南京观海微电子---电源,从微观角度观看电功率是怎么产生

简介: 从微观角度解析无功功率的产生机制,重点探讨电感和电容如何通过储能特性导致电压与电流相位差90°,进而引出无功功率的本质及其在交流电路中的作用。

从微观角度看看无功功率是怎么产生的,在此之前,我们得先知道引起无功功率的元器件是储能器件,主要是电感和电容。

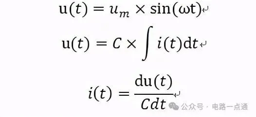
首先,在宏观上,我们知道电感能导致电压超前电流90°,可从如下公式推出:

由此可以得

两边积分得

推出

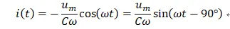
同理可推出电容会使电压滞后电流90°:

推出

所以,对于电感或电容负载其视在功率为:

而有功功率:

所以无功功率:

以上是在宏观角度推算出电感和电容导致电压与电流“方向”不一致。接下来,我们从微观角度看看电感和电容是如何改变电压和电流方向的。

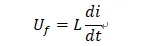
对于电感来说,加在电感导线上的电场会驱使电子移动形成电流,该电流会在电感上产生磁场,磁场反过来形成一个反向电压Uf(即反向电动势),反向电压的大小与电流增长的速率成正比:

交流峰值电压加在电感两端,电流增长速率(趋势)最大,也就是电流方向改变瞬间。此后电源电压减小,电流增长速率开始减小,电流增大。电源电压减小到零时,电流增加到最大。

电源电压反向时,反向电压Uf方向也同时改变,维持此时电流,此后随着电源电压增大,电流开始减小,直到电源电压达到最大,电流改变速率也增长到最大,也就是电流方向改变瞬间。

此一过程下来,刚好使得电压相位超前于电流1/4个周期,也就是90°。

蓝色为电压,粉色为电流

对于电容来说,电容的本质是两块有一定间距的金属板,而金属板两端的电压与其积蓄的电荷量相关,当电容两端的电压为零时,电容相当于短路,此时流入其中的电流最大,随着时间的推移,电容积累的电荷量增加,两端的电压增加(此时电流也随减小),最终达到与电源电压相等,电流减小至零。此后,(交流)电源电压开始较小,而电容电压大于电源电压,所以此时电容的电荷开始反向移动,导致电源的电压与电流方向相反。此过程下来,刚好使得电压相位滞后于电流1/4个周期,也就是90°。

相关文章
南京观海微电子----运放与MOS管组成的恒流源电路原理分析
本文详解运放与MOS管构成的恒流源电路原理。通过负反馈机制,采样电阻实时监测电流,运放调节三极管导通程度,维持负载电流稳定。结合MOS管输出与转移特性曲线,分析其工作区,并说明各元件作用,如稳压管提供基准电压、电阻限流缓冲等,实现高精度恒流输出。
南京观海微电子----运放与MOS管组成的恒流源电路原理分析
|
3月前
|
存储
南京观海微电子----开关电源电路图
本文详解开关电源电路原理,涵盖主电路、控制电路、检测电路及辅助电源等组成部分,解析交流转直流全过程。重点介绍主动式PFC、调宽式稳压、单端反激/正激、推挽、降压、升压及反转式等典型电路工作原理,结合图示说明能量转换与电压调节机制,适用于各类电子设备供电设计。(238字)
|
3月前
|
前端开发 vr&ar
南京观海微电子----MOS管的放大电路分析-运用模电的理论计算验证
本文介绍功率MOS管在放大电路中的应用,通过三电阻偏置电路分析其静态工作点与动态小信号模型。结合Multisim仿真,验证MOS管是否工作在饱和区,并计算跨导、电流及电压增益,结果与理论相符,体现模电理论在实际设计中的指导作用。(239字)
|
3月前
|
芯片
南京观海微电子---高速MOS驱动电路设计和应用指南
自举栅极驱动技术用于高边N沟道MOSFET驱动,通过自举电容和电平移位电路实现高压侧浮动供电。适用于中高电压系统,可集成于PWM控制器或专用驱动IC,提升效率并延长开关导通时间,广泛应用于电源管理领域。
南京观海微电子---高速MOS驱动电路设计和应用指南
|
3月前
|
C语言
南京观海微电子----MOS管外围电路中的电阻有什么用?
本简介介绍了MOS管开关电路的工作原理及关键元件作用。DS电压对DG、GS结电容充电,G极电压达阈值时MOS导通,R7提供泄放并加速开关。关断时,R6与D3回路快速放电,R6抑制震荡。Rc吸收尖峰,D5防止反峰电压击穿MOS管,C11、R8、D5回路对稳定波形至关重要。
南京观海微电子----MOS管外围电路中的电阻有什么用?
南京观海微电子----MOS管是如何控制电流方向的
MOS管通过栅极电压控制漏极电流,结合电压比较器(如LM358)实现动态调节。控制电压与参考电压比较后,循环调节MOS导通与截止,从而精确控制电流大小与方向,方向由MOS管类型(N/P沟道)决定,广泛应用于电流调控与开关场景。
南京观海微电子----MOS管是如何控制电流方向的
|
3月前
|
芯片
南京观海微-----2种运算放大器比例放大电路方案
运算放大器有正相和负相输入,据此可构成正相与负相比例放大电路。正相放大电路输出与输入同相,电压成正比;负相放大电路则反相,输出带负号关系。两类电路均基于虚短、虚断原理,通过电阻配置实现精确放大,广泛应用于信号处理中。
南京观海微-----2种运算放大器比例放大电路方案
|
3月前
|
芯片
南京观海微电子---2种 电流检测中的高低边采样电阻和共模抑制比问题
电流检测主要有两种方法:使用集成电流检测芯片配合采样电阻,或自行搭建运放电路。前者精度高、设计简便,后者对电阻匹配要求高,需关注共模抑制比(CMRR)。CMRR反映电路抑制共模干扰的能力,一般在60-120dB之间,但随频率升高而下降,影响高频性能。图示展示了高端、低端检测电路及CMRR频率响应特性。
南京观海微电子---简单驱动电路设计用NMOS防反接,性价比比较高?
本文对比NMOS防反保护电路的传统设计与优化方案。传统低边NMOS成本低,但存在接地隐患,不适用于汽车电子;而采用高边NMOS结合升降压驱动IC的方案,可提供更大驱动电流、降低管压降与温升,并提升EMC性能,更适合高性能应用。
南京观海微电子---简单驱动电路设计用NMOS防反接,性价比比较高?
南京观海微电子---MOS型(NMOS和PMOS)LDO应用原理
LDO分为NMOS和PMOS两种类型,工作在线性模式。通过误差放大器调节输出晶体管,实现稳压。NMOS型静态电流小,但压差大;PMOS可降低压差,提升效率,两者均以电压控制,负载变化时静态电流稳定,适用于低功耗场景。
南京观海微电子---MOS型(NMOS和PMOS)LDO应用原理