gghalves包-你五毛我五毛

简介: gghalves可以通过ggplot2轻松地编写自己想要的一半一半(half-half plots)的图片。比如:在散点旁边显示箱线图、在小提琴图旁边显示点图。

介绍


gghalves可以通过ggplot2轻松地编写自己想要的一半一半(half-half plots)的图片。比如:在散点旁边显示箱线图、在小提琴图旁边显示点图。

gghalves[1]_half_扩展添加到选定的geom。比如:geom_half_violin()函数,相当于geom_violin()函数的变体,该函数主要作用就是展示一半的小提琴图,然后与其他图形组合。还包含以下函数:

  • geom_half_boxplot
  • geom_half_violin
  • geom_half_point


安装


gghalves通过GitHub安装:

if (!require(devtools)) {
    install.packages('devtools')
}
devtools::install_github('erocoar/gghalves')


函数介绍

geom_half_violin(mapping = NULL, data = NULL, stat = "half_ydensity",
  position = "dodge", ..., side = "l", nudge = 0,
  draw_quantiles = NULL, trim = TRUE, scale = "area",
  na.rm = FALSE, show.legend = NA, inherit.aes = TRUE)

其参数包括:翻译来源生信玩家[2]

参数 解释
mapping 通过aes()指定图形属性映射。默认为NULL,使用ggplot()aes()指定的映射。
data 指定数据框。默认为NULL,使用ggplot()中的数据。
stat 覆盖geom_density()和stat_density()之间的默认连接。
position 位置调整,可以是字符串,默认为"dodge",也可以是位置调整函数的调用结果。
side 画半小提琴图的一侧。“ l”代表左,“ r”代表右,默认为“ l”。
nudge 在小提琴图和分配给x轴上给定因子的空间中间之间添加空间。
draw_quantiles 如果不是MULL(默认为NULL),在给定的密度估计分位数处绘制水平线。
trim 若为TRUE(默认),将小提琴的尾部修整到数据范围。若为FALSE,不修剪尾巴。
scale 如果为"area"(默认),则所有小提琴都具有相同的面积(修剪尾部之前)。
na.rm 如果为FALSE(默认),则会使用警告删除缺失值。如果为TRUE,则会自动删除缺少的值。
show.legend 逻辑值,默认为NA,若为FALSE,不显示该图层的图例; 若为TRUE,则显示该图层的图例。 它也可以是带有名称(图形属性)的逻辑向量,用来选择要显示的图形属性。如show.legend = c(size = TRUE,color = FALSE)表示显示size对应的图例,而不显示color对应的图例。
inherit.aes 默认为TRUE,若为FALSE,覆盖ggplot()aes()默认属性,而不是与他们组合。
geom 覆盖geom_density()stat_density()之间的默认连接。
bw 要使用的平滑带宽度。如果是数字,则为平滑内核的标准差。
adjust 多次带宽调整。这使得可以在仍使用带宽估计器的情况下调整带宽。例如,adjust = 1/2表示使用默认带宽的一半。


示例


单个函数

我们以iris数据集作为本例数据,先使用单个函数进行绘制。

if (!require(devtools)) {
  install.packages('devtools')
}
devtools::install_github('erocoar/gghalves')


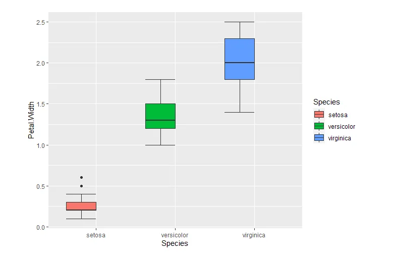
geom_half_boxplot

library(gghalves)
ggplot(iris, aes(x = Species, y = Petal.Width, fill = Species)) + 
  geom_half_boxplot()

image.gif

默认为箱子在右,使用center = TRUE将箱子居中。下面函数参数调整类似,就不再绘制结果了,就把最原始的进行展示。

ggplot(iris, aes(x = Species, y = Petal.Width, fill = Species)) + 
  geom_half_boxplot(center = TRUE)

7I2F%KW8[VV{VS25V`RV(0D.png


geom_half_violin

ggplot(iris, aes(x = Species, y = Petal.Width, fill = Species)) + 
  geom_half_violin()

