R语言:用R语言填补缺失的数据

简介: R语言:用R语言填补缺失的数据

缺少数据在分析数据集时可能不是一个微不足道的问题。

如果缺失数据的量相对于数据集的大小非常小,那么为了不偏离分析而忽略缺少特征的少数样本可能是最好的策略,但是留下可用的数据点会剥夺某些数据的特征。

尽管某些快速修正如均值替代在某些情况下可能很好,但这种简单的方法通常会向数据中引入偏差。

在这篇文章中,我们将使用airquality数据集(在R中提供)来推测缺失值。

为了本文的目的,我将从数据集中删除一些数据点。


快速分类缺失数据

有两种类型的缺失数据:

MCAR:随意丢失。

MNAR:不是随意丢失的。随机数据丢失是一个更严重的问题,在这种情况下,进一步检查数据收集过程并尝试理解信息丢失的原因可能是明智的。例如,如果调查中的大多数人没有回答某个问题,他们为什么这样做?这个问题不清楚吗?

假设数据是MCAR,太多丢失的数据也可能成为一个问题。


pMiss < - function(x){sum(is.na(x))/ length(x)* 100}

我们发现臭氧几乎失去了25%的数据点,因此我们可能会考虑将其从分析中删除或收集更多的测量数据。


其他变量低于5%的阈值,所以我们可以保留它们。就样本而言,仅缺少一个特征会导致每个样本缺失25%的数据。如果可能,应丢弃缺少2个或更多特征(> 50%)的样本。


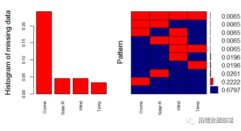
查看缺失的数据模式

该mice软件包提供了一个很好的功能md.pattern(),可以更好地理解丢失数据的模式

输出结果告诉我们,104个样本是完整的,34个样本只错过臭氧测量,4个样本只错过了Solar.R值,等等。

一个可能更有用的视觉表示可以使用下面的VIM包得到

该图有助于我们理解几乎70%的样本没有遗漏任何信息,22%的人缺少臭氧值,剩余的样本显示其他遗漏的模式。通过这种方法,我认为情况看起来更清楚一些。


marginplot

左边的红色方块图显示Solar.R的分布与臭氧缺失,而蓝色方块图显示剩余数据点的分布。

如果我们假设MCAR数据是正确的,那么我们预计红色和蓝色方块图非常相似。


输入缺失的数据

现在我们可以使用该complete()函数返回已完成的数据集。

completedData < - complete(tempData,1)
 

首先,我们可以使用散点图并将臭氧对所有其他变量进行绘图


xyplot(tempData,Ozone_Wind + Temp + Solar.R,pch = 18,cex = 1)

密度图:


densityplot


stripplot(tempData,pch = 20,cex = 1.2)

相关文章
|
数据采集 机器学习/深度学习 数据可视化
R语言从数据到决策:R语言在商业分析中的实践
【9月更文挑战第1天】R语言在商业分析中的应用广泛而深入,从数据收集、预处理、分析到预测模型构建和决策支持,R语言都提供了强大的工具和功能。通过学习和掌握R语言在商业分析中的实践应用,我们可以更好地利用数据驱动企业决策,提升企业的竞争力和盈利能力。未来,随着大数据和人工智能技术的不断发展,R语言在商业分析领域的应用将更加广泛和深入,为企业带来更多的机遇和挑战。
|
存储 数据采集 数据处理
R语言数据变换:使用tidyr包进行高效数据整形的探索
【8月更文挑战第29天】`tidyr`包为R语言的数据整形提供了强大的工具。通过`pivot_longer()`、`pivot_wider()`、`separate()`和`unite()`等函数,我们可以轻松地将数据从一种格式转换为另一种格式,以满足不同的分析需求。掌握这些函数的使用,将大大提高我们处理和分析数据的效率。
R语言基于表格文件的数据绘制具有多个系列的柱状图与直方图
【9月更文挑战第9天】在R语言中,利用`ggplot2`包可绘制多系列柱状图与直方图。首先读取数据文件`data.csv`,加载`ggplot2`包后,使用`ggplot`函数指定轴与填充颜色,并通过`geom_bar`或`geom_histogram`绘图。参数如`stat`, `position`, `alpha`等可根据需要调整,实现不同系列的图表展示。
445 10
|
数据采集 数据可视化 数据挖掘
R语言在金融数据分析中的深度应用:探索数据背后的市场智慧
【9月更文挑战第1天】R语言在金融数据分析中展现出了强大的功能和广泛的应用前景。通过丰富的数据处理函数、强大的统计分析功能和优秀的可视化效果,R语言能够帮助金融机构深入挖掘数据价值,洞察市场动态。未来,随着金融数据的不断积累和技术的不断进步,R语言在金融数据分析中的应用将更加广泛和深入。
|
数据采集 机器学习/深度学习 数据挖掘
R语言数据清洗:高效处理缺失值与重复数据的策略
【8月更文挑战第29天】处理缺失值和重复数据是数据清洗中的基础而重要的步骤。在R语言中,我们拥有多种工具和方法来有效地应对这些问题。通过识别、删除或插补缺失值,以及删除重复数据,我们可以提高数据集的质量和可靠性,为后续的数据分析和建模工作打下坚实的基础。 需要注意的是,处理缺失值和重复数据时,我们应根据实际情况和数据特性选择合适的方法,并在处理过程中保持谨慎,以避免引入新的偏差或错误。
|
数据处理
R语言数据合并:掌握`merge`与`dplyr`中`join`的巧妙技巧
【8月更文挑战第29天】如果你已经在使用`dplyr`进行数据处理,那么推荐使用`dplyr::join`进行数据合并,因为它与`dplyr`的其他函数(如`filter()`、`select()`、`mutate()`等)无缝集成,能够提供更加流畅和一致的数据处理体验。如果你的代码中尚未使用`dplyr`,但想要尝试,那么`dplyr::join`将是一个很好的起点。
|
数据采集 存储 数据可视化
R语言时间序列分析:处理与建模时间序列数据的深度探索
【8月更文挑战第31天】R语言作为一款功能强大的数据分析工具,为处理时间序列数据提供了丰富的函数和包。从数据读取、预处理、建模到可视化,R语言都提供了灵活且强大的解决方案。然而,时间序列数据的处理和分析是一个复杂的过程,需要结合具体的应用场景和需求来选择合适的方法和模型。希望本文能为读者在R语言中进行时间序列分析提供一些有益的参考和启示。
|
SQL 数据挖掘 数据处理
R语言数据操作:使用dplyr进行数据处理的深度探索
【8月更文挑战第27天】`dplyr`包以其简洁、强大的数据处理能力,在R语言的数据分析领域占据了重要地位。通过`select()`、`filter()`、`arrange()`、`mutate()`和`summarise()`等核心函数,结合管道操作符`%>%`,我们可以轻松地完成数据筛选、排序、变换和汇总等操作。掌握`dplyr`的使用,将极大地提高我们在R语言中进行
|
数据采集 数据可视化
利用R语言进行因子分析实战(数据+代码+可视化+详细分析)
利用R语言进行因子分析实战(数据+代码+可视化+详细分析)
|
Web App开发 数据可视化 数据挖掘
利用R语言进行聚类分析实战(数据+代码+可视化+详细分析)
利用R语言进行聚类分析实战(数据+代码+可视化+详细分析)