【PTA】7-2 字符串逆序 (15分)

简介: 输入一个字符串,对该字符串进行逆序,输出逆序后的字符串。输入格式:输入在一行中给出一个不超过80个字符长度的、**以回车结束的非空字符串。**输出格式:在一行中输出逆序后的字符串。输入样例:Hello World! 输出样例:!dlroW olleH```c#include<stdio.h>int main(){ char ch,a[80],b[80]; int cnt=0,i,j; ch=getchar(); for(i=0;ch!='\n';i++){ a[i]=ch; c

输入一个字符串,对该字符串进行逆序,输出逆序后的字符串。

输入格式:
输入在一行中给出一个不超过80个字符长度的、以回车结束的非空字符串。

输出格式:
在一行中输出逆序后的字符串。

输入样例:
Hello World!

输出样例:
!dlroW olleH

#include<stdio.h>
int main(){
    char ch,a[80],b[80];
    int cnt=0,i,j;
    ch=getchar();
    for(i=0;ch!='\n';i++){
        a[i]=ch;
        cnt++;
        ch=getchar();
    }
    for(i=0,j=cnt-1;i<cnt;i++,j--){
        b[j]=a[i];
    }
    for(i=0;i<cnt;i++){
        printf("%c",b[i]);
    }
    return 0;
}
目录
相关文章
|
存储 C++ 索引
C++ string容器-字符存取讲解
C++ string容器-字符存取讲解
173 0
|
机器学习/深度学习 人工智能
CPP2022-17-数组-选择排序(下)
CPP2022-17-数组-选择排序(下)
400 0
|
6月前
Multisim14.0中文下载安装步骤教程
Multisim14.0是由美国NI公司开发的EDA工具,适用于电路设计与仿真。本文提供详细中文安装步骤:下载安装包后解压,运行安装程序并设置路径,填写用户信息,选择安装位置,接受协议完成安装。随后安装NILicense激活器及中文语言包,最终实现软件汉化与正常运行。附带网盘下载链接,方便国内用户获取资源。
2030 15
|
人工智能 自然语言处理 PyTorch
【人工智能】Transformers之Pipeline(二):自动语音识别(automatic-speech-recognition)
【人工智能】Transformers之Pipeline(二):自动语音识别(automatic-speech-recognition)
541 1
|
缓存 JavaScript 前端开发
程序员必知:广告等第三方应用嵌入到web页面方案之使用js片段
程序员必知:广告等第三方应用嵌入到web页面方案之使用js片段
168 0
|
应用服务中间件 Linux 网络安全
67Linux - 解决Linux下tomcat启动成功但不能访问的问题
67Linux - 解决Linux下tomcat启动成功但不能访问的问题
986 0
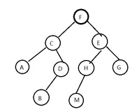
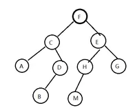
先序序列创建二叉树,输出先序序列、中序序列、后序序列并输出叶子结点数
先序序列创建二叉树,输出先序序列、中序序列、后序序列并输出叶子结点数
720 0
先序序列创建二叉树,输出先序序列、中序序列、后序序列并输出叶子结点数
7-10 先序序列创建二叉树,输出先序序列、中序序列、后序序列并输出叶子结点数 (10 分)
7-10 先序序列创建二叉树,输出先序序列、中序序列、后序序列并输出叶子结点数 (10 分)
588 0
7-10 先序序列创建二叉树,输出先序序列、中序序列、后序序列并输出叶子结点数 (10 分)
|
算法 异构计算
数字信号处理-04- FPGA常用运算模块-除法器(二)
数字信号处理-04- FPGA常用运算模块-除法器
1033 0
数字信号处理-04- FPGA常用运算模块-除法器(二)
|
人工智能
求矩阵的局部极大值
求矩阵的局部极大值
169 0