Given the disparity d and 2D point (x, y) , we can derive the 3D depth using the 4-by-4 reprojection matrix Q as follows:

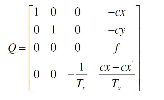
The reprojection matrix Q is given by:
The parameter cx is the principal point x coordinate in the left image, cy is y coordinate, while cx' is the principal point x coordinate in the right image, f is the focal length in pixels, x T is the x of translation vector between the two cameras.

本文转自博客园Grandyang的博客,原文链接:Reprojection Matrix Q,如需转载请自行联系原博主。