22、重载(Overload)和重写(Override)的区别?
方法的重载和重写都是实现多态的方式,区别在于前者实现的是编译时的多态性,而后者实现的是运行时的多态性。
重载:一个类中有多个同名的方法,但是具有有不同的参数列表(参数类型不同、参数个数不同或者二者都不同)。
重写:发生在子类与父类之间,子类对父类的方法进行重写,参数都不能改变,返回值类型可以不相同,但是必须是父类返回值的派生类。即外壳不变,核心重写!重写的好处在于子类可以根据需要,定义特定于自己的行为。
23、为什么不能根据返回类型来区分重载?
如果我们有两个方法如下,当我们调用:test(1) 时,编译器无法确认要调用的是哪个。
// 方法1 int test(int a); // 方法2 long test(int a);
方法的返回值只是作为方法运行之后的一个“状态”,但是并不是所有调用都关注返回值,所以不能将返回值作为重载的唯一区分条件。
24、抽象类(abstract class)和接口(interface)有什么区别?
抽象类只能单继承,接口可以多实现。
抽象类可以有构造方法,接口中不能有构造方法。
抽象类中可以有成员变量,接口中没有成员变量,只能有常量(默认就是 public static final)
抽象类中可以包含非抽象的方法,在 Java 7 之前接口中的所有方法都是抽象的,在 Java 8 之后,接口支持非抽象方法:default 方法、静态方法等。Java 9 支持私有方法、私有静态方法。
抽象类中的抽象方法类型可以是任意修饰符,Java 8 之前接口中的方法只能是 public 类型,Java 9 支持 private 类型。
设计思想的区别:
接口是自上而下的抽象过程,接口规范了某些行为,是对某一行为的抽象。我需要这个行为,我就去实现某个接口,但是具体这个行为怎么实现,完全由自己决定。
抽象类是自下而上的抽象过程,抽象类提供了通用实现,是对某一类事物的抽象。我们在写实现类的时候,发现某些实现类具有几乎相同的实现,因此我们将这些相同的实现抽取出来成为抽象类,然后如果有一些差异点,则可以提供抽象方法来支持自定义实现。
我在网上看到有个说法,挺形象的:
普通类像亲爹 ,他有啥都是你的。
抽象类像叔伯,有一部分会给你,还能指导你做事的方法。
接口像干爹,可以给你指引方法,但是做成啥样得你自己努力实现。
25、Error 和 Exception 有什么区别?
Error 和 Exception 都是 Throwable 的子类,用于表示程序出现了不正常的情况。区别在于:
Error 表示系统级的错误和程序不必处理的异常,是恢复不是不可能但很困难的情况下的一种严重问题,比如内存溢出,不可能指望程序能处理这样的情况。
Exception 表示需要捕捉或者需要程序进行处理的异常,是一种设计或实现问题,也就是说,它表示如果程序运行正常,从不会发生的情况。
26、Java 中的 final 关键字有哪些用法?
修饰类:该类不能再派生出新的子类,不能作为父类被继承。因此,一个类不能同时被声明为abstract 和 final。
修饰方法:该方法不能被子类重写。
修饰变量:该变量必须在声明时给定初值,而在以后只能读取,不可修改。 如果变量是对象,则指的是引用不可修改,但是对象的属性还是可以修改的。
public class FinalDemo { // 不可再修改该变量的值 public static final int FINAL_VARIABLE = 0; // 不可再修改该变量的引用,但是可以直接修改属性值 public static final User USER = new User(); public static void main(String[] args) { // 输出:User(id=0, name=null, age=0) System.out.println(USER); // 直接修改属性值 USER.setName("test"); // 输出:User(id=0, name=test, age=0) System.out.println(USER); } }
27、阐述 final、finally、finalize 的区别。
其实是三个完全不相关的东西,只是长的有点像。。
final 如上所示。
finally:finally 是对 Java 异常处理机制的最佳补充,通常配合 try、catch 使用,用于存放那些无论是否出现异常都一定会执行的代码。在实际使用中,通常用于释放锁、数据库连接等资源,把资源释放方法放到 finally 中,可以大大降低程序出错的几率。
finalize:Object 中的方法,在垃圾收集器将对象从内存中清除出去之前做必要的清理工作。finalize()方法仅作为了解即可,在 Java 9 中该方法已经被标记为废弃,并添加新的 java.lang.ref.Cleaner,提供了更灵活和有效的方法来释放资源。这也侧面说明了,这个方法的设计是失败的,因此更加不能去使用它。
28、try、catch、finally 考察,请指出下面程序的运行结果。
public class TryDemo { public static void main(String[] args) { System.out.println(test()); } public static int test() { try { return 1; } catch (Exception e) { return 2; } finally { System.out.print("3"); } } }
