6. HttpServletResponse
web服务器收到的客户端的http请求,针对这个请求,分别创建一个代表请求的HttpServletRequest对象,代表响应的一个HttpServletResponse
- 如果要获取客户端请求过来的参数:找HttpServletRequest
- 如果要给客户端响应一些信息:HttpServletResponse
6.1 简单分类
- 负责向浏览器发送数据的方法
ServletOutputStream getOutputStream() throws IOException; PrintWriter getWriter() throws IOException;
- 负责向浏览器发送响应头的方法
void setCharacterEncoding(String var1); void setContentLength(int var1); void setContentLengthLong(long var1); void setContentType(String var1); void setDateHeader(String var1, long var2); void addDateHeader(String var1, long var2); void setHeader(String var1, String var2); void addHeader(String var1, String var2); void setIntHeader(String var1, int var2); void addIntHeader(String var1, int var2);
- 响应的状态码
int SC_CONTINUE = 100; int SC_SWITCHING_PROTOCOLS = 101; int SC_OK = 200; int SC_CREATED = 201; int SC_ACCEPTED = 202; int SC_NON_AUTHORITATIVE_INFORMATION = 203; int SC_NO_CONTENT = 204; int SC_RESET_CONTENT = 205; int SC_PARTIAL_CONTENT = 206; int SC_MULTIPLE_CHOICES = 300; int SC_MOVED_PERMANENTLY = 301; int SC_MOVED_TEMPORARILY = 302; int SC_FOUND = 302; int SC_SEE_OTHER = 303; int SC_NOT_MODIFIED = 304; int SC_USE_PROXY = 305; int SC_TEMPORARY_REDIRECT = 307; int SC_BAD_REQUEST = 400; int SC_UNAUTHORIZED = 401; int SC_PAYMENT_REQUIRED = 402; int SC_FORBIDDEN = 403; int SC_NOT_FOUND = 404; int SC_METHOD_NOT_ALLOWED = 405; int SC_NOT_ACCEPTABLE = 406; int SC_PROXY_AUTHENTICATION_REQUIRED = 407; int SC_REQUEST_TIMEOUT = 408; int SC_CONFLICT = 409; int SC_GONE = 410; int SC_LENGTH_REQUIRED = 411; int SC_PRECONDITION_FAILED = 412; int SC_REQUEST_ENTITY_TOO_LARGE = 413; int SC_REQUEST_URI_TOO_LONG = 414; int SC_UNSUPPORTED_MEDIA_TYPE = 415; int SC_REQUESTED_RANGE_NOT_SATISFIABLE = 416; int SC_EXPECTATION_FAILED = 417; int SC_INTERNAL_SERVER_ERROR = 500; int SC_NOT_IMPLEMENTED = 501; int SC_BAD_GATEWAY = 502; int SC_SERVICE_UNAVAILABLE = 503; int SC_GATEWAY_TIMEOUT = 504; int SC_HTTP_VERSION_NOT_SUPPORTED = 505;
6.2 下载文件
1. 向浏览器输出消息
2. 下载文件
- 要获取下载文件的路径
- 下载的文件名是?
