【计算机图形学】期末复习Bezier曲线与曲面篇

简介: 【计算机图形学】期末复习Bezier曲线与曲面篇

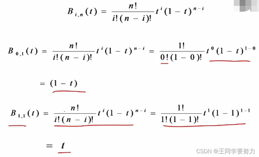
一、Bezier曲线的定义

二、一次Bezier曲线(直线)

一次Bezier曲线是一条直线

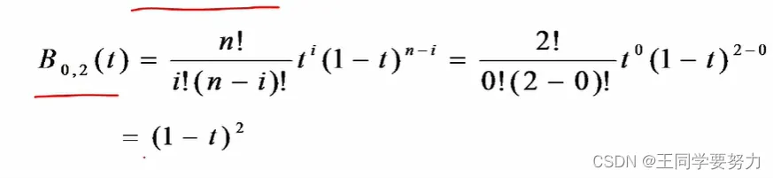
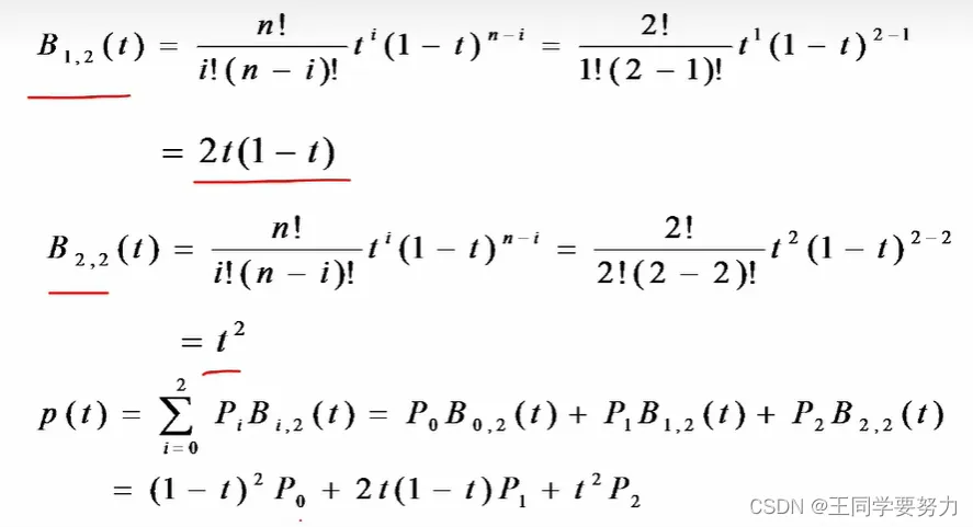
三、二次Bezier曲线(抛物线)

二次Bezier曲线是抛物线

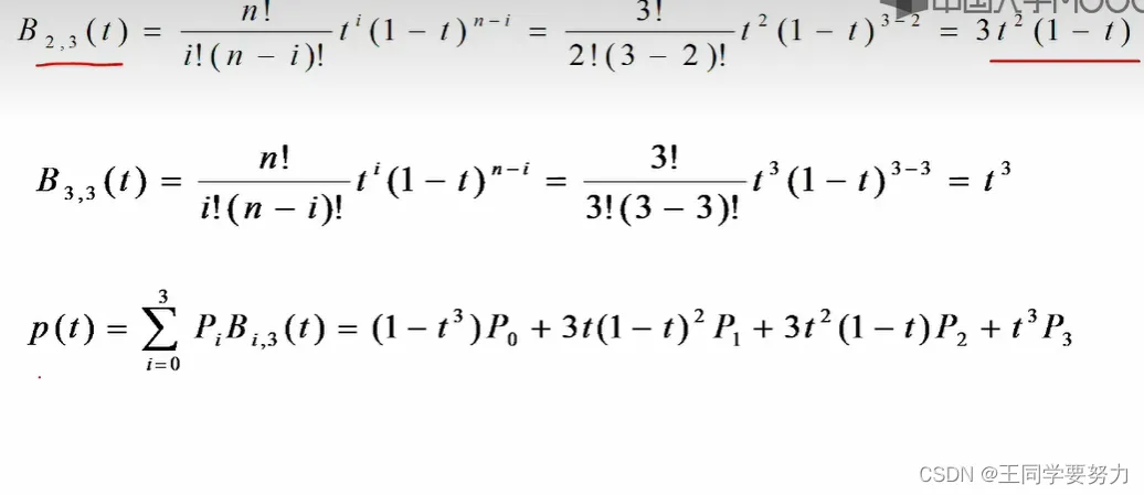
四、三次Bezier曲线(自由曲线)

