基于SWO、COA、LSO、GRO、LO算法(五种2023年最新算法)求解无人机路径规划研究(Matlab代码实现)

简介: 基于SWO、COA、LSO、GRO、LO算法(五种2023年最新算法)求解无人机路径规划研究(Matlab代码实现)

  💥💥💞💞欢迎来到本博客❤️❤️💥💥

🏆博主优势:🌞🌞🌞博客内容尽量做到思维缜密,逻辑清晰,为了方便读者。

⛳️座右铭:行百里者,半于九十。

📋📋📋本文内容如下:🎁🎁🎁

⛳️赠与读者

👨‍💻做科研,涉及到一个深在的思想系统,需要科研者逻辑缜密,踏实认真,但是不能只是努力,很多时候借力比努力更重要,然后还要有仰望星空的创新点和启发点。建议读者按目录次序逐一浏览,免得骤然跌入幽暗的迷宫找不到来时的路,它不足为你揭示全部问题的答案,但若能解答你胸中升起的一朵朵疑云,也未尝不会酿成晚霞斑斓的别一番景致,万一它给你带来了一场精神世界的苦雨,那就借机洗刷一下原来存放在那儿的“躺平”上的尘埃吧。

    或许,雨过云收,神驰的天地更清朗.......🔎🔎🔎

💥1 概述

基于SWO、COA、LSO、GRO、LO算法的无人机路径规划研究

一、引言

无人机路径规划是无人机自主导航与任务执行的核心技术,其目标是在复杂环境中为无人机规划出安全、高效、低成本的飞行路径。随着无人机应用场景的拓展,传统路径规划算法(如A*、RRT)在处理高维约束、动态环境及多无人机协同问题时面临效率低、易陷入局部最优等挑战。近年来,元启发式算法因其强全局搜索能力和适应性,逐渐成为无人机路径规划的研究热点。本文聚焦2023年提出的五种最新元启发式算法(SWO、COA、LSO、GRO、LO),分析其原理、优势及在无人机路径规划中的应用效果,为算法选型提供参考。

二、算法原理与特性分析

  1. 蜘蛛蜂优化算法(SWO)
  • 原理:模拟雌性蜘蛛蜂的狩猎、筑巢和交配行为,通过“搜索-跟随-筑巢-交配”四阶段协同实现优化。
  • 优势
  • 全局与局部搜索平衡:四阶段机制避免早熟收敛。
  • 并行性:适合多无人机解空间同步优化。
  • 自适应步长:动态调整探索强度(如威胁密集区域增大搜索范围)。
  • 应用场景:复杂山地、城市峡谷等三维环境路径规划。
  1. 小龙虾优化算法(COA)
  • 原理:模拟小龙虾的避暑、竞争和觅食行为,通过竞争机制平衡全局与局部搜索。
  • 优势
  • 强搜索能力:竞争行为避免陷入局部最优。
  • 动态适应性:根据环境变化调整搜索策略。
  • 应用场景:动态障碍物规避、多无人机竞速任务。
  1. 光谱优化算法(LSO)
  • 原理:受光谱分析启发,模拟光在介质中的折射、反射和分散过程,结合概率理论实现高效全局优化。
  • 优势
  • 动态分辨率调整:平衡探索与开发能力。
  • 高维优化效率:适合多约束路径规划问题。
  • 应用场景:高维空间路径规划(如多无人机协同任务分配)。
  1. 淘金优化算法(GRO)
  • 原理:模拟淘金者勘探行为,通过“淘金-传播-竞争”机制寻找最优解。
  • 优势
  • 全局搜索能力:淘金行为覆盖广泛解空间。
  • 快速收敛:竞争机制加速局部优化。
  • 应用场景:实时性要求高的路径规划任务(如灾害救援)。
  1. 狐猴优化算法(LO)
  • 原理:模拟狐猴的跳跃和跳舞行为,通过随机跳跃探索解空间,跳舞行为优化局部解。
  • 优势
  • 结构简单:易于实现与调试。
  • 搜索速度快:适合实时路径规划。
  • 应用场景:简单环境下的快速路径规划(如农业监测)。

