1 内容介绍
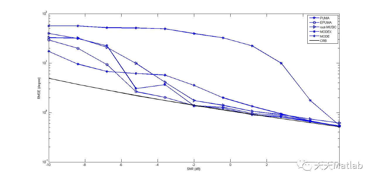
方向估计(MODE)方法具有吸引人的优势,例如具有温和计算复杂度的渐近效率和处理相干信号的出色性能,这些优势是传统的基于子空间的方法所不具备的。但是,MODE 对根多项式系数的对称性采用了额外的假设和约束,在低信噪比/小样本量的情况下,这可能会导致性能严重下降,因为任何估计误差都会因对称性。此外,MODE 的标准实现没有用于更新其估计的封闭式解决方案。在本文中,证明了MODE的优化问题等价于模态分析的主特征向量利用(PUMA)算法。我们表明,具有封闭形式解决方案的 PUMA 不依赖于任何额外的假设和对系数的约束,在最小化相同成本函数方面比 MODE 更好。
2 仿真代码
function [source_doa, R] = rMUSIC(x, noDOA, mode, m)
if nargin<3
mode = 'SCM';
m = 0;
end
[M,N] = size(x);
if strcmp(mode,'SCM')
R = 1/N*x*x';
elseif strcmp(mode, 'FB')
R = 1/N*x*x';
J = fliplr(eye(M));
R = 0.5*(R + J*conj(R)*J);
elseif strcmp(mode,'FOSS')
[~,R] = FB_SS(x,m);
elseif strcmp(mode,'FBSS')
R = FB_SS(x,m);
end
[U,S] = svd(R);
Un = U(:,noDOA+1:end);
Gn = Un*Un';
a = zeros( 2*M-1, 1 )';
for i=-(M-1):(M-1)
a(i+M) = sum( diag(Gn,i) );
end
a1 = roots(a);
a2 = a1(abs(a1)<1);
[~, I] = sort( abs(abs(a2)-1) );
f = a2( I(1:noDOA) );
for i = 1:noDOA,
source_doa(i) = asin(angle(f(i))/pi) * 180/pi;
end
source_doa = -source_doa(:);
end
function [R_fb, R_f, R_b] = FB_SS(x,m)
% m is the number of SS
[M,N] = size(x);
% Forward
[M,N] = size(x);
M_L = M - m + 1;
JJ = [eye(M_L), zeros(M_L,M-M_L)];
R_f = zeros(M_L);
for i = 1:m,
J = circshift(JJ', i-1); J = J';
x_tmp = J*x;
R_f = R_f + 1/N*x_tmp*x_tmp';
end
% Backward
J = fliplr(eye(M));
xb = J * conj(x);
JJ = [eye(M_L), zeros(M_L,M-M_L)];
R_b = zeros(M_L);
for i = 1:m,
J = circshift(JJ', i-1); J = J';
x_tmp = J*xb;
R_b = R_b + 1/N*x_tmp*x_tmp';
end
% FB
R_fb = (R_f + R_b)/2;
end
3 运行结果
4 参考文献
[1] Cheng Q , Lei H , Cao M , et al. PUMA: An Improved Realization of MODE for DOA Estimation[J]. IEEE Transactions on Aerospace and Electronic Systems, 2017, 53(5):2128-2139.