执行结果:31。
相信很多同学应该都做对了,try、catch。finally 的基础用法,在 return 前会先执行 finally 语句块,所以是先输出 finally 里的 3,再输出 return 的 1。
29、try、catch、finally 考察2,请指出下面程序的运行结果。
public class TryDemo { public static void main(String[] args) { System.out.println(test1()); } public static int test1() { try { return 2; } finally { return 3; } } }
执行结果:3。
这题有点先将,但也不难,try 返回前先执行 finally,结果 finally 里不按套路出牌,直接 return 了,自然也就走不到 try 里面的 return 了。
finally 里面使用 return 仅存在于面试题中,实际开发中千万不要这么用。
### 30、try、catch、finally 考察3,请指出下面程序的运行结果。 public class TryDemo { public static void main(String[] args) { System.out.println(test1()); } public static int test1() { int i = 0; try { i = 2; return i; } finally { i = 3; } } }
执行结果:2。
这边估计有不少同学会以为结果应该是 3,因为我们知道在 return 前会执行 finally,而 i 在 finally 中被修改为 3 了,那最终返回 i 不是应该为 3 吗?确实很容易这么想,我最初也是这么想的,当初的自己还是太年轻了啊。
这边的根本原因是,在执行 finally 之前,JVM 会先将 i 的结果暂存起来,然后 finally 执行完毕后,会返回之前暂存的结果,而不是返回 i,所以即使这边 i 已经被修改为 3,最终返回的还是之前暂存起来的结果 2。
这边其实根据字节码可以很容易看出来,在进入 finally 之前,JVM 会使用 iload、istore 两个指令,将结果暂存,在最终返回时在通过 iload、ireturn 指令返回暂存的结果。
为了避免气氛再次变态起来,我这边就不贴具体的字节码程序了,有兴趣的同学可以自己编译查看下。
31、JDK1.8之后有哪些新特性?
接口默认方法:Java 8允许我们给接口添加一个非抽象的方法实现,只需要使用 default关键字即可
Lambda 表达式和函数式接口:Lambda 表达式本质上是一段匿名内部类,也可以是一段可以传递的代码。Lambda 允许把函数作为一个方法的参数(函数作为参数传递到方法中),使用 Lambda 表达式使代码更加简洁,但是也不要滥用,否则会有可读性等问题,《Effective Java》作者 Josh Bloch 建议使用 Lambda 表达式最好不要超过3行。
Stream API:用函数式编程方式在集合类上进行复杂操作的工具,配合Lambda表达式可以方便的对集合进行处理。Java8 中处理集合的关键抽象概念,它可以指定你希望对集合进行的操作,可以执行非常复杂的查找、过滤和映射数据等操作。使用Stream API 对集合数据进行操作,就类似于使用 SQL 执行的数据库查询。也可以使用 Stream API 来并行执行操作。简而言之,Stream API 提供了一种高效且易于使用的处理数据的方式。
方法引用:方法引用提供了非常有用的语法,可以直接引用已有Java类或对象(实例)的方法或构造器。与lambda联合使用,方法引用可以使语言的构造更紧凑简洁,减少冗余代码。
日期时间API:Java 8 引入了新的日期时间API改进了日期时间的管理。
Optional 类:著名的 NullPointerException 是引起系统失败最常见的原因。很久以前 Google Guava 项目引入了 Optional 作为解决空指针异常的一种方式,不赞成代码被 null 检查的代码污染,期望程序员写整洁的代码。受Google Guava的鼓励,Optional 现在是Java 8库的一部分。
新工具:新的编译工具,如:Nashorn引擎 jjs、 类依赖分析器 jdeps。
32、wait() 和 sleep() 方法的区别
来源不同:sleep() 来自 Thread 类,wait() 来自 Object 类。
对于同步锁的影响不同:sleep() 不会该表同步锁的行为,如果当前线程持有同步锁,那么 sleep 是不会让线程释放同步锁的。wait() 会释放同步锁,让其他线程进入 synchronized 代码块执行。
使用范围不同:sleep() 可以在任何地方使用。wait() 只能在同步控制方法或者同步控制块里面使用,否则会抛 IllegalMonitorStateException。
恢复方式不同:两者会暂停当前线程,但是在恢复上不太一样。sleep() 在时间到了之后会重新恢复;wait() 则需要其他线程调用同一对象的 notify()/nofityAll() 才能重新恢复。
33、线程的 sleep() 方法和 yield() 方法有什么区别?
