双变量数据可视化可能对于我们比较简单, 但是如果变量是三个或者更多,怎么在一幅图一起显示呢?今天我们就来讨论这个问题,解决方案有两种。
1.数据介绍
library(ggplot2) head(mpg)
使用R包自带的mpg数据集,前几行展示如下。
library(ggplot2)head(mpg)
2.使用图形属性
比如说:散点图点的形状/透明度/颜色用第三个属性表示。
2.1.散点图的点的形状表示第三个属性(离散)
ggplot(data=mpg)+ geom_point(mapping = aes(x=displ,y=cty,shape=as.factor(cyl)),size=2,color='skyblue')
2.2.散点图点的透明度表示第三个属性
ggplot(data=mpg)+  geom_point(mapping = aes(x=displ,y=cty,alpha=cyl),size=5,color='purple') 
         
geom_point()中可以改变的参数alpha,colour,fill,group,shape,size,stroke(边缘的厚度)。所以我们还可以通过其他参数来引进更多的属性,但是越多图就显得越复杂。看下面这个图,但是可读性不是很高。
3.使用分面
我们可以将图片按照第三个属性进行分面处理。ggplot2的分面有两种方式,分别使用 facet_wrap 或 facet_grid 函数。
3.1.facet_wrap()
当想通过单个变量进行分面,则可以使用函数`facet_wrap()`其第一个参数是一个公式,创建公式的方式是在~符号后面加一个变量名,并且该变量应该是离散的。facet_wrap的参数如下
facet_wrap(facets, nrow = NULL, ncol = NULL, scales = "fixed",           shrink = TRUE, as.table = TRUE, drop = TRUE) 
         facets:分面参数如 ~cut,表示用 cut 变量进行数据分类
nrow:绘制图形的行数
ncol:绘制图形的列数,一般nrow/ncol只设定一个即可
scales:坐标刻度的范围,可以设定四种类型。fixed
表示所有小图均使用统一坐标范围;free表示每个小图按照各自数据范围自由调整坐标刻度范围;free_x为自由调整x轴刻度范围;free_y为自由调整y轴刻度范围。
shrinks:也和坐标轴刻度有关,如果为TRUE(默认值)则按统计后的数据调整刻度范围,否则按统计前的数据设定坐标。
as.table:和小图排列顺序有关的选项。如果为TRUE(默认)则按表格方式排列,即最大值(指分组level值)排在表格最后即右下角,否则排在左上角。
drop:是否丢弃没有数据的分组,如果为TRUE(默认),则空数据组不绘图。
strip.position:条子位置,默认为"top",可改为bottom", "left", "right"
具体例子如下:
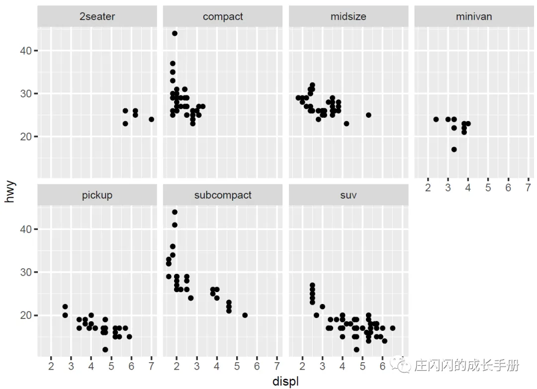
x轴是displ,y轴是hwy,用class(离散,7个分类)进行分面。
ggplot(data=mpg)+  geom_point(mapping = aes(x=displ,y=hwy))+  facet_wrap(~class,nrow = 2) 
         
3.2.facet_grid()
如果想通过两个变量对图进行分面,则使用`facet_grid()`。这个函数第一个参数也是公式,但该公式包含由~隔开的两个变量。
facet_grid(facets, margins = FALSE, scales = "fixed", space = "fixed", shrink = TRUE,           labeller = "label_value", as.table = TRUE, drop = TRUE)
和facet_wrap比较,除不用设置ncol和nrow外(facets公式已经包含)外还有几个参数不同:
margins:这不是设定图形边界的参数。它是指用于分面的包含每个变量元素所有数据的数据组。很好用的参数!
具体例子如下:
用drv与cyl变量进行分面,x轴方向是cyl,y轴方向是drv的值。注意的是俩都是分类型变量。
ggplot(data=mpg)+  geom_point(mapping = aes(x=displ,y=hwy))+  facet_grid(drv~cyl) 
         
4. 思考及拓展
4.1. 如果使用连续变量进行分面,得到的图会非常的多,每个数值分一次面,可读性很差,不建议使用该方法。
4.2. 使用facet_grid(drv~cyl)生成的图中,空白单元的意义说明drv与cyl在该单元没有关系。以下代码可以看出两者之间的关系。
ggplot(data=mpg)+geom_point(mapping = aes(drv,cyl)) 
         4.3. facet_grid()可以转换为facet_wrap图,只需改为facet_grid(drv~.)或facet_grid(.~cyl)。
ggplot(data=mpg)+  geom_point(mapping = aes(x=displ,y=hwy))+  facet_grid(drv~.)ggplot(data=mpg)+  geom_point(mapping = aes(x=displ,y=hwy))+  facet_grid(.~cyl) 
         4.4.要在每个面板中重复相同的数据,只需构造一个不包含faceting变量的数据框架。
ggplot(mpg, aes(displ, hwy)) +  geom_point(data = transform(mpg, class = NULL), colour = "grey85") +  geom_point(color='purple') +  facet_wrap(~class) 
         
4.5. 去除条子框以及改变条子位置
加入参数:strip.position = "top"(默认),可改为其他(见上面参数详解)并加入theme将strip.placement="outside"就可以去除条子的框了。
ggplot(economics_long, aes(date, value)) +  geom_line() +  facet_wrap(vars(variable), scales = "free_y", nrow = 2, strip.position = "top") +  theme(strip.background = element_blank(), strip.placement = "outside") 
         




![S{[`VW[ZPL[QPX){CQB`]KI.png S{[`VW[ZPL[QPX){CQB`]KI.png](https://ucc.alicdn.com/pic/developer-ecology/c7eeabf529364b669a94576f2377a63b.png?x-oss-process=image/resize,w_1400/format,webp)


