前言
废话不多,数据结构必须学! 每天更新一章,一篇写不完的话会分成两篇来写~
资料获取
6.5 二叉树的性质
6.5.1二叉树性质
性质1:在二叉树的第i层上至多有2^(i-1)个结点(i≥1)。(带入即可理解)
性质2:深度为k的二叉树至多有2^k - 1个结点(k>1)。
如果有一层,至多有1 = 2 的 0次方 - 1 个结点
如果有二层,至多有1 + 2 = 3 = 2 的平方 - 1 个结点
...
性质3:对任何一棵二叉树T,如果其终端结点数为No,度为2的结点数为n2,则No = N2 + 1
性质4:具有n个结点的完全二叉树的深度为[log2n]+1 (Lx]表示不大于x的最大整数)。
这个其实就是性质二的倒数,反过来求k的值的
性质5:如果对一棵有n个结点的完全二叉树(其深度为log2n]+1) 的结点按层序编号(从第1层到第log2n]+1层,每层从左到右),对任一结点i (1≤i≤n)有:
1.如果i=1,则结点i是二叉树的根,无双亲;如果i>1,则其双亲是结点li/2」。
2.如果2i>n,则结点i无左孩子(结点i为叶子结点);否则其左孩子是结点2i。
3.如果2i+1>n,则结点i无右孩子;否则其右孩子是结点2i+1。
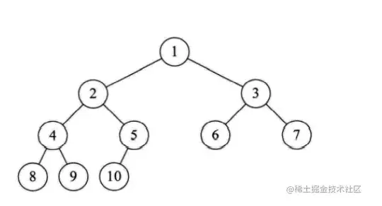
如下图
对于第一条来说是很显然的,i=1 时就是根结点。i>1 时,比如结点7,它的双亲就是l7/2]=3,结点9,它的双亲就是[9/2]=4
第二条,比如结点6,因为2X6=12超过了结点总数10,所以结点6无左孩子,它是叶子结点。同样,而结点5,因为2X5=10正好是结点总数10,所以它的左孩子是结点10
第三条,比如结点5,因为2X5+1=11,大于结点总数10,所以它无右孩子。而结点3,因为2X3+1=7小于10,所以它的右孩子是结点7
6.6 二叉树的存储结构
6.6.1二叉树的顺序存储
如果有一颗深度为k的右斜树,它有k个结点,却要分配2的k次方减1个存储单元,他会很浪费如下图,所以顺序存储结构一般用于完全二叉树
6.6.2 二叉链表
既然顺序存储适用性不强,我们就要考虑链式存储结构。二叉树每个结点最多有两个孩子,所以为它设计一个数据域和两个指针域是比较自然的想法,我们称这样的链表叫做二叉链表
结构如图所示:
代码实现如下:
/*二叉树的二叉链表结点结构定义*/ typedef struct BiTNode /* 结点结构*/ { TElemType data; /*结点数据*/ struct BiTNode *1child, *rchild; /*左右孩子指针*/ } BiTNode, *BiTree;
结构下图:
如果有需要,还可以增加一个指向其双亲的指针域,那样就称之为三叉链表,很灵活要学会自己变通~~~~




