文章目录
1. 题目
2. 解题
1. 题目
链表中的 临界点 定义为一个 局部极大值点 或 局部极小值点 。
如果当前节点的值 严格大于 前一个节点和后一个节点,那么这个节点就是一个 局部极大值点 。
如果当前节点的值 严格小于 前一个节点和后一个节点,那么这个节点就是一个 局部极小值点 。
注意:节点只有在同时存在前一个节点和后一个节点的情况下,才能成为一个 局部极大值点 / 极小值点 。
给你一个链表 head ,返回一个长度为 2 的数组 [minDistance, maxDistance] ,其中 minDistance 是任意两个不同临界点之间的最小距离,maxDistance 是任意两个不同临界点之间的最大距离。
如果临界点少于两个,则返回 [-1,-1] 。
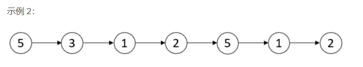
输入:head = [5,3,1,2,5,1,2] 输出:[1,3] 解释:存在三个临界点: - [5,3,1,2,5,1,2]:第三个节点是一个局部极小值点,因为 1 比 3 和 2 小。 - [5,3,1,2,5,1,2]:第五个节点是一个局部极大值点,因为 5 比 2 和 1 大。 - [5,3,1,2,5,1,2]:第六个节点是一个局部极小值点,因为 1 比 5 和 2 小。 第五个节点和第六个节点之间距离最小。minDistance = 6 - 5 = 1 。 第三个节点和第六个节点之间距离最大。maxDistance = 6 - 3 = 3 。
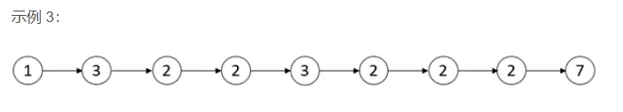
输入:head = [1,3,2,2,3,2,2,2,7] 输出:[3,3] 解释:存在两个临界点: - [1,3,2,2,3,2,2,2,7]:第二个节点是一个局部极大值点,因为 3 比 1 和 2 大。 - [1,3,2,2,3,2,2,2,7]:第五个节点是一个局部极大值点,因为 3 比 2 和 2 大。 最小和最大距离都存在于第二个节点和第五个节点之间。 因此,minDistance 和 maxDistance 是 5 - 2 = 3 。 注意,最后一个节点不算一个局部极大值点,因为它之后就没有节点了。
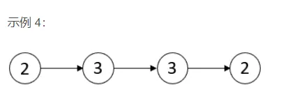
输入:head = [2,3,3,2] 输出:[-1,-1] 解释:链表 [2,3,3,2] 中不存在临界点。 提示: 链表中节点的数量在范围 [2, 10^5] 内 1 <= Node.val <= 10^5
2. 解题
- 链表遍历
/** * Definition for singly-linked list. * struct ListNode { * int val; * ListNode *next; * ListNode() : val(0), next(nullptr) {} * ListNode(int x) : val(x), next(nullptr) {} * ListNode(int x, ListNode *next) : val(x), next(next) {} * }; */ class Solution { public: vector<int> nodesBetweenCriticalPoints(ListNode* head) { ListNode *prev = NULL, *cur = head, *next = head->next; int first = -1, ct = 0, prevpos = -1, curpos = -1, mindis = INT_MAX; while(cur) { ct++; next = cur->next; if(prev && cur->next && ((prev->val > cur->val && next->val > cur->val) || (prev->val < cur->val && next->val < cur->val))) { curpos = ct; if(first == -1) first = ct; if(prevpos != -1) mindis = min(mindis, curpos-prevpos); prevpos = curpos; } prev = cur; cur = cur->next; } if(mindis == INT_MAX) return {-1, -1}; return {mindis, curpos-first}; } };
180 ms 110.6 MB C++