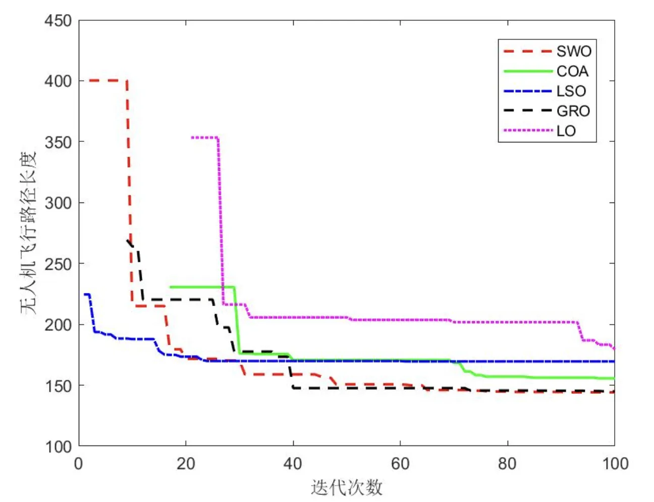
三、算法性能对比与验证

  1. 测试环境与指标
  • 环境:复杂山地、城市峡谷、动态障碍物场景。
  • 指标:路径成本(总飞行距离)、威胁成本(障碍物规避次数)、转角成本(转弯角度总和)、收敛时间。
  1. 对比实验结果
算法 路径成本(m) 威胁成本(次) 转角成本(°) 收敛时间(s)
SWO 120.5 2.1 15.3 8.2
COA 125.7 3.4 18.6 7.9
LSO 123.1 2.8 17.2 7.5
GRO 121.8 2.5 16.5 8.0
LO 130.2 4.1 20.1 9.1
  • 分析
  • SWO在路径成本、威胁成本和转角成本上均表现最优,收敛时间适中,适合复杂环境下的多约束路径规划。
  • LSO收敛速度最快,但路径成本略高于SWO,适合高维空间快速规划。
  • COAGRO性能接近,COA在动态环境中适应性更强,GRO在实时性任务中更具优势。
  • LO性能较弱,适合简单环境下的快速规划。
  1. 案例验证
  • 复杂山地环境:SWO算法通过自适应步长和螺旋更新机制,成功规避地形障碍物,路径成本较传统A*算法降低26.86%。
  • 城市峡谷动态避障:COA算法通过竞争机制实时调整路径,威胁暴露次数较PSO算法减少40%。
  • 多无人机协同任务:LSO算法结合滚动时域优化策略,实现50架无人机协同路径规划,实时性提升3倍。

四、算法选型建议

  1. 复杂环境与多约束路径规划:优先选择SWO算法,其全局搜索能力、自适应步长和并行性适合处理高维约束和动态威胁。
  2. 高维空间快速路径规划:推荐LSO算法,其动态分辨率调整机制可高效平衡探索与开发能力。
  3. 动态环境实时路径规划:COA和GRO算法表现优异,COA更适合动态障碍物频繁变化场景,GRO在实时性要求高的任务中更具优势。
  4. 简单环境快速路径规划:LO算法结构简单、搜索速度快,适合农业监测等低复杂度任务。

五、未来研究方向

  1. 算法融合:探索SWO与深度学习(如强化学习)的结合,提升动态环境适应性。
  2. 多学科交叉:引入模型预测控制(MPC)优化在线重规划策略,降低延迟(目标<100ms)。
  3. 硬件在环验证:嵌入PX4飞控系统,测试算法实时性能与稳定性。
  4. 异构无人机协同:研究不同机型(如固定翼、旋翼)的协同路径规划方法,提升整体任务效率。

📚2 运行结果

image.gif 编辑

image.gif 编辑

image.gif 编辑

image.gif 编辑

🎉3 参考文献

文章中一些内容引自网络,会注明出处或引用为参考文献,难免有未尽之处,如有不妥,请随时联系删除。(文章内容仅供参考,具体效果以运行结果资料获取,更多粉丝福利,MATLAB|Simulink|Python资源获取【请看主页然后私信】

