南京观海微电子---boost升压电路闭环控制及其稳定性

简介: 本文介绍了boost变换器的工作原理与控制环路。通过开关管和电感的充放电实现升压,利用反馈控制占空比,使输出电压稳定。结合理想元件假设,分析了电压增益与占空比的关系,并给出典型控制框图,说明如何通过调节反馈系数实现稳压输出。

1、boost变换器的工作原理

在说明反极性变换器之前,我们先说一下开关电源的工作原理,开关电源的作用主要是用于适配不同电平标准的器件,有升压电路(boost变换,step up)和降压电路(step down)。具体用于什么情形取决于电路工作的场景。如图1是一种典型的开关升压电路,它使用与当电源输入电压较低,不足以驱动下级负载时,用于提升电压以适配下级电压。


图1 升压电路(电路本身需要升压,所以要求V0>Vin)

这里假定mos管(N沟道增强型)为理想mos管,且D4为理想二极管(正向导通压降为0,反向雪崩电压无限大,其它电参数也视为理想状态),由于电感为理想电感,因此当电感回到初始状态时,电感上无能量储存。例如电感从电流为0增加到某个电流i,然后又减小到电流为0,那么电感上在电流充放电的这段时间内视为无能量消耗。

当电感处于充电状态时,进过ton时刻后,电流将为:

此时,若MOS管关断,且由于钳位效应,电感输出端将直接与输出电容等电位(二极管为理想二极管),根据电磁感应定律,此时输出电容上的电压变为:

toff为关断时间

因此,当SW1的脉冲占空比大于50%时,电路便可达到升压的目的。


2、boost变换器的控制环路

图2、基本的boost电路控制回路


图2是基本boost变换电路,通过测量输出电压和给定电压的差值,该差值信号送至占空比控制器,占空比控制器通过控制占空比实现电路的稳压输出。例如当输出电压降低,则和给定的电平形成较大的差值,该差值会形成对占空比的进一步增大,使输出电压进一步提升达到稳压的目的。


图1 基本的开关电源电路

图2 基本的开关电源控制(boost型)

图2是一种典型的开关电源控制框图,通过对负载端进行电压取样形成反馈电压与参考电平Vset形成误差电压Verr,该Verr控制占空比形成输出电压V0,考虑到负载扰动只会使电压降低,因此该电路只需对电压升高以补偿由于负载带来的压降损失,同时考虑到电感和电容是线性元件,那么提高通过增加占空比必然会得到稳定的电压输出。

这里若以图1的电路作为实例,则此时图2变成如图3的控制框图。

图3 图1的控制框图

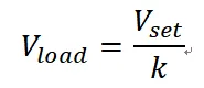
可以看到,若给定了Vset,且考虑到当电路的输出完全跟踪了输入时(稳态)此时Verr=0;因此输出电压为Vload=Vset。若如图2的情形,在反馈端加入一个反馈机制,如比例反馈,设反馈因子为k,则当电路输出完全跟踪输入时,有:

因此,可以通过调节反馈因子得到任意输出的电压值(理想情况是这样,即电感永远不饱和,电容耐压满足条件,二极管不被击穿等)即:

相关文章
|
1月前
|
芯片
南京观海微电子----TL431常用DC线性稳压电路方案
TL431是一款高精度三端可控稳压集成芯片,具备良好温度稳定性,广泛应用于各类电源电路。本文介绍基于TL431的多种直流线性稳压方案,包括精密基准、串联与并联稳压电路,支持2.5V~36V输出,适用于恒流、稳压、过压保护等场景,具有成本低、性能优、易于调节的优点。
南京观海微电子----TL431常用DC线性稳压电路方案
|
传感器 监控 安全
闭环反馈系统原理概述
有时,为了获得系统的一致性和稳定性并产生控制系统的期望输出,我们使用反馈回路。反馈只不过是输出信号的一部分。这个概念在控制系统中最常见和最重要,以实现输出的稳定性。根据反馈连接,控制系统分为两种类型。它们是开环控制系统和闭环控制系统。下面简单介绍下闭环反馈系统。
4729 0
闭环反馈系统原理概述
|
2月前
|
人工智能 编解码 监控
《AV1解码生态全景图》,迄今最全面的AV1解码生态报告
截至2025年11月最完整详尽的 AV1 解码生态全景报告
|
C++ Python Perl
终于解决VScode中python/C++打印中文全是乱码的问题了
终于解决VScode中python/C++打印中文全是乱码的问题了
1496 0
终于解决VScode中python/C++打印中文全是乱码的问题了
|
算法 计算机视觉
永磁同步电机的矢量控制PMSM仿真+simulink仿真建模(matlab仿真与图像处理)
永磁同步电机的矢量控制PMSM仿真+simulink仿真建模(matlab仿真与图像处理)
|
1月前
|
缓存 前端开发 芯片
南京观海微电子---AXI总线技术简介——ZYNQ PS和PL的互联技术
AXI是Xilinx ZYNQ系列中实现ARM与FPGA高速通信的核心协议,支持Lite、4和Stream三种总线,分别适用于控制、批量传输和数据流场景。通过AXI Interconnect实现多设备互联,结合DMA等IP核,可高效完成数据交互,广泛应用于嵌入式系统开发。
南京观海微电子---AXI总线技术简介——ZYNQ PS和PL的互联技术
|
1月前
|
存储 芯片 异构计算
南京观海微电子---MIG IP核的使用——DDR接口专栏(二)
本文介绍Xilinx FPGA中MIG IP核的使用方法,涵盖DDR3颗粒选型、FPGA匹配、MIG参数配置及管脚分配等关键步骤,帮助用户实现对片外DDR存储器的高效读写操作。
南京观海微电子---MIG IP核的使用——DDR接口专栏(二)
|
1月前
|
传感器
南京观海微电子-----常用传感器接线方法(直观)图解
本文介绍了多种传感器的接线原理与方法,包括交流型二线、NPN/PPN型三线、四线及五线传感器。重点讲解了各类型传感器的电源连接、信号输出方式及典型应用场景,帮助用户正确理解和实施传感器接线。
|
1月前
|
vr&ar
观海微电子---AF、AG、AR 的差别和作用
AF、AR、AG镀膜技术分别实现抗指纹、增透防反射、防眩光功能。AF疏水防污,适用于屏幕;AR提升透光率,用于光伏、汽车玻璃;AG漫反射降反光,广泛应用于电子显示与文博领域。
南京观海微电子----运放与MOS管组成的恒流源电路原理分析
本文详解运放与MOS管构成的恒流源电路原理。通过负反馈机制,采样电阻实时监测电流,运放调节三极管导通程度,维持负载电流稳定。结合MOS管输出与转移特性曲线,分析其工作区,并说明各元件作用,如稳压管提供基准电压、电阻限流缓冲等,实现高精度恒流输出。
南京观海微电子----运放与MOS管组成的恒流源电路原理分析