FM0IH3~%17Y7%B2$WHH)%VY.png


geom_half_point

ggplot(iris, aes(x = Species, y = Petal.Width, fill = Species)) + 
  geom_half_point()

image.gif

综合案例


云雨图

该案例来自官网案例,但并没有对代码进行解释。这里小编对代码进行详细解释,喜欢的伙伴,可以按照解释自己理解,并用到自己实际所需的复合图中。

先将数据的统计摘要进行计算存到了summ_iris中,包含了均值,标准差,数量标准误差。iris_plot为所需数据,这里将Species变量设置为因子,因为要用它作为分类变量。

library(tidyverse)
# 统计摘要
summ_iris <- iris %>% 
  group_by(Species) %>% 
  summarise(
    mean = mean(Sepal.Length),
    sd = sd(Sepal.Length),
    n = n()
  ) %>% 
  mutate(se = sd/sqrt(n),
         Species = factor(Species, levels = c('versicolor', 'setosa', 'virginica')))
summ_iris
## # A tibble: 3 x 5
##   Species     mean    sd     n     se
##   <fct>      <dbl> <dbl> <int>  <dbl>
## 1 setosa      5.01 0.352    50 0.0498
## 2 versicolor  5.94 0.516    50 0.0730
## 3 virginica   6.59 0.636    50 0.0899
# 数据转换  
iris_plot <- iris %>% 
  mutate(Species = factor(Species, levels = c('versicolor', 'setosa', 'virginica')))
head(iris_plot)

97Q8%L]L4OWYC32C00T_PSL.png

接下来进行绘图,我们想要得到SpeciesSepal.Length的关系,其中Species为离散变量,Sepal.Length为连续变量。并绘制了半边的小提琴图,并将该图往右移了0.15,上下位置不变(position_nudge(x = .15, y = 0)),为了后面绘制其他图形留位置。

library(gghalves)
library(ggsignif)
library(ggsci)
library(ggpubr)
ggplot(iris_plot , aes(x = Species, y = Sepal.Length, fill = Species))+
  geom_half_violin(aes(fill = Species),
                   position = position_nudge(x = .15, y = 0),
                    side = 'r')

QO2XR$9PEF9}WLMZU4})X2I.png

接下来加入散点图,并使x坐标往左移动0.1(x = as.numeric(Species)-0.1),使用position_jitter使得重复的点分散开。

ggplot(iris_plot , aes(x = Species, y = Sepal.Length, fill = Species))+
  geom_half_violin(aes(fill = Species),
                   position = position_nudge(x = .15, y = 0),
                   side = 'r') +
  geom_point(aes(x = as.numeric(Species)-0.1,
                 y = Sepal.Length,color = Species),
             position = position_jitter(width = .05),size = .25, shape = 20)

5$3CV8(DOE(AG[_GK15OEQV.png


在原来基础上加入箱子图,位置放在正中间

ggplot(iris_plot , aes(x = Species, y = Sepal.Length, fill = Species))+
  geom_half_violin(aes(fill = Species),
                   position = position_nudge(x = .15, y = 0),
                   adjust=1.5, trim=FALSE, colour=NA, side = 'r') +
  geom_point(aes(x = as.numeric(Species)-0.1,
                 y = Sepal.Length,color = Species),
             position = position_jitter(width = .05),size = .25, shape = 20) +
  geom_boxplot(aes(x = Species,y = Sepal.Length, fill = Species),
               outlier.shape = NA,
               width = .05,
               color = "black")

6[O6KRRRRXVJ{C$FYNM(C)U.png


这里比较有趣的是,作者还通过geom_pointgeom_errorbar加入和汇总信息以及对应的误差项。

ggplot(iris_plot , aes(x = Species, y = Sepal.Length, fill = Species))+
  geom_half_violin(aes(fill = Species),
                   position = position_nudge(x = .15, y = 0),
                   adjust=1.5, trim=FALSE, colour=NA, side = 'r') +
  geom_point(aes(x = as.numeric(Species)-0.1,
                 y = Sepal.Length,color = Species),
             position = position_jitter(width = .05),size = .25, shape = 20) +
  geom_boxplot(aes(x = Species,y = Sepal.Length, fill = Species),
               outlier.shape = NA,
               width = .05,
               color = "black")+
  geom_point(data=summ_iris,
             aes(x=Species,y = mean,group = Species, color = Species),
             shape=18,
             size = 1.5,
             position = position_nudge(x = .1,y = 0)) +
  geom_errorbar(data = summ_iris,
                aes(x = Species, y = mean, group = Species, colour = Species,
                    ymin = mean-se, ymax = mean+se),
                width=.05,
                position=position_nudge(x = .1, y = 0)
  )

