本节书摘来自华章出版社《 线性代数及其应用 (原书第4版)》一书中的第2章,第2.4节,作者:(美)戴维C. 雷(David C. Lay)马里兰大学帕克学院 著刘深泉 张万芹 陈玉珍 包乐娥 陆 博 译,更多章节内容可以访问云栖社区“华章计算机”公众号查看
2.4 分块矩阵
我们既可以把矩阵看作一个数的矩形表,也可以把它看作一组列向量,后面这种看法起了很重要的作用,因而,我们想考虑A的其他分块,把它用水平线和竖直线分成几块,如下面例1所示. 分块矩阵也出现在线性代数的现代应用中,因为这些记号简化了许多讨论,并使矩阵计算中许多本质的结构显露出来. 本节也给出复习矩阵代数和可逆矩阵定理的机会.
例1 矩阵
也可写成
分块矩阵
的形状,它的元素是分块(或子矩阵)
例2 当某一矩阵A出现在物理问题的数学模型中时,例如,电子网络、传输系统或大公司等,会很自然地把A看作一个分块矩阵. 例如,若一个微型计算机电路板主要由3块超大规模的集成电路芯片组成,如图2-9所示,
那么这电路板的矩阵可以写成一般形式
A的“对角”线上的子矩阵,即
是有关3块超大规模集成电路本身的矩阵,而其他子矩阵则与这三块芯片之间的相互联系有关.
加法与标量乘法
若矩阵A与B有相同维数且被同样地分块,则自然矩阵的和A + B也被同样地分块. 这时A + B的每一块恰好是A和B对应分块的(矩阵)和. 分块矩阵乘以一个数也可以逐块计算.
分块矩阵的乘法
分块矩阵也可用通常的行列法则进行,就如每一块都是数一样,只要A的列的分法与B的行的分法一致.
例3 设
A的5列被分成3列一组和2列一组. B的5行按同样方法分块——被分成3行一组和2行一组. 我们称A和B的分块是与分块乘法相一致的. AB的乘积可以被写成
重要的是,在AB的表达式中的小乘积,每一项应把来自A的子矩阵写在左边,因矩阵乘法是不可交换的. 例如
因此AB的上面一块是
分块矩阵乘法的行列法则给出了两个矩阵乘积的最一般观点. 下面每一个有关矩阵乘积的观点已经使用简单的矩阵分块的思想讨论过:(1)使用A的列来给出 Ax的定义;(2)AB的列的定义;(3)计算AB的行列法则;(4)A 的行与矩阵B的乘积作为AB的行. 在下面的定理10仍然应用分块的思想给出AB第5种观点.
下面的例子为定理10做准备. 符号
表示A的第k列,
表示B的第k行.
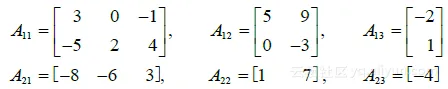
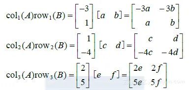
例4 设
和
. 证明
解 上面的每一项都是外积(见2.1节习题27和28),由计算矩阵乘积的行列法则,有
于是 
这个矩阵恰好就是AB. 注意AB的(1, 1)元素是3个外积的(1, 1)元素之和,AB的(1, 2)元素是3个外积的(1, 2)元素之和,等等.
定理10 (AB的列行展开)
若A是
矩阵,B是
矩阵,则
(1)
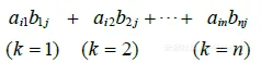
证 对每个行指标i 和列指标 j,乘积
的 (i,j)元素是
中元素
与
中元素
的积,因此在(1)的和中,(i,j) 元素为
而根据行列法则,该和恰好是AB的 (i,j)元素.
分块矩阵的逆
下例说明分块矩阵的逆的求法.
例5 形如
的矩阵称为分块上三角矩阵,设
是
矩阵,
是
矩阵,且A为可逆矩阵. 求
的表达式.
解 用B表示
且把它分块使
(2)
这个矩阵方程包含了4个有关未知子矩阵 的方程,计算(2)式左边的乘积得
(3)
(4)
(5)
(6)
方程(6)本身并不能说明
可逆,因我们还不知道
,但应用可逆矩阵定理,及
是方阵的事实,可以断定
为可逆且
. 现在我们利用(5)式求得
因此(3)式简化为
这说明
是可逆的,且
,最后由(4),
于是
分块对角矩阵是一个分块矩阵,除了主对角线上各分块外,其余全是零分块. 这样的一个矩阵是可逆的当且仅当主对角线上各分块都是可逆的. 见习题13和14.
数值计算的注解
- 当矩阵太大时,不适于存储在高速计算机内存中,分块矩阵允许计算机一次处理两到三块子矩阵,例如,最近关于线性规划的工作中,一个研究团队把矩阵分为837行和51列以简化问题. 这个问题的解在Cray超计算机上大约需要4分钟 .1
- 某些高速计算机,特别是具有向量传输技术的计算机,当把矩阵分块后再进行矩阵运算更有效 .1
- 高性能数值计算的线性代数专业软件LAPACK,广泛使用分块矩阵进行计算.
下面的习题给出了运用矩阵代数的实践,表明了应用中的典型计算.
练习题
- 证明
可逆且求出它的逆. - 计算
,其中X 分块为
.
习题2.4





