问题描述:给出点及点间的关系,指定点为根节点,把有向图转化为树。其中,有向图中的环,只是两个节点之间。比如
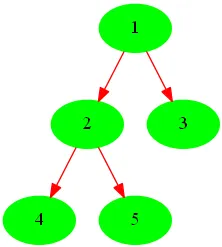
经过去掉环得到 
其中图的表示为:
1->2 2->4 2->5 1->3 5->2
解决之道
先用字典node_dic把整个图表示出来;列表has_kid存放不是叶子的节点;列表node_list是个队列,存放本节点和它的孩子;列表have_exist表示已经存在的节点,对于node_list如果不是孩子节点,又不在have_exist中,当被遍历是存于have_exist,同时在node_lst删除该节点。之后遍历node_list,如果之前已经存在于have_exist中了,则删除之间的关系。剩下的部分为无环图。
示例
node_dic: {1:[2, 3], 2:[4, 5], 5:[2]}
has_kid: [1, 2, 5]
指定根节点为1
步骤
*)一开始node_list存放根节点:(注意node_list背景色为红色,have_eist为绿色)

此时:node_dic: {1:[2, 3], 2:[4, 5], 5:[2]}
**)看node_list的第一个节点,不在have_exist,又不是孩子节点,把它所有的孩子存于队列node_list,查看孩子是否在have_exist,要是在就删除node_dic中的关系。最后删除首节点

***)看node_list的第一个节点,不在have_exist,又不是孩子节点,把它所有的孩子存于队列node_list,查看孩子是否在have_exist,要是在就删除node_dic中的同时删除首节点。

****)看node_list的第一个节点4、5,是孩子节点,直接删除该节点

此时:node_dic: {1:[2, 3], 2:[4, 5], 5:[2]}
*****)看node_list的第一个节点,在have_exist,删除首节点,同时删除node_dice中的关系。

参考代码(python)
node_relation = ['1->2', '2->4', '2->5', '5->2', '1->3'] root = '1' node_dic = {} have_kid = [] have_exist = [] node_list = [] for key in node_relation: chunk = key.split("->") if not chunk[0] in have_kid: have_kid.append(chunk[0]) if not node_dic.has_key(chunk[0]): node_dic[chunk[0]] = [] node_dic[chunk[0]].append(chunk[1]) else: node_dic[chunk[0]].append(chunk[1]) node_list.append(root) while len(node_list) != 0: rmtmp = [] if not node_list[0] in have_kid: node_list.remove(node_list[0]) else: for key in node_dic[node_list[0]]: node_list.append(key) if key in have_exist: rmtmp.append(key) if node_list[0] not in have_exist: have_exist.append(node_list[0]) for keyy in rmtmp: node_dic[node_list[0]].remove(keyy) node_list.remove(node_list[0]) print node_dic
结果:{'1': ['2', '3'], '2': ['4'], '5': []}
本文转自jihite博客园博客,原文链接:http://www.cnblogs.com/kaituorensheng/p/3141350.html,如需转载请自行联系原作者
