对普通人而言,识别任意两张图片是否相似是件很容易的事儿。但是从计算机的角度来识别的话,需要先识别出图像的特征,然后才能进行比对。在图像识别中,颜色特征是最为常见的。每张图像都可以转化成颜色分布直方图,如果两张图片的直方图很接近,就可以认为它们很相似。这有点类似于判断文本的相似程度。
图像比较
先来比对两张图片,一张是原图另一张是经过直方图均衡化之后的图片。
原图和直方图均衡化比较.png
二者的相关性因子是-0.056,这说明两张图的相似度很低。在上一篇文章 图像直方图与直方图均衡化 中,已经解释过什么是直方图均衡化。通过直方图均衡化后,两张图片确实是不同的,可以从下图看出。
直方图均值化.png
我们来看看如何使用直方图比较。
final Bitmap bitmap = BitmapFactory.decodeResource(res, R.drawable.test_hist); image0.setImageBitmap(bitmap); CV4JImage cv4jImage = new CV4JImage(bitmap); ImageProcessor imageProcessor = cv4jImage.convert2Gray().getProcessor(); int[][] source = null; int[][] target = null; CalcHistogram calcHistogram = new CalcHistogram(); int bins = 180; source = new int[imageProcessor.getChannels()][bins]; calcHistogram.calcHSVHist(imageProcessor,bins,source,true); if (imageProcessor instanceof ByteProcessor) { EqualHist equalHist = new EqualHist(); equalHist.equalize((ByteProcessor) imageProcessor); image1.setImageBitmap(cv4jImage.getProcessor().getImage().toBitmap()); target = new int[imageProcessor.getChannels()][bins]; calcHistogram.calcHSVHist(imageProcessor,bins,target,true); } CompareHist compareHist = new CompareHist(); StringBuilder sb = new StringBuilder(); sb.append("巴氏距离:").append(compareHist.bhattacharyya(source[0],target[0])).append("\r\n") .append("协方差:").append(compareHist.covariance(source[0],target[0])).append("\r\n") .append("相关性因子:").append(compareHist.ncc(source[0],target[0])); result.setText(sb.toString());
其中,CompareHist 这个类是用于直方图比较的类。
然后,再来比较两张完全一致的图片,可以看到他们的相关性因子是1.0,表示两者完全一致。
两张相同的图比较.png
最后,来比对两张完全不同的图片,可以看到它们的相关性因子是0.037,表面二者几乎没有什么相似之处。
两张完全不同的图比较.png
直方图比较是识别图像相似度的算法之一,也是最简单的算法。当然,还有很多其他的算法啦。
直方图反向投影
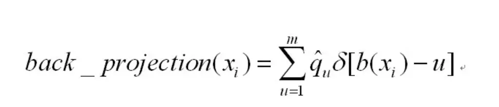
所谓反向投影就是首先计算某一特征的直方图模型,然后使用模型去寻找图像中存在的该特征。
反向投影的算法.png
其中,b(xi)表示在位置xi上像素对应的直方图第b(xi)个bin,直方图共m个bin,qu表示第u个bin的值。
下图是皇马的拉莫斯在2017年欧冠决赛时的图片。直方图反向投影可以根据球员球衣中的某一块区域,来查找图片中拉莫斯所穿的球衣。
直方图反向投影.png
上图是不是很酷炫?来看看是怎样使用反向投影的,需要先计算出样本的直方图,然后使用模型去寻找原图中存在的该特征。反向投影的结果包含了:以每个输入图像像素点为起点的直方图对比结果。在这里是一个单通道的浮点型图像。
Resources res = getResources(); Bitmap bitmap1 = BitmapFactory.decodeResource(res, R.drawable.test_project_target); targetImage.setImageBitmap(bitmap1); Bitmap bitmap2 = BitmapFactory.decodeResource(res, R.drawable.test_project_sample); sampleImage.setImageBitmap(bitmap2); CV4JImage cv4jImage = new CV4JImage(bitmap1); ColorProcessor colorProcessor = (ColorProcessor)cv4jImage.getProcessor(); BackProjectHist backProjectHist = new BackProjectHist(); int w = colorProcessor.getWidth(); int h = colorProcessor.getHeight(); CV4JImage resultCV4JImage = new CV4JImage(w,h); ByteProcessor byteProcessor = (ByteProcessor)resultCV4JImage.getProcessor(); // sample CV4JImage sample = new CV4JImage(bitmap2); ColorProcessor sampleProcessor = (ColorProcessor)sample.getProcessor(); CalcHistogram calcHistogram = new CalcHistogram(); int bins = 32; int[][] hist = new int[sampleProcessor.getChannels()][bins]; calcHistogram.calcHSVHist(sampleProcessor,bins,hist,true); byte[][] source = new byte[][]{colorProcessor.getRed(),colorProcessor.getGreen(),colorProcessor.getBlue()}; byte[][] target = new byte[3][w*h]; Tools.rgb2hsv(source,target); ByteProcessor hsvByteProcessor = new ByteProcessor(target[0],w,h); backProjectHist.backProjection(hsvByteProcessor,byteProcessor,hist[0],new int[]{0,180}); result.setImageBitmap(byteProcessor.getImage().toBitmap());
其中,BackProjectHist 这个类是用于直方图反向投影的类。
总结
直方图比较和直方图反向投影的算法都已经包含在cv4j中。
cv4j 是gloomyfish和我一起开发的图像处理库,纯java实现,目前还处于早期的版本。这次我们填完直方图的坑以后,终于把它发布到jcenter上了。
单独下载cv4j
compile 'com.cv4j:cv4j:0.1.0'
也可以下载rxcv4j,它是使用 RxJava2.x 进行的封装,如果下载该模块的话无需再下载cv4j。
compile 'com.cv4j:rxcv4j:0.1.0'
目前已经实现的功能:
cv4j.png
下周我们开始做模板匹配的算法。






