确定问卷调查样本量

简介: 确定问卷调查样本量


1. 问卷数据类型

问卷时,可以根据研究目标和问题类型巧妙地结合定性和定量元素,以满足多样化的研究需求。

问卷数据类型分为定性数据定量数据

1.1 定性数据&定性分析

定性数据常为文字数据,开放式的问题中询问调查对象的经历、感受、观点和信念等(除了问卷,一般调查方法还有:访谈、焦点小组、案例研究、文献综述等等。)

目的:细致的研究调查对象对有争议的、敏感的问题具体和独特的看法,发现关联性,可以补充定量数据,让研究者对调查的现象有更具体、完整的理解。

没有任何电脑软件能高质量地自动分析定性数据,研究者必须在不同的程度上人工归纳主题。

定性研究侧重于探讨观点并形成一种理论和假说,通过总结、分类和解释来分析,主要用文字来表达,需要调查的人群基数很小。

1.2 定量数据&定量分析

收集到的数据可量化,可以针对不同变量类型和研究问题来选择统计分析方法,

定量研究侧重于理论和假说,通过统计学和数学方法来分析,主要用数字和图表来表达,需要调查的人群基数很大。

量表属于定量调查

2. 确定初始样本容量:

针对样本量,统计上没有明确的要求多少,通常样本量在题目的5~10倍左右为宜。如果只是定性收集信息,问卷量没有标准多多益善,如果涉及定量调研需要考虑到样本量

如果要根据样本推断总体就更复杂些。最直观的感觉是:样本量越大,误差就越小,但样本越大成本越高,所以在保证误差范围和可信度的情况下,我们可以根据公式计算出最小样本量:

前提是问卷采用随机抽样的方式发放,既:研究总体中每个个体都有相同的机会回答问卷。如果不是随机抽样,即使达到最小样本量也不可以进行推断统计,在朋友圈里或论坛里发的调研不是随机抽样不能做推断统计

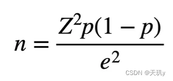
2.1 公式:

n:抽取的样本量

Z:Z值

p:指标比例

e:精度

2.2 Z值

置信度和Z值的对应关系:

置信度 Z值
90% 1.645
95% 1.960
99% 2.576

通常取95%

2.3 p

当p为0.5时求得的p(1-p)最大,也就是说需要样本容量最大

2.4 e

即是调查允许的误差范围

2.5 举例

3.调整初始样本容量:

首先要知道总体容量

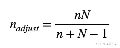
3.1 公式:

n:调整后抽取的样本量

N:总体容量

n_adjust:抽取的样本量

3.2 结论就是

需要在总体容量为N的总体中,至少随机得到n_adjust有效问卷才能得出可靠结论,且误差在e以内。

目录
相关文章
|
安全 Linux 网络安全
Centos 6.8下修改SSH服务默认端口,看这一篇就够了
Centos 6.8下修改SSH服务默认端口,看这一篇就够了
618 0
|
监控 计算机视觉 知识图谱
YOLOv10的改进、部署和微调训练总结
YOLOv10在实时目标检测中提升性能与效率,通过无NMS训练解决延迟问题,采用一致的双任务和效率-精度驱动的模型设计。YOLOv10-S比RT-DETR-R18快1.8倍,YOLOv10-B比YOLOv9-C延迟减少46%。新方法包括一致性双标签分配,优化计算冗余和增强模型能力。实验结果显示YOLOv10在AP和延迟上均有显著改善。文章还提供了部署和微调YOLOv10的示例代码。
1528 2
|
机器学习/深度学习 人工智能 TensorFlow
人工智能与图像识别:基于卷积神经网络的猫狗分类器
人工智能与图像识别:基于卷积神经网络的猫狗分类器
|
SQL 算法 调度
Flink批处理自适应执行计划优化
本文整理自阿里集团高级开发工程师孙夏在Flink Forward Asia 2024的分享,聚焦Flink自适应逻辑执行计划与Join算子优化。内容涵盖自适应批处理调度器、动态逻辑执行计划、自适应Broadcast Hash Join及Join倾斜优化等技术细节,并展望未来改进方向,如支持更多场景和智能优化策略。文章还介绍了Flink UI调整及性能优化措施,为批处理任务提供更高效、灵活的解决方案。
638 0
Flink批处理自适应执行计划优化
|
存储 移动开发 小程序
校园圈子系统小程序(圈子论坛、私信聊天、资料共享、二手交易、兼职,跑腿)开源码开发/微信公众号、小程序、H5多端账号同步/搭建多城市的综合社交生活平台
基于开源技术栈构建的校园圈子系统小程序,整合社交与生活服务功能,涵盖兴趣圈子、私信聊天、资料共享、二手交易、兼职跑腿等六大核心模块。通过多端账号同步(微信公众号/小程序/H5),实现数据实时交互,满足学生群体的多元化需求。项目精准锚定校园市场,以“社交+服务”双轮驱动,提供一站式解决方案,支持快速部署与多校区运营,同时具备广告、佣金、会员等多元变现能力,是打造校园生态的理想工具。
1456 3
校园圈子系统小程序(圈子论坛、私信聊天、资料共享、二手交易、兼职,跑腿)开源码开发/微信公众号、小程序、H5多端账号同步/搭建多城市的综合社交生活平台
|
计算机视觉
OpenCV下载、环境变量配置
OpenCV下载、环境变量配置
284 2
|
SQL 数据可视化 数据库
多维度解析低代码:从技术架构到插件生态
本文深入解析低代码平台,涵盖技术架构、插件生态及应用价值。重点介绍开源低代码平台的优势,如透明架构、兼容性与扩展性、可定制化开发,以及其在数据处理、功能模块、插件生态等方面的技术特点。文章还探讨了低代码平台的安全性、权限管理及未来技术趋势,强调其在企业数字化转型中的重要作用。
|
算法 安全 Android开发
新一代安卓系统:技术演进与用户体验革新
在移动操作系统领域,安卓系统一直处于不断演进的过程中。本文探讨了新一代安卓系统的技术创新,以及这些创新如何为用户带来全新的体验和功能。
541 0
|
机器学习/深度学习 存储 C语言
NumPy源码解析:实现原理探究
【4月更文挑战第17天】本文深入解析NumPy源码,探讨其高效性能背后的实现原理。核心是多维数组`ndarray`,基于同质数据、连续内存分配和形状步幅概念。NumPy利用C语言实现数组管理,通过广播机制允许不同形状数组运算,并借助底层线性代数库实现向量化操作。理解这些机制有助于优化科学计算并应用于其他项目。
1346 1
|
人工智能 并行计算 算法
LLM-04 大模型 15分钟 FineTuning 微调 ChatGLM3-6B(准备环境) 3090 24GB实战 需22GB显存 LoRA微调 P-TuningV2微调
LLM-04 大模型 15分钟 FineTuning 微调 ChatGLM3-6B(准备环境) 3090 24GB实战 需22GB显存 LoRA微调 P-TuningV2微调
679 0

热门文章

最新文章