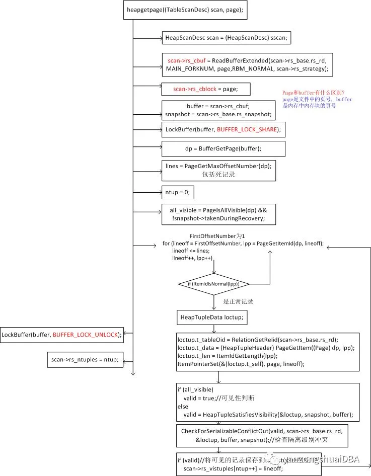
本文介绍heapgetpage函数的流程,这个函数的功能是从磁盘中读取一个页到内存,并将可见的记录的记录号,即第几个记录,保存到扫描描述符的rs_vistuples数组中。
1、heapgetpage的入参分别为表扫描描述符和页号,此页号为物理文件中的页号
2、首先将表扫描描述符转换类型heap扫描描述符
3、调用函数ReadBufferExtended从磁盘中读取page号的页到内存:block号为scan->rs_cbuf的内存块中
4、保存下来但扫描的数据页页号scan->rs_cblock=page
5、对该buffer描述符BufferDesc的content_lock加BUFFER_LOCK_SHARE锁
6、计算该页内总共有多少记录,包括死记录,个数为lines
7、如果该页的pd_flags字段存有PD_ALL_VISIBLE,即该页所有记录都可见,则all_visible为TRUE,需要将所有记录都放到scan->rs_vistuples数组中。
8、从第一个记录开始遍历,一直到最后一个记录:正常记录的话,若页内没有PD_ALL_VISIBLE标签,则需要判断该记录可见性,若可见则将其保存到scan->rs_vistuples数组中。
9、记录在heap中是第i个,则scan->rs_vistuples数组保存的是i值
10、对该buffer描述符BufferDesc的content_lock解锁
11、scan->rs_ntuple为可见记录的个数
12、此时heap扫描描述符的成员变量获得值:
scan->rs_cbuf:当前扫描的内存块块号
scan->rs_cblock:当前扫描的文件中页号
scan->rs_vistuples[]:保存可见记录的索引号
scan->rs_ntuples:该页中有多少可见记录
