线性代数的本质
文章目录
视频:https://www.bilibili.com/video/BV1ys411472E
1、向量究竟是什么
物理解释:向量是空间中的箭头(长度、方向)
计算机解释:向量是有序的数字列表
点point (2, 3)
线性代数围绕两种基本的运算:
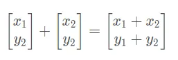
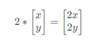
向量加法与向量数乘
加法:位移结果
数轴Number line 加法
向量加法
缩放:标量scalar * 向量
2、线性组合、张成的空间、基
单位向量(基向量)
缩放向量并且相加
当使用数字描述向量时,都依赖于我们正在使用的基
线性组合:两个数乘向量的和被称为这两个向量的线性组合
全部线性组合构成的向量合称为“张成的空间”
单个向量看做箭头,多个向量看做点
线性相关 Linearly dependent:多个向量,移除其中一个不减小张成的空间
线性无关 Linearly independent:如果所有的向量都给张成的空间增加了新的维度
严格定义:
向量空间的一组基是张成该空间的一个线性无关向量集
3、矩阵与线性变换
变换 <=> 函数
矩阵看做是空间的变换
线性的条件:
- 直线在变换后仍然保持为直线,不能有所弯曲
- 原点必须保持固定
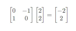
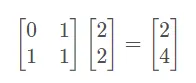
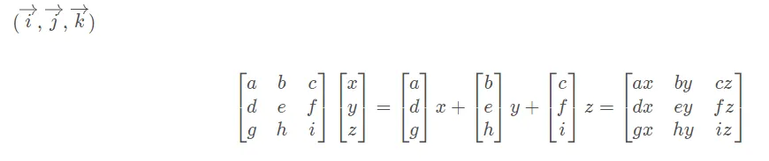
两个点 (a, c)、(b, d),矩阵的乘法
2、剪切基向量对角线剪开
i=(1, 0), j=(0, 1) => (0, 1), (1, 1)
A (2, 2) => (2, 4)
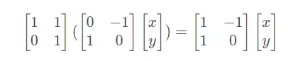
4、矩阵乘法与线性变换复合
复合变换
旋转矩阵 + 剪切矩阵 => 复合矩阵
矩阵乘法
5、三维空间中的线性变换
三维空间中坐标x,y,z 对应基向量
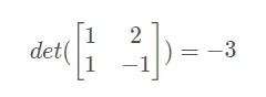
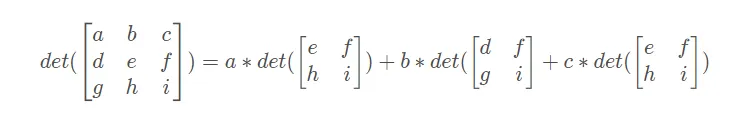
6、行列式
缩放比例,线性变换改变面积的比例被称为这个变换的行列式
行列式为正
行列式为0 变换减少了空间的维度
行列式为负 变换改变了空间的定向
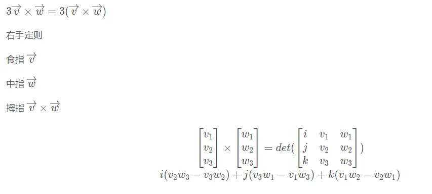
右手定则
右手食指指向i-hat方向
右手中指指向j-hat方向
大拇指竖起来,指向k-hat方向
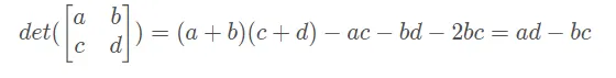
计算行列式
三阶行列式 (体积)
性质
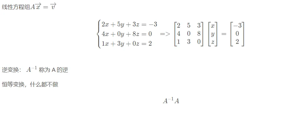
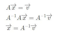
7、逆矩阵、列空间与零空间
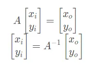
逆矩阵Inverse matrices 存在时,可以用来求解方程组
秩 Rank :变换后空间的维数
列空间 Column space:所有可能的变换结果集合
变换后基向量张成的空间,就是所有可能的结果
换句话说,列空间就是矩阵的列所张成的空间
秩是列空间的维数
满秩Full rank:秩与列数相等
列空间与方程组解的个数有关
矩阵的零空间 null space 变换后落在原点的向量的集合
8、非方阵
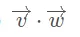
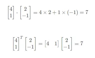
9、点积和对偶性
两个向量点积(数量积/投影)
10、叉积
平行边行的面积
11、基变换
##12、特征向量与特征值
能够被A拉伸且保持方向不变的向量就是A的特征向量,拉伸的倍数就是特征值
特征值:每个特征向量都有一个所属的值,衡量特征向量在变换中拉伸或压缩比例的因子
对角矩阵
一组基向量(同样是特征向量)构成的集合被称为一组“特征基”
示例:求矩阵特征值,特征向量
13、抽象向量空间
线性代数 |
函数 |
线性变换 |
线性算子 |
点积 |
内积 |
特征向量 |
特征函数 |
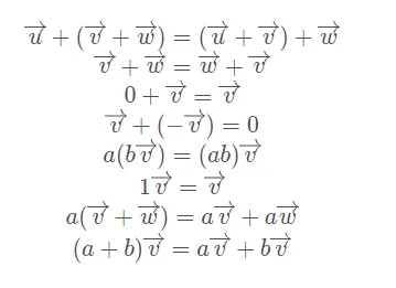
向量加法和数乘
克莱姆法则





































