1 内容介绍
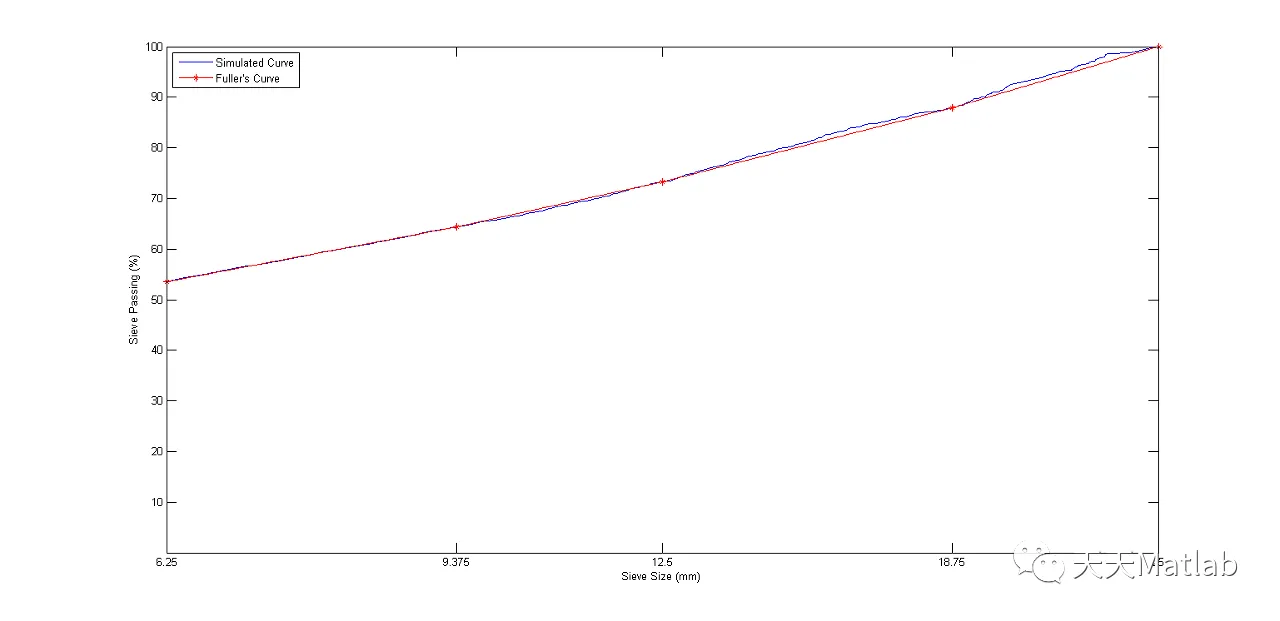
为了研究混凝土细观力学现象,对混凝土力学行为进行数值模拟,采用二维细观结构数值模拟骨料随机投放,为进行混凝土有限元细观力学分析提供了数值结构模型.采用matlab软件建立了混凝土骨料随机投放模型,其中考虑混凝土为由骨料,砂浆及二者之间的黏结界面组成的三相复合材料,在投放过程中,以骨料面积比例为基本参数,黏结界面厚度取骨料半径的5%.自编函数绘制骨料形状,并分析了用正多边形代替圆形骨料的误差.建立的骨料随机模型原理简单,思路清晰,结果满足随机性要求.
2 部分代码
function doOverlap=box_overlap(x1,y1,z1,x2,y2,z2)
doOverlap=false;
flagx=false; flagy=false; flagz=false;
x_min=x1(1); x_max=x1(2); x_min2=x2(1); x_max2=x2(2);
y_min=y1(1); y_max=y1(2); y_min2=y2(1); y_max2=y2(2);
z_min=z1(1); z_max=z1(2); z_min2=z2(1); z_max2=z2(2);
if (x_min<=x_max2) && (x_min2<=x_max)
flagx=true;
end
if (y_min<=y_max2) && (y_min2<=y_max)
flagy=true;
end
if (z_min<=z_max2) && (z_min2<=z_max)
flagz=true;
end
if flagx==true && flagy==true && flagz==true
doOverlap=true;
end
end
3 运行结果
4 参考文献
[1]高利甲, 刘锡军, 王玉梅. 基于matlab-混凝土二维细观结构数值模拟骨料随机投放[J]. 湖南工程学院学报:自然科学版, 2011, 21(1):81-84.