image.gif

使用ggsci包的scale_color_aaas(),scale_fill_aaas()将尺度的颜色进行改变(非常好用!)在下面展示另外一种配色(scale_color_jco

ggplot(iris_plot , aes(x = Species, y = Sepal.Length, fill = Species))+
  geom_half_violin(aes(fill = Species),
                   position = position_nudge(x = .15, y = 0),
                   adjust=1.5, trim=FALSE, colour=NA, side = 'r') +
  geom_point(aes(x = as.numeric(Species)-0.1,
                 y = Sepal.Length,color = Species),
             position = position_jitter(width = .05),size = .25, shape = 20) +
  geom_boxplot(aes(x = Species,y = Sepal.Length, fill = Species),
               outlier.shape = NA,
               width = .05,
               color = "black")+
  geom_point(data=summ_iris,
             aes(x=Species,y = mean,group = Species, color = Species),
             shape=18,
             size = 1.5,
             position = position_nudge(x = .1,y = 0)) +
  geom_errorbar(data = summ_iris,
                aes(x = Species, y = mean, group = Species, colour = Species,
                    ymin = mean-se, ymax = mean+se),
                width=.05,
                position=position_nudge(x = .1, y = 0)
  ) +
  scale_color_aaas() +
  scale_fill_aaas()

2U(YG_X8)5BF`EN@({FXCAP.png

最后使用ggpubr包的geom_signif加入显著性结果,ggsave保存图片。

# 绘图
ggplot(iris_plot , aes(x = Species, y = Sepal.Length, fill = Species))+
  geom_half_violin(aes(fill = Species),
                   position = position_nudge(x = .15, y = 0),
                   adjust=1.5, trim=FALSE, colour=NA, side = 'r') +
  geom_point(aes(x = as.numeric(Species)-0.1,
                 y = Sepal.Length,color = Species),
             position = position_jitter(width = .05),size = .25, shape = 20) +
  geom_boxplot(aes(x = Species,y = Sepal.Length, fill = Species),
               outlier.shape = NA,
               width = .05,
               color = "black")+
  geom_point(data=summ_iris,
             aes(x=Species,y = mean,group = Species, color = Species),
             shape=18,
             size = 1.5,
             position = position_nudge(x = .1,y = 0)) +
  geom_errorbar(data = summ_iris,
                aes(x = Species, y = mean, group = Species, colour = Species,
                    ymin = mean-se, ymax = mean+se),
                width=.05,
                position=position_nudge(x = .1, y = 0)
  ) +
  scale_color_jco() +
  scale_fill_jco() +
  geom_signif(comparisons = list(c("versicolor", "setosa"),
                                 c("versicolor", "virginica"),
                                 c("setosa", "virginica")),
              y_position = c(8.2, 8.6, 8.4),
              map_signif_level = c("***" = 0.001, "**" = 0.01, "*" = 0.05)) +
  ggsave('云雨图.pdf', width = 6, height = 8)