五、Bezier曲线性质

五、Bezier曲面性质

太难了,真的就是一个晚上学完一本书😭😭😭……


相关文章
|
Java
使用BML进行计算
使用BML进行计算
383 0
|
安全 网络安全 数据安全/隐私保护
CocosCreator 面试题(十四)Cocos Creator WebSocket 、Socket.IO分别是什么?
CocosCreator 面试题(十四)Cocos Creator WebSocket 、Socket.IO分别是什么?
888 0
|
4月前
|
并行计算 PyTorch 调度
大模型推理显存优化系列(4):eLLM-大模型推理中的弹性显存管理和优化
本文简要介绍eLLM相关技术挑战、总体设计和初步性能评估
|
人工智能 分布式计算 监控
云应用开发平台CAP综合评测:优势与提升空间并存
随着云计算技术的发展,阿里云的云应用开发平台CAP成为开发者构建高效应用的重要工具。本文从CAP快速部署项目体验、空白项目创建体验及与同类产品对比三方面,深入分析其在云应用开发领域的表现,展示了CAP在模板选择、性能测试、二次开发等方面的优点与不足,提出了改进建议,旨在帮助开发者更好地利用CAP进行开发。
|
缓存 监控 Linux
掌握Linux性能分析:深入探索perf工具
【10月更文挑战第26天】
624 1
|
机器学习/深度学习 自然语言处理 数据挖掘
从理论到实践:详解GraphRAG框架下的多模态内容理解与生成
【10月更文挑战第10天】随着多媒体内容的爆炸性增长,如何有效地理解和生成跨模态的数据(如图像、文本和视频)变得越来越重要。近年来,图神经网络(GNNs)因其在处理非结构化数据方面的强大能力而受到广泛关注。在此背景下,Graph Retrieval-Augmented Generation (GraphRAG) 框架作为一种新的方法,通过结合图检索和生成模型来提升多模态内容的理解与生成效果。本文将深入探讨GraphRAG的基本原理、核心组件以及实际应用,并通过代码示例展示其在多媒体内容处理中的潜力。
1840 0
|
机器学习/深度学习 PHP 开发者
深入探讨PHP中的闭包与匿名函数
在现代PHP开发中,闭包与匿名函数已经成为日常编程的利器。本文将通过详细解说和实例演示,帮助开发者深入理解并有效应用这些功能,从而提升代码的灵活性和可维护性。
186 27
|
开发框架 前端开发 JavaScript
跨平台应用开发技术的深度探讨
【7月更文挑战第26天】 跨平台应用开发技术已成为当前软件开发领域的重要趋势。通过合理使用跨平台开发框架和工具,开发者可以更加高效地构建适用于多个平台的应用程序,提高开发效率和用户体验。然而,跨平台开发也面临着性能优化、兼容性问题等挑战,需要开发者不断学习和实践,以应对不断变化的市场需求和技术挑战。
|
机器学习/深度学习 算法 数据安全/隐私保护
两万多字诠释python经典基础算法之100题【内含思路、程序和答案】【python小白必备】
本文为最最基础的python基础算法题目、思路和答案,适合python初学者使用,可以当作python入门算法工具书,虽然不具有高深的算法,但是都是企业级算法用的频率最多的,这也是学好高级算法的必经之路。希望收藏、关注、点赞哦。
|
人工智能 Rust Apache
社区供稿 | 更长、更强、更开放,零一万物 Yi-1.5 系列开源模型发布一周广受好评
5 月 13 日,零一万物 Yi 系列开源模型全新升级为 Yi-1.5。相较于去年 11 月的开源版本,这次的 Yi-1.5 在保持原 Yi 系列模型优秀的通用语言能力的前提下,通过增量训练 500B 高质量 token,大幅提高了数学逻辑、代码能力。

热门文章

最新文章