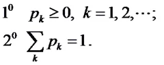
Content
Random variable
Random variable is usually understood to mean a real-valued random variable; this discussion assumes real values. A random variable is a real-valued function defined on a set of possible outcomes, the sample space Ω. That is, the random variable is a function that maps from its domain, the sample space Ω, to its range, the real numbers or a subset of the real numbers. It is typically some kind of a property or measurement on the random outcome.
what is it? I think the definition is not clear to understand.In my words,Random variable can be used to describe the process of rolling dice and the possible outcomes.
Discrete probability distribution
The range of distribution function is the discrete random variables, such as the onlyinteger is belongs to the discrete distribution.
represents the probability random variable
value. If the value of X is
,then:
Example:
若罚球两次, 第一次罚中的概率为0.75,若第一次罚中则第二次罚中的概率为0.8,若第一次未罚中则第二次罚中的概率为0.7.以X记罚球两次其中罚中的次数,求X的分布律。
解:X的可能取值为0,1,2.
X |
0 |
1 |
2 |
pk |
0.075 |
0.325 |
0.6 |
也可以通过一系列数据展现到图上
Binomial Distribution
the binomial distribution is the discrete probability distributionof the number of successes in a sequence of n independent yes/no experiments.In general, if the random variable X follows the binomial distribution with parameters n and p, we writeX ~ B(n, p). The probability of getting exactly k successes in n trials is given by the probability mass function:
Symbols for:
X~B (n, p)
show an example:
若某人做某事的成功率为1%,他重复努力 400次,则至少成功一次的概率为 :
爱迪生: “天才=1%的灵感+99%的汗水” 但那1%的灵感是最重要的,甚至比那99%的汗水都要重要
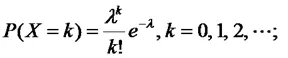
Poisson's distribution
A discrete random variable X is said to have a Poisson distribution with parameter λ > 0, if, for k=0,1,2,…, the probability mass function of X is given by:
Symbols for:
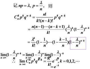
The relation of binomial distribution and poisson's distribution
proved:


![image_thumb[2] image_thumb[2]](https://ucc.alicdn.com/6jtm43t7mmotw/developer-article35487/20241009/f0ace6a6bd6e4e75b4b5cb49707c66ac.png?x-oss-process=image/resize,w_1400/format,webp)
![image_thumb[8] image_thumb[8]](https://ucc.alicdn.com/6jtm43t7mmotw/developer-article35487/20241009/dfe9ea37c3c04fd4beff88708fa4ea3e.png?x-oss-process=image/resize,w_1400/format,webp)
![image_thumb[14] image_thumb[14]](https://ucc.alicdn.com/6jtm43t7mmotw/developer-article35487/20241009/8da85e346a724c629bdc1bf8b0eaa2f0.png?x-oss-process=image/resize,w_1400/format,webp)
![image_thumb[29] image_thumb[29]](https://ucc.alicdn.com/6jtm43t7mmotw/developer-article35487/20241009/48ead8ed05b7406ba24e7e7c84bb3294.png?x-oss-process=image/resize,w_1400/format,webp)
![image_thumb[32] image_thumb[32]](https://ucc.alicdn.com/6jtm43t7mmotw/developer-article35487/20241009/ee3e2bd5bbcc40ed8155dc82dbc9eb61.png?x-oss-process=image/resize,w_1400/format,webp)
