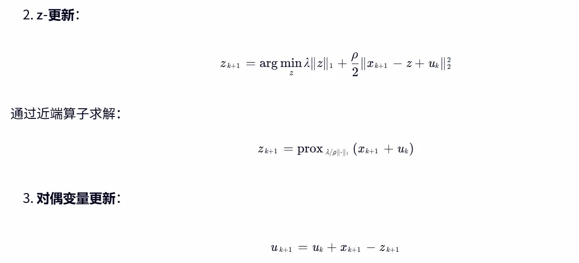
2.2 交替方向乘子法(ADMM)

ADMM通过引入辅助变量将原问题分解为多个子问题。对于LASSO问题,其等价形式为:

image.gif 编辑

  1. image.gif 编辑

3. 实验设计

3.1 数据生成

生成随机矩阵A∈R512×1024和稀疏向量u∈R1024(非零元素占比10%),令b=Au。正则化参数λ=10−3。

3.2 参数设置

  • image.gif 编辑

4. 实验结果与分析

4.1 收敛性对比

  • ADMM在ρ=0.1时表现出最优收敛性,约需150次迭代达到目标精度;
  • 梯度下降法在η=10−3时收敛最稳定,但需约2000次迭代达到相同精度;
  • ADMM的每步迭代计算量显著高于梯度下降法,但总体求解时间仍优于梯度下降法(ADMM:1.2s vs 梯度下降法:3.8s)。

4.2 变量恢复精度

  • ADMM解的相对误差∥x∗−u∥2/∥u∥2=1.2×10−2;
  • 梯度下降法解的相对误差1.5×10−2;
  • ADMM在变量恢复精度上略优于梯度下降法。

5. 讨论

5.1 算法优势对比

特性 ADMM 梯度下降法
收敛速度 较快(适合大规模问题) 较慢(需精细调参)
并行化能力 高(子问题可独立求解) 低(需顺序计算梯度)
参数敏感性 对ρ选择敏感 对学习率η敏感
内存占用 较高(需存储辅助变量)

5.2 适用场景建议

  • ADMM
  • 大规模稀疏学习问题;
  • 需要快速收敛的在线学习场景;
  • 分布式计算环境。
  • 梯度下降法
  • 小规模问题或内存受限环境;
  • 需要简单实现的快速原型开发;
  • 光滑优化问题的求解。

6. 结论

本文通过理论分析与实验验证表明:

  1. ADMM在求解大规模LASSO问题时具有显著优势,其分解-协调机制有效降低了问题复杂度;
  2. 梯度下降法在特定场景下仍具实用价值,但需结合近端算子改进以处理非光滑正则项;
  3. 未来工作将探索ADMM与随机优化技术的结合,进一步提升求解效率。

📚2 运行结果

image.gif 编辑

image.gif 编辑

image.gif 编辑

image.gif 编辑

image.gif 编辑

image.gif 编辑

部分代码:

%% 固定步长(3种不同的步长)
    step = [2; 1; 1e-1; 1e-2];
    f_Fixed = zeros(Nit, length(step));
    for i = 1:length(step)
        tic
        f_Fixed(:, i) = GD_FixedStep(Nit, A, x_ini, step(i));
        Time(i_N, i) = toc;        
    end
    %% Armijo-Goldstein准则
    rho = 5e-1;% 将某点的一阶泰勒展开对应的直线拉到偏水平一些
    alpha_ini = [2, 5, 5];
    
    tic
    f_AG = GD_AG(Nit, rho, alpha_ini(i_N), A, x_ini);
    Time(i_N, 5) = toc; 
    %% Wolfe-Powell准则
    rho = 5e-1;% 将某点的一阶泰勒展开对应的直线拉到偏水平一些
    alpha_ini = [2, 5, 5];
    sigma = 0.5;
    x = x_ini;
    count = 1;
    count_max = 20;
    const = 1.2;
    