- 设置让浏览器能够支持下我们需要的东西
- 获取下载文件的输入流
- 创建缓冲区
- 获取OutPutStream对象
- 将FileOutputStream流写入到buffer缓冲区
- 使用OutputStream将缓冲区的数据输出到客户端
package com.hxl.servlet; import javax.servlet.ServletException; import javax.servlet.ServletOutputStream; import javax.servlet.http.HttpServlet; import javax.servlet.http.HttpServletRequest; import javax.servlet.http.HttpServletResponse; import java.io.FileInputStream; import java.io.IOException; import java.net.URLEncoder; public class FileServlet extends HttpServlet { @Override protected void doGet(HttpServletRequest req, HttpServletResponse resp) throws ServletException, IOException { //1. 要获取下载文件的路径 //String realPath = this.getServletContext().getRealPath("/1.jpg"); String realPath = "D:\\aAAAA\\javaweb\\javaweb-02-servlet\\response\\src\\main\\resources\\1.jpg"; System.out.println("下载文件的路径:"+realPath); //2. 下载的文件名是? String fileName = realPath.substring(realPath.lastIndexOf("\\") + 1); //3. 设置让浏览器能够支持(Content-disposition)下我们需要的东西 resp.setHeader("Content-disposition","attachment;filename="+fileName); //resp.setHeader("Content-disposition","attachment;filename="+ URLEncoder.encode(fileName,"UTF-8")); //4. 获取下载文件的输入流 FileInputStream in = new FileInputStream(realPath); //5. 创建缓冲区 int len = 0; byte[] buffer = new byte[1024]; //6. 获取OutPutStream对象 ServletOutputStream out = resp.getOutputStream(); //7. 将FileOutputStream流写入到buffer缓冲区.使用OutputStream将缓冲区的数据输出到客户端 while((len = in.read(buffer)) > 0){ out.write(buffer, 0, len); } out.close(); in.close(); } @Override protected void doPost(HttpServletRequest req, HttpServletResponse resp) throws ServletException, IOException { doGet(req, resp); } }
在XML中设置映射
3.出现的问题
- 首先可能会报404。这个时候去查看下Tomcat。很有可能你的war包还是上一个项目的
- 也有可能出现500(java.io.FileNotFoundException: D:\apache-tomcat-9.0.31\webapps\ROOT\1.jpg (系统找不到指定的文件。))
- 出现这个问题的原因是,代码去找的是->下载文件的路径:D:\apache-tomcat-9.0.31\webapps\ROOT\1.jpg这个路径
- 但是我们存照片的路径是D:\aAAAA\javaweb\javaweb-02-servlet\response\src\main\resources\1.jpg。这个时候我们就可以把他写死。
c.如果照片命名是中文就会出现乱码的问题
这个解决是需要进行一个转码的。将第三步换成下面的代码
//3. 设置让浏览器能够支持(Content-disposition)下我们需要的东西 resp.setHeader("Content-disposition","attachment;filename="+ URLEncoder.encode(fileName,"UTF-8"));
4.测试结果
6.3 验证码功能
验证码怎么来的?
- 前端实现
- 后端实现,需要用到Java的图片类,生成一个图片
package com.hxl.servlet; import javax.imageio.ImageIO; import javax.servlet.ServletException; import javax.servlet.http.HttpServlet; import javax.servlet.http.HttpServletRequest; import javax.servlet.http.HttpServletResponse; import java.awt.*; import java.awt.image.BufferedImage; import java.io.IOException; import java.util.Random; public class ImageServlet extends HttpServlet { @Override protected void doGet(HttpServletRequest req, HttpServletResponse resp) throws ServletException, IOException { //如何让浏览器5秒自动刷新一次 resp.setHeader("refresh","3"); //在内存中创建一个图片 BufferedImage bufferedImage = new BufferedImage(80,20, BufferedImage.TYPE_INT_BGR); //得到图片 Graphics2D graphics = (Graphics2D) bufferedImage.getGraphics();//这个就可以看成一支笔 //设置图片的背景颜色 graphics.setColor(Color.white); graphics.fillRect(0,0,80,80); //给图片写数据 graphics.setColor(Color.blue); graphics.setFont(new Font(null,Font.BOLD,20)); graphics.drawString(makeNum(),0, 20); //告诉浏览器,这个请求用图片的方式打开 resp.setContentType("image/jpg"); //网站存在缓存,我们需要让浏览器不让它进行缓存 resp.setDateHeader("expires",-1); resp.setHeader("Cache-Control","no-cache"); resp.setHeader("Program","no-cache"); //把图片写给浏览器 ImageIO.write(bufferedImage,"jpg", resp.getOutputStream()); } //生成随机数 private String makeNum(){ Random random = new Random(); //下面的9999有几位代表几位数,然后我们返回的是String类型所以要换成String。 