S}I]40H3C3Y35T%75S%VSKX.png


混合图

最后是混合图,根据自己想要的图,可以自行添加。相信这个代码简单的图给大家学术作图上省了不少时间。

library(tidyverse)
ggplot() +
  geom_half_boxplot(
    data = iris %>% filter(Species=="setosa"), 
    aes(x = Species, y = Sepal.Length, fill = Species), outlier.color = NA) +
  ggbeeswarm::geom_beeswarm(
    data = iris %>% filter(Species=="setosa"),
    aes(x = Species, y = Sepal.Length, fill = Species, color = Species), beeswarmArgs=list(side=+1)
  ) +
  geom_half_violin(
    data = iris %>% filter(Species=="versicolor"), 
    aes(x = Species, y = Sepal.Length, fill = Species), side="r") +
  geom_half_dotplot(
    data = iris %>% filter(Species=="versicolor"), 
    aes(x = Species, y = Sepal.Length, fill = Species), method="histodot", stackdir="down") +
  geom_half_boxplot(
    data = iris %>% filter(Species=="virginica"), 
    aes(x = Species, y = Sepal.Length, fill = Species), side = "r", errorbar.draw = TRUE,
    outlier.color = NA) +
  geom_half_point(
    data = iris %>% filter(Species=="virginica"), 
    aes(x = Species, y = Sepal.Length, fill = Species, color = Species), side = "l") +
  scale_fill_manual(values = c("setosa" = "#cba1d2", "versicolor"="#7067CF","virginica"="#B7C0EE")) +
  scale_color_manual(values = c("setosa" = "#cba1d2", "versicolor"="#7067CF","virginica"="#B7C0EE")) +
  theme(legend.position = "none") + 
  ggsave('综合图.pdf', width = 6, height = 8)

1DA%%819EH`2A~6JH%{}PZM.png

目录
相关文章
|
自然语言处理 前端开发 JavaScript
国际版抖音点赞系统开发【TikTok 点赞 APP 搭建教程】
国际版抖音点赞系统开发【TikTok 点赞 APP 搭建教程】
796 0
R实战 | 对称云雨图 + 箱线图 + 配对散点 + 误差棒图 +均值连线
R实战 | 对称云雨图 + 箱线图 + 配对散点 + 误差棒图 +均值连线
1824 1
R实战 | 对称云雨图 + 箱线图 + 配对散点 + 误差棒图 +均值连线
|
数据挖掘
Seurat 4.0 | 单细胞转录组数据整合(scRNA-seq integration)
Seurat 4.0 | 单细胞转录组数据整合(scRNA-seq integration)
1963 0
Seurat 4.0 | 单细胞转录组数据整合(scRNA-seq integration)
|
Windows
windows 安装mpv player
windows 安装mpv player
202 2
|
9月前
|
人工智能 API Android开发
LLM大模型知识整理大全
本文介绍了多个大模型训练和部署工具及教程。使用unsloth支持llama3,显存占用约8G;GPT4ALL加载训练好的大模型;llama.cpp进行4bit量化后可用CPU运行。MAID手机App和MLC软件可在安卓设备上本地运行大模型或调用API。FASTGPT用于客制化大模型和AI私有化客服。相关教程链接已提供。
346 12
|
10月前
|
人工智能 安全 大数据
企业内训|信创工作的技术难点与最佳实践-某央企金科公司
近日,TsingtaoAI组织信创技术专家,为上海某央企金融科技公司研发信创技术企业培训课程。课程通过系统化的理论学习与丰富的案例分析,全面解析信创政策、监管要求、行业趋势以及信创技术的核心难点。课程涵盖信创政策解读、行业信息洞察、业界技术栈分析、核心数据库信创改造、信创终端推广适配等多个模块。通过案例式、项目式和实战式的教学模式,帮助学员在复杂多变的信创环境中高效应对各种挑战。
474 3
|
数据库
Google Earth Engine(GEE)——全球地表水和地下水盐度测量(1980-2019)
Google Earth Engine(GEE)——全球地表水和地下水盐度测量(1980-2019)
277 0
Google Earth Engine(GEE)——全球地表水和地下水盐度测量(1980-2019)
|
存储 NoSQL 数据处理
Redis Lua脚本:赋予Redis更强大的逻辑与功能
Redis Lua脚本:赋予Redis更强大的逻辑与功能
272 0
|
机器人 人机交互 vr&ar
感 知 拟 人 性 (Perceived Anthropomorphism, PA)量表。
感 知 拟 人 性 (Perceived Anthropomorphism,感知拟人性(Perceived Anthropomorphism,PA)量表是一种用于评估人们对于非人类事物 PA)量表。
1309 0
|
数据挖掘
这图怎么画| 多组箱线图+组间/内差异分析
这图怎么画| 多组箱线图+组间/内差异分析
396 0