💥 💥 💞 💞 欢迎来到本博客 ❤️ ❤️ 💥 💥
🏆 博主优势: 🌞 🌞 🌞博客内容尽量做到思维缜密,逻辑清晰,为了方便读者。
⛳ 座右铭:行百里者,半于九十。
📋 📋 📋 本文目录如下: 🎁 🎁 🎁
目录
💥1 概述
📚2 运行结果
🎉3 参考文献
🌈4 Simulink实现
💥1 概述
节点电压法是以节点电压为未知量分析电路的方法,是求解线性电路的一种常用的方法。在国
内的教材和授课过程中,往往会把节点电压法归纳推广为一般的节点电压方程的标准形式,只要记住该方程形式各个系数的含义,学生就可以利用该标准形式求解节点电压,从而得到电路的响应[1~6]。
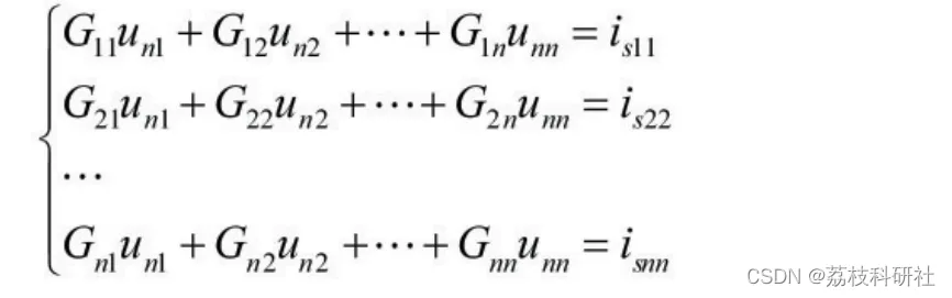
例如一个具有n+1个独立节点的电路,n个节点电压方程的标准形式为:
式中,unk为未知待求的节点 k 的节点电压;Gkk 为节点k的自电导,恒为正;Gjk为节点j和节点k之间的互电导,恒为负;iSkk为流入节点k的所有电流源电流的代数和,这里的电流源也包括由实际电压源经等效变换得到的电流源。 节点电压方程的标准形式简单,规律性较强,学生只要多加练习,就可以较容易地掌握并运用。但当应用节点电压方程的标准形式(式1)求解电路时,还是会遇到一些问题。如对于含有短路支路,并且该支路电流是受控源控制量时,仍然采用传统的标准形式就无法得出正确的结果。
IEEE 14节点系统被广泛用作各种研究的案例,如短路分析,潮流研究,互连电网问题等。
下面展现接线图:
📚2 运行结果
部分运行结果图:
🎉3 参考文献
部分理论来源于网络,如有侵权请联系删除。
[1]Bharath Yk (2023). IEEE 14 Bus System Simulink Model
[2]赵春江.短路电流为控制量的节点电压法分析[J].西昌学院学报(自然科学版),2019,33(04):58-60.DOI:10.16104/j.issn.1673-1891.2019.04.012.
[3]沈鑫,曹敏,张家洪,李英娜,李川.基于IEEE14节点模型的电气参量分析与窃电指标判别[J].软件,2018,39(12):141-145.