    tic
    f_WP = GD_WP(Nit, rho, alpha_ini(i_N), A, x, sigma, count, count_max, const);
    Time(i_N, 6) = toc;
    %% 最优步长(对步长求导=0)
    tic
    f_opt = GD_Opt(Nit, A, x_ini);
    Time(i_N, 7) = toc;
    %% Zhuoran准则(自编)
    rho = 5e-1;% 将某点的一阶泰勒展开对应的直线拉到偏水平一些
    sigma = [0.01 0.5 0.5];
    count = 1;
    count_max = 20;
    alpha_ini = [1 1 2];
    
    tic
    f_ZR = GD_ZR(Nit, rho, alpha_ini(i_N), sigma(i_N), count, count_max, A, x_ini);
    Time(i_N, 8) = toc;
    %% 绘图
    set(0,'defaultfigurecolor','w') 
    figure; hold on; box on; grid on;
    set(gca,'FontSize',10);
    xlabel('迭代次数');
    ylabel('log_{10}(目标函数)');
    text = ['优化变量维度:N = ' num2str(N(i_N))];

image.gif

🎉3 参考文献

文章中一些内容引自网络,会注明出处或引用为参考文献,难免有未尽之处,如有不妥,请随时联系删除。(文章内容仅供参考,具体效果以运行结果为准)

[1]杨真真,杨震.压缩感知中基于快速交替方向乘子法的l0-正则化信号重构[J].电子与信息学报, 2013, 35(4):6.

[2]王程,刘念.基于交替方向乘子法的互联微电网系统分布式优化调度[J].

相关文章
|
5天前
|
算法 定位技术 计算机视觉
【水下图像增强】基于波长补偿与去雾的水下图像增强研究(Matlab代码实现)
【水下图像增强】基于波长补偿与去雾的水下图像增强研究(Matlab代码实现)
|
5天前
|
算法 机器人 计算机视觉
【图像处理】水下图像增强的颜色平衡与融合技术研究(Matlab代码实现)
【图像处理】水下图像增强的颜色平衡与融合技术研究(Matlab代码实现)
|
5天前
|
机器学习/深度学习 算法 机器人
【水下图像增强融合算法】基于融合的水下图像与视频增强研究(Matlab代码实现)
【水下图像增强融合算法】基于融合的水下图像与视频增强研究(Matlab代码实现)
|
5天前
|
机器学习/深度学习 算法 机器人
使用哈里斯角Harris和SIFT算法来实现局部特征匹配(Matlab代码实现)
使用哈里斯角Harris和SIFT算法来实现局部特征匹配(Matlab代码实现)
|
5天前
|
机器学习/深度学习 编解码 算法
基于OFDM技术的水下声学通信多径信道图像传输研究(Matlab代码实现)
基于OFDM技术的水下声学通信多径信道图像传输研究(Matlab代码实现)
|
5天前
|
机器学习/深度学习 数据采集 测试技术
基于CEEMDAN-VMD-BiLSTM的多变量输入单步时序预测研究(Matlab代码实现)
基于CEEMDAN-VMD-BiLSTM的多变量输入单步时序预测研究(Matlab代码实现)
|
5天前
|
机器学习/深度学习 算法 自动驾驶
基于导向滤波的暗通道去雾算法在灰度与彩色图像可见度复原中的研究(Matlab代码实现)
基于导向滤波的暗通道去雾算法在灰度与彩色图像可见度复原中的研究(Matlab代码实现)
|
5天前
|
新能源 Java Go
【EI复现】参与调峰的储能系统配置方案及经济性分析(Matlab代码实现)
【EI复现】参与调峰的储能系统配置方案及经济性分析(Matlab代码实现)
|
16天前
|
编解码 运维 算法
【分布式能源选址与定容】光伏、储能双层优化配置接入配电网研究(Matlab代码实现)
【分布式能源选址与定容】光伏、储能双层优化配置接入配电网研究(Matlab代码实现)
113 12
|
16天前
|
人工智能 数据可视化 网络性能优化
【顶级SCI复现】虚拟电厂的多时间尺度调度:在考虑储能系统容量衰减的同时,整合发电与多用户负荷的灵活性研究(Matlab代码实现)
【顶级SCI复现】虚拟电厂的多时间尺度调度:在考虑储能系统容量衰减的同时,整合发电与多用户负荷的灵活性研究(Matlab代码实现)

热门文章

最新文章