飞天加速计划初体验

简介: 最近因需要使用云服务器来学习,老师让我们用这个阿里云类进行相关的学习,让我们先进行免费的使用进行学习,慢慢了解,毕竟对于首次接触的事物都是了解为主不会投入大量资金。阿里云平台有详细的教程,让初学者能十分轻松的进行学习。飞天加速计划是个好想法,可以让我们这些学生进行学习,制作出自己的网站。让我在暑假对计算机有了浓厚的兴趣,于是在阿里云我选择了飞天加速计划,学习大数据和服务器啥的,让自己get到更多的知识~

我是一名来自大二的学生,学习的是软件技术专业。通过老师推荐了解到“飞天加速计划·高校学生在家实践”活动,它给我提供了一个可以学习的大平台。我认为这个飞天加速计划对于我这样的大学生帮助真是太大了,我觉得这是个良好的平台能够更好的让我进行实践,通过云服务器远端部署自己的项目就是一件非常重要的事情

之前因为也学过Linux,使用的是CentOS7的操作系统,但是由于在本机上通过VMWare开启虚拟机,过程相当的缓慢繁琐,且在本机上部署虚拟机其实也没有什么真正使用服务器的实感,因此在通过一些与服务器有关的视频及博客教程中,了解到了阿里云服务器,然后发现了阿里云对于高校学生的优惠服务---飞天加速计划,这令我相当惊喜。

在完成了相关的前置任务后,我成功领取到了ECS的限期免费使用权,通过阿里云附带的详细的有关ECS的实例c创建部署的帮助文档引导后,成功创建了ECS实例,并通过windows下的XShell工具,远程地连接上了我创建的ECS的实例,在XShell中一切命令都会如实地操控我的远端服务器,至此,我才真正感觉到了,哦,原来云服务器是这种感觉!

阿里云非常好,为祖国的科技人才成创造出了一个免费的平台,供广大网友和各路人才进行使用。在领取之前还会有一个教程和简单的测试,以便更好的使用。领取服务器之后,立马连接上使用一番。我还是很推荐远程操作工具的Xshell7的,这个软件不仅支持中文,而且完全免费,并且功能非常强大。连接之后第一件事是什么,当然是装宝塔了!装宝塔面板的速度很快,打开面板的速度简直是秒开,速度很快,宝塔一键部署的软件5分钟不到就装好了,真的很

对于程序员或者对编程感兴趣的人来说,拥有自己的云服务器,通过远端部署自己的项目,无论是博客也好,还是其他什么也好,都是一件相当酷的事情,阿里云的飞天加速计划让我初步体验了云服务器的使用,也希望更多的同学能够接触到“云”,有自己的云上之家。

相关实践学习
通义万相文本绘图与人像美化
本解决方案展示了如何利用自研的通义万相AIGC技术在Web服务中实现先进的图像生成。
7天玩转云服务器
云服务器ECS(Elastic Compute Service)是一种弹性可伸缩的计算服务,可降低 IT 成本,提升运维效率。本课程手把手带你了解ECS、掌握基本操作、动手实操快照管理、镜像管理等。了解产品详情: https://www.aliyun.com/product/ecs
相关文章
|
存储 算法 固态存储
CRUSH映射图及自定义规则实战篇
Ceph存储系统中CRUSH映射图及自定义规则的实战教程,涵盖了PG与OSD映射调整、CRUSH运行图修改案例以及CRUSH数据分类管理等内容。
271 1
|
存储 分布式计算 监控
会议OA项目-其它页面->自定义组件应用,其它界面的布局
会议OA项目-其它页面->自定义组件应用,其它界面的布局
100 0
|
JavaScript 关系型数据库 MySQL
Node.js:knex.js数据库MySQL query builder
Node.js:knex.js数据库MySQL query builder
267 0
|
存储 算法
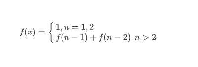
斐波那契数列
问题结构描述的数学形式:
150 0
斐波那契数列
|
9天前
|
存储 关系型数据库 分布式数据库
PostgreSQL 18 发布,快来 PolarDB 尝鲜!
PostgreSQL 18 发布,PolarDB for PostgreSQL 全面兼容。新版本支持异步I/O、UUIDv7、虚拟生成列、逻辑复制增强及OAuth认证,显著提升性能与安全。PolarDB-PG 18 支持存算分离架构,融合海量弹性存储与极致计算性能,搭配丰富插件生态,为企业提供高效、稳定、灵活的云数据库解决方案,助力企业数字化转型如虎添翼!
|
7天前
|
存储 人工智能 Java
AI 超级智能体全栈项目阶段二:Prompt 优化技巧与学术分析 AI 应用开发实现上下文联系多轮对话
本文讲解 Prompt 基本概念与 10 个优化技巧,结合学术分析 AI 应用的需求分析、设计方案,介绍 Spring AI 中 ChatClient 及 Advisors 的使用。
357 130
AI 超级智能体全栈项目阶段二:Prompt 优化技巧与学术分析 AI 应用开发实现上下文联系多轮对话