String num = random.nextInt(9999) + ""; StringBuffer sb = new StringBuffer(); for (int i = 0; i < 4 - num.length(); i++) { sb.append("0"); } num = sb.toString() + num; return num; } @Override protected void doPost(HttpServletRequest req, HttpServletResponse resp) throws ServletException, IOException { doGet(req, resp); } }
在XML中设置映射
然后就可以启动服务器查看效果,发现是一个图片然后会每5秒刷新一次
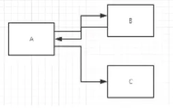
6.4 实现重定向(最重要)
一个Web资源收到客户端A请求后,B会通知客户端A去访问另外一个web资源C,这个过程叫重定向。
常见场景:
- 用户登录
void sendRedirect(String var1) throws IOException;
- 测试
package com.hxl.servlet; import javax.servlet.ServletException; import javax.servlet.http.HttpServlet; import javax.servlet.http.HttpServletRequest; import javax.servlet.http.HttpServletResponse; import java.io.IOException; public class RedirectServlet extends HttpServlet { @Override protected void doGet(HttpServletRequest req, HttpServletResponse resp) throws ServletException, IOException { resp.sendRedirect("/image");//实现了重定向 } @Override protected void doPost(HttpServletRequest req, HttpServletResponse resp) throws ServletException, IOException { doGet(req, resp); } }
/*重定向的原理 resp.setHeader("Location", "/image"); resp.setStatus(302); */
web.xml中配置是red的请求路径,在浏览器输入red之后,他会跳转到image页面中。从而实现了转发
- 面试题:请你聊聊重定向和转发的区别
- 相同点
- 页面都会实现跳转
- 不同点
- 请求转发的时候URL不会产生变化
- 如果是重定向的时候,url地址栏会发生变化
7. HttpServletRequest
7.1 简单的测试
- RequestTest
package com.hxl.servlet; import javax.servlet.ServletException; import javax.servlet.http.HttpServlet; import javax.servlet.http.HttpServletRequest; import javax.servlet.http.HttpServletResponse; import java.io.IOException; public class RequestTest extends HttpServlet { @Override protected void doGet(HttpServletRequest req, HttpServletResponse resp) throws ServletException, IOException { System.out.println("进入这个请求了"); } @Override protected void doPost(HttpServletRequest req, HttpServletResponse resp) throws ServletException, IOException { doGet(req, resp); } }
- web.xml
<servlet> <servlet-name>request</servlet-name> <servlet-class>com.hxl.servlet.RequestTest</servlet-class> </servlet> <servlet-mapping> <servlet-name>request</servlet-name> <url-pattern>/login</url-pattern> </servlet-mapping>
- index.jsp
<html> <body> <h2>Hello World!</h2> <%--这里的提交的路径需要寻找到项目的路径--%> <%--${pageContext.request.contextPath}代表当前的项目--%> <form action="${pageContext.request.contextPath}/login" method="get"> 用户名:<input type="text" name="username"><br> 密码:<input type="password", name="password"><br> <input type="submit"> </form> </body> </html>
- 测试结果
这个地方乱码是由于浏览器的编码问题。修改编码为UTF-8就可以
get请求会把输入的内容写到浏览器的地址栏上面
- 如果浏览器上的路径是
http://localhost:8080/$%7BpageContext.request.contextPath%7D/login?username=admin&password=w
这个问题是webapp web.xml的头部配置不是最新的
7.2 跳转成功
我们先创建一个成功的页面比如success.jsp里面写入跳转成功的内容
- RequestTest
