Copula估计边缘分布模拟收益率计算投资组合风险价值VaR与期望损失ES

简介: Copula估计边缘分布模拟收益率计算投资组合风险价值VaR与期望损失ES

摘要

在这项工作中,我通过创建一个包含四只基金的模型来探索 copula,这些基金跟踪股票、债券、美元和商品的市场指数。然后,我使用该模型生成模拟值,并使用实际收益和模拟收益来测试模型投资组合的性能,以计算风险价值(VaR)与期望损失(ES)。

一、介绍与概述

Copulas 对多元分布中变量之间的相关性进行建模。它们允许将多变量依赖关系与单变量边缘分布相结合,允许我们对构成多变量数据的每个变量使用许多单变量模型。Copulas 在 2000 年代开始流行。根据 Salmon (2009) 的说法,Li (2000) 最近提出的Copulas应用之一是 2008 年开始的金融危机。我们将使用 copulas 来模拟四个 ETF 基金的行为:IVV,跟踪标准普尔 500 指数;TLT,跟踪长期国债;UUP,追踪外汇指数;以及商品的 DBC

二、理论背景

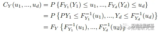
copula 是一个多变量 CDF,其边缘分布都是 Uniform (0,1)。假设 Y 有 d 维,并且有一个多元 和边缘 。很容易证明,每个 都是 Uniform(0,1)。因此, 的 CDF 根据定义是一个 copula。使用 Sklar (1973) 的定理,然后我们可以将我们的随机变量 Y 分解为一个 copula CY ,它包含关于我们的变量 Y 之间相互依赖的信息,以及单变量边缘 CDFs FY ,它包含关于每个变量的所有信息单变量边缘分布。对于 d 维,我们有:

并使每个 ,我们有:

如果我们对等式(2)进行微分,我们会发现 Y 的密度为:

方程 (3) 中的结果允许我们创建多变量模型,这些模型考虑了变量的相互依赖性(方程的第一部分)和每个变量的分布(方程的第二部分)。我们可以使用 copula 和边缘部分的参数版本来创建可用于运行测试和执行预测的模型。在接下来的几节中,我们将使用用于统计计算的 R 语言将高斯和 t-copula 拟合到介绍中描述的 ETF 的对数收益率。有了 copula 和边缘,我们将使用模型来确定投资的风险价值 (VaR) 和预期损失 (ES)。


三、算法实现与开发

像往常一样,我们从读取文件开始。图 1 显示了价格图:注意 IVV 和 DBC(股票和商品)之间的关系以及 TLT 和 UUP(元和国债)之间的关系。

# 将 ETF 读入
read.zoo("F.csv")
# 获取最近501天
tf\[(T-500):T,\]
# 绘制价格
pdf("价格.pdf")

在这种情况下,我们计算对数收益率。图 2 显示了收益图。

# 计算对数收益
le <- lag(e,-1
log(ef) - log(lef) ) * 100

然后我们做一个配对图来确定结果是否相关,例如,正如期望的那样,IVV 和 DBC 之间存在非常高的相关性。图 3 显示了配对图。然后我们获得边距的参数,拟合每个变量的分布。结果见表一

# 拟合分布
fitdr
## 得到结果矩阵
# 将 AIC 函数应用于第一项(值)
# params 列表的第四项 (loglik)
AIC(saply (saply(prms, 4))
# params 列表的第一项(估计)
sapply (sapply(pams,3))

图 4 显示了拟合分布与来自变量的真实数据进行比较的图。现在我们有了边缘分布,我们需要找到模型的 copula。我们首先使用概率变换并获得 中的每一个,我们知道它们是 Uniform(0,1)。这是通过以下代码完成的:

# 现在我们需要均匀分布

IV <- pct(IVV, a)
rt <- cbind(uV uL, UP, DC)

图 5 显示了均匀分布之间的相关性。通过均匀分布,我们可以看到哪种类型的参数 copula 最适合。我们将拟合高斯 copula 和 t-copula,记录它们的 AIC 并查看哪一个提供了最佳拟合。

图 5:均匀分布之间的相关性

# 拟合高斯 copula
fit.gaussian <- fitCopula (ncp))
# 记录拟合的AIC
fit.aic = AIC(filik,
############################################### ############
# 现在是 t-copula
fitCopula (tcop, url00))
# 记录拟合的AIC

AIC(fiik
length(fite)

比较两种拟合,如表 II 所示,我们发现 t-copula 拟合最好,因此我们将根据 t-copula 的参数创建一个模型。然后,我们使用该模型生成 10,000 个观察结果,模拟我们模型的可能结果。我们的模拟模型与拟合模型之间的图形比较可以在图 6 中看到 - 模拟非常接近拟合模型。

tCopula(parun")
cop.dist <- mvdc(copt,
parast1)
rmvdc(co00)

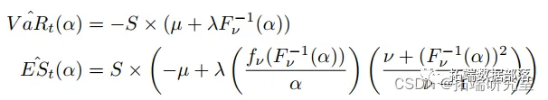
现在我们有了模拟的观察结果,我们将使用参数方法计算风险价值 (VaR) 和预期损失 (ES)。我们将假设一个投资组合(任意选择)在 IVV 中投资 30%,在 TLT 中投资 15%,在 UUP 中投资 35%,在 DBC 中投资 20%。为了计算投资组合 w 的收益率 Rp,我们简单地使用矩阵代数将我们的模拟收益率 Rs 乘以权重,如 Rp = Rs × w。然后我们将 t 分布拟合到 Rp 并使用它来估计 VaR 和 ES。对于 t 分布,VaR 和 ES 的公式为:

其中:

• S:仓位大小

• F -1 ν:逆 CDF 函数

• fν:密度函数 • µ:平均值

• λ:形状/尺度参数

• ν:自由度

• α:置信水平

R中公式的应用实现如下。请注意,在代码中,VaR 和 ES 被四舍五入到最接近的千位。结果在表III中。

# 计算模拟值的 VaR 和 ES
fitdistr(re, "t")
es <- -m+lada\*es1\*es2

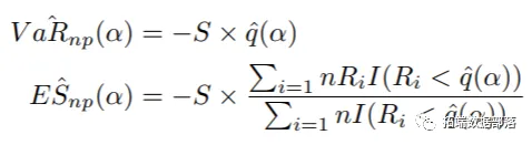
我们的最终任务是计算非参数 ES 和 VaR,由以下公式给出:

其中:

• S:仓位大小

• qˆ(α):样本收益率的分位数

• Ri:第 i 个样本收益率

R 实现如下:

# 计算真实值的 VaR 和 ES

ret <- (rf %*% w) / 100
ES <- -S * sum(ret * ir) / sum (iar)

结果示于表III中。

四、计算结果

表 I 显示了 ETF 边缘 t 分布的估计参数和 AIC 的结果:

表 I 边缘分布

两个 copula 拟合的 AIC 都在表 II 中。

表 II Copula AIC

VaR 和 ES 在表 III 中。

表三 VaR 和 ES

五、总结与结论

这项工作展示了如何估计边缘和 copula,以及如何应用 copula 来创建一个模型,该模型将考虑变量之间的相互依赖性。它还展示了如何计算风险价值 (VaR) 和期望损失 (ES)。

相关文章
|
运维 安全
BOSHIDA DC电源模块的故障排查与维修技巧
故障排查与维修技巧: 1. 检查电源线连接:首先检查电源线是否正确连接到电源模块和电源插座。确保插头牢固接触,并检查插座是否有电。
BOSHIDA  DC电源模块的故障排查与维修技巧
|
JavaScript IDE 程序员
你会了吗 HarmonyOS Next 项目级别的注释规范
你会了吗 HarmonyOS Next 项目级别的注释规范
289 1
你会了吗 HarmonyOS Next 项目级别的注释规范
|
9月前
|
开发者 异构计算
高效部署通义万相Wan2.1:ComfyUI文生/图生视频实战,工作流直取!
通义万相Wan2.1开源不到一周,已登顶HuggingFace Model 和 Space 榜双榜首,在HuggingFace和ModelScope平台的累计下载量突破100万次,社区热度持续攀升!为响应小伙伴们对ComfyUI工作流运行Wan2.1的强烈需求,社区开发者整理了实战教程👇
6891 23
高效部署通义万相Wan2.1:ComfyUI文生/图生视频实战,工作流直取!
|
Oracle 关系型数据库 数据库
docker下安装oracle11g(一次安装成功)
docker下安装oracle11g(一次安装成功)
1476 0
|
弹性计算 Linux 数据安全/隐私保护
在已有的 ECS 上重装幻兽帕鲁服务器、迁移到计算巢、或升级计算巢服务版本
现在你可以参考这篇教程,将原来搭建的幻兽帕鲁服务器迁移到计算巢上,享受计算巢上所支持的界面化调整游戏配置(死亡掉落、服务器密码等)。 或者也可以用于重新安装,升级到最新版本的计算巢幻兽帕鲁服务。
33925 8
|
IDE 网络安全 开发工具
IDE之vscode:连接远程服务器代码(亲测OK),与pycharm链接服务器做对比(亲自使用过了),打开文件夹后切换文件夹。
本文介绍了如何使用VS Code通过Remote-SSH插件连接远程服务器进行代码开发,并与PyCharm进行了对比。作者认为VS Code在连接和配置多个服务器时更为简单,推荐使用VS Code。文章详细说明了VS Code的安装、远程插件安装、SSH配置文件编写、服务器连接以及如何在连接后切换文件夹。此外,还提供了使用密钥进行免密登录的方法和解决权限问题的步骤。
5440 0
IDE之vscode:连接远程服务器代码(亲测OK),与pycharm链接服务器做对比(亲自使用过了),打开文件夹后切换文件夹。
|
TensorFlow 算法框架/工具 Python
最新版tensorflow安装教程,pip安装+手动安装
最新版tensorflow安装教程,pip安装+手动安装
5863 1
|
算法 Java C语言
嵌入式系统:技术原理、应用与编程实践
嵌入式系统:技术原理、应用与编程实践
320 0
|
移动开发 小程序 前端开发
使用uni-app开发(h5、小程序、app)步骤
使用uni-app开发(h5、小程序、app)步骤
408 0
|
JavaScript 前端开发
超适合0基础js对象笔记(10)
超适合0基础js对象笔记(10)
148 0