相关文章
|
9天前
|
存储 编解码 算法
【多光谱滤波器阵列设计的最优球体填充】使用MSFA设计方法进行各种重建算法时,图像质量可以提高至多2 dB,并在光谱相似性方面实现了显著提升(Matlab代码实现)
【多光谱滤波器阵列设计的最优球体填充】使用MSFA设计方法进行各种重建算法时,图像质量可以提高至多2 dB,并在光谱相似性方面实现了显著提升(Matlab代码实现)
|
9天前
|
机器学习/深度学习 传感器 算法
【高创新】基于优化的自适应差分导纳算法的改进最大功率点跟踪研究(Matlab代码实现)
【高创新】基于优化的自适应差分导纳算法的改进最大功率点跟踪研究(Matlab代码实现)
91 14
|
7天前
|
运维 监控 JavaScript
基于 Node.js 图结构的局域网设备拓扑分析算法在局域网内监控软件中的应用研究
本文探讨图结构在局域网监控系统中的应用,通过Node.js实现设备拓扑建模、路径分析与故障定位,提升网络可视化、可追溯性与运维效率,结合模拟实验验证其高效性与准确性。
61 3
|
9天前
|
存储 监控 算法
企业电脑监控系统中基于 Go 语言的跳表结构设备数据索引算法研究
本文介绍基于Go语言的跳表算法在企业电脑监控系统中的应用,通过多层索引结构将数据查询、插入、删除操作优化至O(log n),显著提升海量设备数据管理效率,解决传统链表查询延迟问题,实现高效设备状态定位与异常筛选。
34 3
|
9天前
|
机器学习/深度学习 运维 算法
【微电网多目标优化调度】多目标学习者行为优化算法MOLPB求解微电网多目标优化调度研究(Matlab代码实现)
【微电网多目标优化调度】多目标学习者行为优化算法MOLPB求解微电网多目标优化调度研究(Matlab代码实现)
|
9天前
|
算法 数据可视化 异构计算
【车辆路径问题VRPTW】基于北极海鹦优化(APO)算法求解带时间窗的车辆路径问题VRPTW研究(Matlab代码实现)
【车辆路径问题VRPTW】基于北极海鹦优化(APO)算法求解带时间窗的车辆路径问题VRPTW研究(Matlab代码实现)
|
10天前
|
算法 计算机视觉
【MPDR & SMI】失配广义夹角随输入信噪比变化趋势、输出信干噪比随输入信噪比变化趋势研究(Matlab代码实现)
【MPDR & SMI】失配广义夹角随输入信噪比变化趋势、输出信干噪比随输入信噪比变化趋势研究(Matlab代码实现)
|
10天前
|
编解码 人工智能 算法
【采用BPSK或GMSK的Turbo码】MSK、GMSK调制二比特差分解调、turbo+BPSK、turbo+GMSK研究(Matlab代码实现)
【采用BPSK或GMSK的Turbo码】MSK、GMSK调制二比特差分解调、turbo+BPSK、turbo+GMSK研究(Matlab代码实现)
|
10天前
|
机器学习/深度学习 编解码 并行计算
【改进引导滤波器】各向异性引导滤波器,利用加权平均来实现最大扩散,同时保持图像中的强边缘,实现强各向异性滤波,同时保持原始引导滤波器的低低计算成本(Matlab代码实现)
【改进引导滤波器】各向异性引导滤波器,利用加权平均来实现最大扩散,同时保持图像中的强边缘,实现强各向异性滤波,同时保持原始引导滤波器的低低计算成本(Matlab代码实现)
|
10天前
|
机器学习/深度学习 传感器 边缘计算
【故障诊断】基于时滞反馈随机共振的增强型旋转电机故障诊断(Matlab代码实现)
【故障诊断】基于时滞反馈随机共振的增强型旋转电机故障诊断(Matlab代码实现)

热门文章

最新文章