package com.hxl.servlet; import javax.servlet.ServletException; import javax.servlet.http.HttpServlet; import javax.servlet.http.HttpServletRequest; import javax.servlet.http.HttpServletResponse; import java.io.IOException; public class RequestTest extends HttpServlet { @Override protected void doGet(HttpServletRequest req, HttpServletResponse resp) throws ServletException, IOException { //处理请求 String username = req.getParameter("username"); String password = req.getParameter("password"); System.out.println(username + ":" + password); //重定向的时候一定要注意,路径问题,否则404 resp.sendRedirect("/success.jsp"); } @Override protected void doPost(HttpServletRequest req, HttpServletResponse resp) throws ServletException, IOException { doGet(req, resp); } }
- 测试结果
在login页面输入后会成功条状到success页面,并显示内容
- 注意路径问题
如果Application context这里的路径设置了默认的访问路径比如/r。那在重定向的时候也要写全比如
resp.sendRedirect("/r/success.jsp");
7.3 Request应用
HttpServletRequest代表客户端的请求,用户通过Http协议访问服务器,HTTP请求中的所有信息会被封装到HttpServletRequest,通过这个HttpServletRequest的方法,获得客户端的所有信息。
7.3.1 获取前端传递的参数,请求转发
//获取参数的四个方法 req.getParameter(String s);//获取指定前端传过来的字符串,并返回一个字符串,得到前端返回类型String req.getParameterMap();//返回一个枚举,几乎不用 req.getParameterNames();// 几乎不用 req.getParameterValues(String s);//返回一个String[]
package com.hxl.servlet; import javax.servlet.ServletException; import javax.servlet.http.HttpServlet; import javax.servlet.http.HttpServletRequest; import javax.servlet.http.HttpServletResponse; import java.io.IOException; import java.util.Arrays; public class LoginServlet extends HttpServlet { @Override protected void doGet(HttpServletRequest req, HttpServletResponse resp) throws ServletException, IOException { doPost(req, resp); } @Override protected void doPost(HttpServletRequest req, HttpServletResponse resp) throws ServletException, IOException { //后台接收乱码问题 req.setCharacterEncoding("UTF-8"); //页面乱码问题 resp.setCharacterEncoding("UTF-8"); String username = req.getParameter("username"); String password = req.getParameter("password"); String[] hobbies = req.getParameterValues("hobbies"); System.out.println(username); System.out.println(password); System.out.println(Arrays.toString(hobbies)); //通过请求转发 //转发这里的/代表当前的web应用。也就是说即使你在配置tomcat默认路径写了/r在这里也不用写全。但是重定向的时候需要写全 req.getRequestDispatcher("/success.jsp").forward(req, resp); } }
<%@ page contentType="text/html;charset=UTF-8" language="java" %> <html> <head> <title>登录</title> <h1>登录</h1> <div> <%-- 表单表示的意思:以post方式提交表单,提交到我们的login请求--%> <form action="${pageContext.request.contextPath}/login" method="post"> 用户名:<input type="username" name="username"><br> 密码:<input type="password" name="password"> <br> 爱好: <input type="checkbox" name="hobbies" value="女孩">女孩 <input type="checkbox" name="hobbies" value="代码">代码 <br> <input type="submit"> </form> </div> </head> <body> </body> </html>
- 出现的问题
//后台接收乱码问题 req.setCharacterEncoding("UTF-8"); //页面乱码问题 resp.setCharacterEncoding("UTF-8");
转发不需要写全,重定向需要写全
//通过请求转发 //转发这里的/代表当前的web应用。也就是说即使你在配置tomcat默认路径写了/r在这里也不用写全。但是重定向的时候需要写全 req.getRequestDispatcher("/success.jsp").forward(req, resp);
这里我们用了post请求,在浏览器路径上是不会显示我们填写的内容的。
- 测试结果
7.3.2 请求转发和重定向的区别
面试题:请你聊聊重定向和转发的区别
- 相同点
- 页面都会实现跳转
- 不同点
- 请求转发的时候URL不会产生变化,路径不需要写全/success。转发的编码是307
- 如果是重定向的时候,url地址栏会发生变化,路径需要写全/r/success。 重定向的编码是302










