142. 环形链表 II

简介: 142. 环形链表 II

142. 环形链表 II


给定一个链表,返回链表开始入环的第一个节点。 如果链表无环,则返回 null。


为了表示给定链表中的环,我们使用整数 pos 来表示链表尾连接到链表中的位置(索引从 0 开始)。 如果 pos 是 -1,则在该链表中没有环。注意,pos 仅仅是用于标识环的情况,并不会作为参数传递到函数中。


说明:不允许修改给定的链表。


进阶:


你是否可以使用 O(1) 空间解决此题?


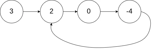
示例 1:



输入:head = [3,2,0,-4], pos = 1
输出:返回索引为 1 的链表节点


解释:链表中有一个环,其尾部连接到第二个节点。


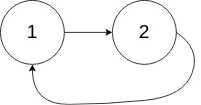
示例 2:



输入:head = [1,2], pos = 0
输出:返回索引为 0 的链表节点


解释:链表中有一个环,其尾部连接到第一个节点。


示例 3:



输入:head = [1], pos = -1
输出:返回 null


解释:链表中没有环。


题解


对于链表找环路的问题,有一个通用的解法——快慢指针(Floyd 判圈法)。


给定两个指针,分别命名为 slow 和 fast,起始位置在链表的开头。每次 fast 前进两步,slow 前进一步。如果 fast可以走到尽头,那么说明没有环路;如果 fast 可以无限走下去,那么说明一定有环路,且一定存在一个时刻 slow 和 fast 相遇。当 slow 和 fast 第一次相遇时,我们将 fast 重新移动到链表开头,并让 slow 和 fast 每次都前进一步。当 slow 和 fast 第二次相遇时,相遇的节点即为环路的开始点。


双指针法图解 ※


双指针法图解


代码


/**
 * Definition for singly-linked list.
 * struct ListNode {
 *     int val;
 *     ListNode *next;
 *     ListNode(int x) : val(x), next(NULL) {}
 * };
 */
class Solution {
public:
    ListNode *detectCycle(ListNode *head) {
        ListNode *slow=head,*fast=head;
        // 判断是否存在环路
        do{
            // 如果不成环 返回nullptr
            if (!fast || !fast->next) 
                return nullptr;
            fast = fast->next->next;
            slow = slow->next;    
        }while(fast != slow);
        // 如果存在,查找环路节点
        fast = head;
        while (fast != slow){
        slow = slow->next;
        fast = fast->next;
        }
        return fast;
    }
};
相关文章
|
存储 C语言 索引
环形链表、环形链表 II、有效的括号​​​​​​​【LeetCode刷题日志】
环形链表、环形链表 II、有效的括号​​​​​​​【LeetCode刷题日志】
环形数组链表(java)
环形数组链表(java)
|
12月前
【数据结构】环形、相交、回文、分割、合并、反转链表
【数据结构】环形、相交、回文、分割、合并、反转链表
94 0
|
存储 算法 Java
【经典算法】Leetcode 141. 环形链表(Java/C/Python3实现含注释说明,Easy)
【经典算法】Leetcode 141. 环形链表(Java/C/Python3实现含注释说明,Easy)
132 2
<数据结构>五道LeetCode链表题分析.环形链表,反转链表,合并链表,找中间节点.
<数据结构>五道LeetCode链表题分析.环形链表,反转链表,合并链表,找中间节点
168 1
|
存储 算法 索引
【力扣刷题】只出现一次的数字、多数元素、环形链表 II、两数相加
【力扣刷题】只出现一次的数字、多数元素、环形链表 II、两数相加
100 1
|
Java 索引
力扣经典150题第五十六题:环形链表
力扣经典150题第五十六题:环形链表
107 0
单向环形链表-约瑟夫问题(java)
单向环形链表-约瑟夫问题(java)