文章目录
1. 题目
2. 解题
1. 题目
一个房间里有 n 个座位和 n 名学生,房间用一个数轴表示。
给你一个长度为 n 的数组 seats ,其中 seats[i] 是第 i 个座位的位置。
同时给你一个长度为 n 的数组 students ,其中 students[j] 是第 j 位学生的位置。
你可以执行以下操作任意次:
增加或者减少第 i 位学生的位置,每次变化量为 1 (也就是将第 i 位学生从位置 x 移动到 x + 1 或者 x - 1)
请你返回使所有学生都有座位坐的 最少移动次数 ,并确保没有两位学生的座位相同。
请注意,初始时有可能有多个座位或者多位学生在 同一 位置。
示例 1: 输入:seats = [3,1,5], students = [2,7,4] 输出:4 解释:学生移动方式如下: - 第一位学生从位置 2 移动到位置 1 ,移动 1 次。 - 第二位学生从位置 7 移动到位置 5 ,移动 2 次。 - 第三位学生从位置 4 移动到位置 3 ,移动 1 次。 总共 1 + 2 + 1 = 4 次移动。 示例 2: 输入:seats = [4,1,5,9], students = [1,3,2,6] 输出:7 解释:学生移动方式如下: - 第一位学生不移动。 - 第二位学生从位置 3 移动到位置 4 ,移动 1 次。 - 第三位学生从位置 2 移动到位置 5 ,移动 3 次。 - 第四位学生从位置 6 移动到位置 9 ,移动 3 次。 总共 0 + 1 + 3 + 3 = 7 次移动。 示例 3: 输入:seats = [2,2,6,6], students = [1,3,2,6] 输出:4 解释:学生移动方式如下: - 第一位学生从位置 1 移动到位置 2 ,移动 1 次。 - 第二位学生从位置 3 移动到位置 6 ,移动 3 次。 - 第三位学生不移动。 - 第四位学生不移动。 总共 1 + 3 + 0 + 0 = 4 次移动。 提示: n == seats.length == students.length 1 <= n <= 100 1 <= seats[i], students[j] <= 100
2. 解题
排序,一一对应是最小的
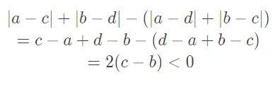
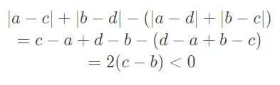
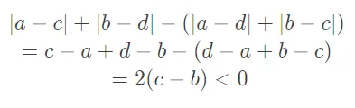
证明:以 n = 2 为例
假如 a < b, c < d
两种选择方法,|a-c|+|b-d| , |a-d|+|b-c|
情况很多,选择一种进行进行证明,假设 a < c < b < d
所以第一种情况步数最小,其它情况同理可证
class Solution: def minMovesToSeat(self, seats: List[int], students: List[int]) -> int: ans = 0 for (p1, p2) in zip(sorted(seats), sorted(students)): ans += abs(p1-p2) return ans
36 ms 15.1 MB Python3


