图,有有向图,无向图,稠密图,简单图······
算法,有贪心法,二分法,模拟法,倍增法······
那,二分图是啥?
二分法+有向图?

于是,我查了许多资料,才对它有一定了解。
二分图:二分图,是图论中的一种特殊模型,设G=(V,E)是一个无向图,如果顶点V可分割为两个互不相交的子集(A,B),并且同一集合中不同的两点没有边相连。
这就是二分图。
举个栗子吧:

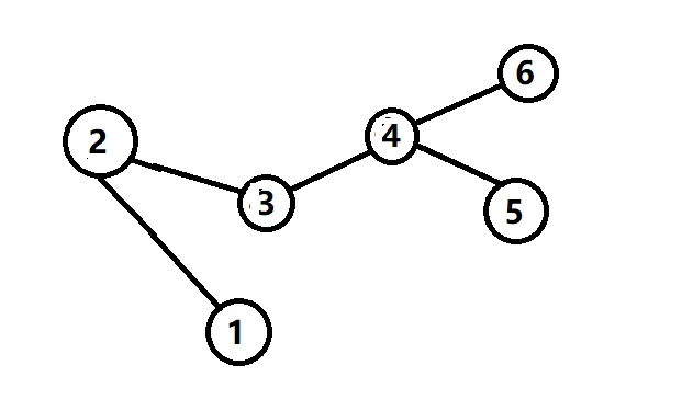
这是不是二分图?
反正我第一次看觉得不是
其实,是的,他是二分图,尽管看上去是连着的。
若我们将图中的一些边转一下,变成:

这就是一个明显的二分图。
集合A与B中的点互不相连。
因此,在手动判定二分图时学会转边!
辣魔,二分图要用计算机判定怎么实现?
数竞大佬:简单!
!!!染色大法!!!

有没有熟悉的感觉
0表示还未访问,1表示在集合A中,2表示在集合B中。
col(color)储存颜色。
初始化为0.
上代码:
其实是模板
可以记忆。
1 vector <int> v[N]; 2 void dfs(int x,int y){ 3 col[x]=y; 4 for (int i=0; i<v[x].size(); i++) { 5 if (!col[v[x][i]]) dfs(v[x][i],3-y); 6 if (col[v[x][i]]==col[x]) FLAG=true; //产生了冲突 7 } 8 } 9 for (i=1; i<=n; i++) col[i]=0; //初始化 10 for (i=1; i<=n; i++) if (!col[i]) dfs(i,1); //dfs染色 11 if (FLAG) cout<<"NO"; else cout<<"YES";
下一章我们将讲到二分图的匹配,我们明天见。