✅作者简介:热爱科研的Matlab仿真开发者,修心和技术同步精进,matlab项目合作可私信。
🍎个人主页:Matlab科研工作室
🍊个人信条:格物致知。
更多Matlab仿真内容点击👇
⛄ 内容介绍
本文扼要的叙述了大地电磁的基本原理,简要介绍了大地电磁的正反演方法和流程,重点阐述了基于MATLAB软件平台的实现,并给出了此种方法可扩展的几个方面。
⛄ 部分代码
close all
clc
clear
%%% 受Matlab计算精度所限,观测时间范围设置在10^(-7)至10^(-2)s以内。
%%% 受Matlab计算精度所限,各层的测试电阻设置在500欧姆以下。
%%% FORTRAN语言才是电磁波场正反演的经典编程语言,MATLAB可用于简单测试
t=logspace(-7,-2,100);
%两层模型测试
[V1]=TEMforward4([500],[]);
[V2]=TEMforward4([100],[]);
[V3]=TEMforward4([500,100],[50]);
%三层模型测试
[V4]=TEMforward4([200],[]);
[V5]=TEMforward4([50],[]);
[V6]=TEMforward4([500],[]);
[V7]=TEMforward4([200,50,500],[50,100]);
%四层模型测试
[V20]=TEMforward4([500,100,1000,200],[50,200,500]);
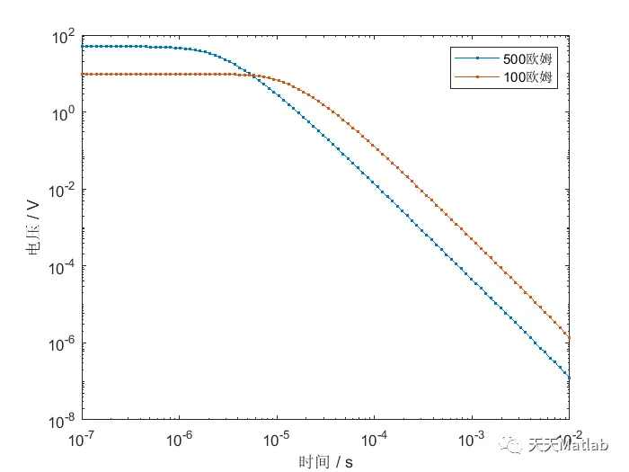
%一层模型绘图
V11=[V1;V2];
figure(1);
loglog(t,V11,'.-');
legend('500欧姆','100欧姆');
xlabel('时间 / s')
ylabel('电压 / V')
%两层模型绘图
V=[V1;V2;V3];
figure(2);
loglog(t,V,'.-');
legend('第一层','第二层','两层');
xlabel('时间 / s')
ylabel('电压 / V')
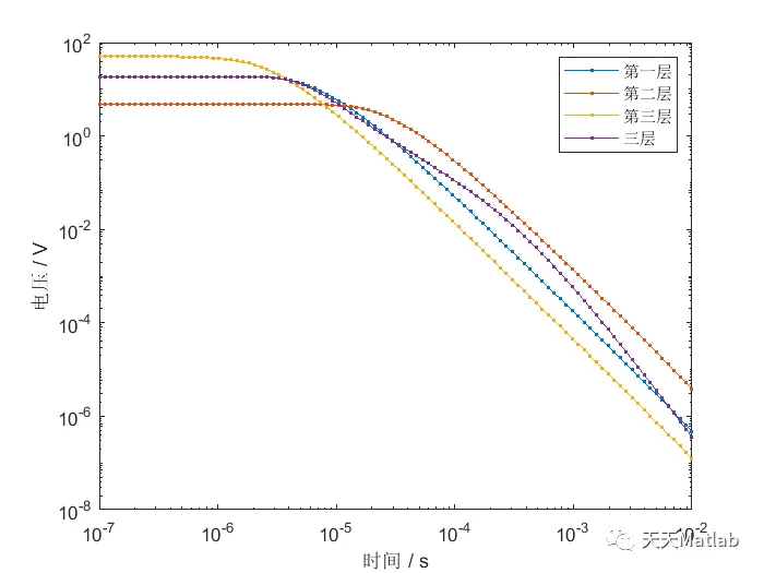
%三层模型绘图
V12=[V4;V5;V6;V7];
figure(3);
loglog(t,V12,'.-');
legend('第一层','第二层','第三层','三层');
xlabel('时间 / s')
ylabel('电压 / V')
%四层模型绘图
figure(4);
loglog(t,V20,'.-');
legend('{\rho}=[500,100,1000,200] H=[50,200,500]');
xlabel('时间 / s')
ylabel('电压 / V')
⛄ 运行结果
⛄ 参考文献
[1]柳建新, 张维, 曹创华,等. 大定源瞬变电磁均匀层状介质正演计算[J]. 物探化探计算技术, 2014.