线程执行 sleep() 方法后进入超时等待(TIMED_WAITING)状态,而执行 yield() 方法后进入就绪(READY)状态。
sleep() 方法给其他线程运行机会时不考虑线程的优先级,因此会给低优先级的线程运行的机会;yield() 方法只会给相同优先级或更高优先级的线程以运行的机会。
34、线程的 join() 方法是干啥用的?
用于等待当前线程终止。如果一个线程A执行了 threadB.join() 语句,其含义是:当前线程A等待 threadB 线程终止之后才从 threadB.join() 返回继续往下执行自己的代码。
35、编写多线程程序有几种实现方式?
通常来说,可以认为有三种方式:1)继承 Thread 类;2)实现 Runnable 接口;3)实现 Callable 接口。
其中,Thread 其实也是实现了 Runable 接口。Runnable 和 Callable 的主要区别在于是否有返回值。
36、Thread 调用 start() 方法和调用 run() 方法的区别
run():普通的方法调用,在主线程中执行,不会新建一个线程来执行。
start():新启动一个线程,这时此线程处于就绪(可运行)状态,并没有运行,一旦得到 CPU 时间片,就开始执行 run() 方法。
37、线程的状态流转
一个线程可以处于以下状态之一:
NEW:新建但是尚未启动的线程处于此状态,没有调用 start() 方法。
RUNNABLE:包含就绪(READY)和运行中(RUNNING)两种状态。线程调用 start() 方法会会进入就绪(READY)状态,等待获取 CPU 时间片。如果成功获取到 CPU 时间片,则会进入运行中(RUNNING)状态。
BLOCKED:线程在进入同步方法/同步块(synchronized)时被阻塞,等待同步锁的线程处于此状态。
WAITING:无限期等待另一个线程执行特定操作的线程处于此状态,需要被显示的唤醒,否则会一直等待下去。例如对于 Object.wait(),需要等待另一个线程执行 Object.notify() 或 Object.notifyAll();对于 Thread.join(),则需要等待指定的线程终止。
TIMED_WAITING:在指定的时间内等待另一个线程执行某项操作的线程处于此状态。跟 WAITING 类似,区别在于该状态有超时时间参数,在超时时间到了后会自动唤醒,避免了无期限的等待。
TERMINATED:执行完毕已经退出的线程处于此状态。
线程在给定的时间点只能处于一种状态。这些状态是虚拟机状态,不反映任何操作系统线程状态。
38、synchronized 和 Lock 的区别
1)Lock 是一个接口;synchronized 是 Java 中的关键字,synchronized 是内置的语言实现;
2)Lock 在发生异常时,如果没有主动通过 unLock() 去释放锁,很可能会造成死锁现象,因此使用 Lock 时需要在 finally 块中释放锁;synchronized 不需要手动获取锁和释放锁,在发生异常时,会自动释放锁,因此不会导致死锁现象发生;
3)Lock 的使用更加灵活,可以有响应中断、有超时时间等;而 synchronized 却不行,使用 synchronized 时,等待的线程会一直等待下去,直到获取到锁;
4)在性能上,随着近些年 synchronized 的不断优化,Lock 和 synchronized 在性能上已经没有很明显的差距了,所以性能不应该成为我们选择两者的主要原因。官方推荐尽量使用 synchronized,除非 synchronized 无法满足需求时,则可以使用 Lock。
39、synchronized 各种加锁场景的作用范围
1.作用于非静态方法,锁住的是对象实例(this),每一个对象实例有一个锁。
public synchronized void method() {} • 1
2.作用于静态方法,锁住的是类的Class对象,因为Class的相关数据存储在永久代元空间,元空间是全局共享的,因此静态方法锁相当于类的一个全局锁,会锁所有调用该方法的线程。
40、如何检测死锁?
死锁的四个必要条件:
1)互斥条件:进程对所分配到的资源进行排他性控制,即在一段时间内某资源仅为一个进程所占有。此时若有其他进程请求该资源,则请求进程只能等待。
2)请求和保持条件:进程已经获得了至少一个资源,但又对其他资源发出请求,而该资源已被其他进程占有,此时该进程的请求被阻塞,但又对自己获得的资源保持不放。
3)不可剥夺条件:进程已获得的资源在未使用完毕之前,不可被其他进程强行剥夺,只能由自己释放。
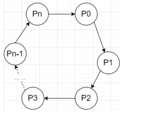
4)环路等待条件:存在一种进程资源的循环等待链,链中每一个进程已获得的资源同时被 链中下一个进程所请求。即存在一个处于等待状态的进程集合{Pl, P2, …, pn},其中 Pi 等待的资源被 P(i+1) 占有(i=0, 1, …, n-1),Pn 等待的资源被 P0占 有,如下图所示。


