净现值NPV
Net Present Value 资金的时间价值
1、基本原理
净现值(NPV)= 未来现金净流量现值 一 原始投资额现值
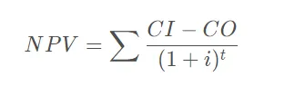
2、计算公式
CI 现金流入
CO 现金流出
i 折现率
t 年数
公式来源
3、应用举例:
假设两个项目A和B,都是投资10万元,贴现率10%,预期收入和净现值如下。(假设项目周期都只有5年,单位:万)
例题来源:
静态回收期
不考虑资金的时间价值时收回初始投资所需要的时间
应满足下式:
式中:
CI—现金流入,
CO—现金流出;
—第t年的净收益,t=1,2,···Pt;Pt—静态投资回收期
计算公式
动态回收期
按现值计算的投资回收期。考虑时间因素对货币价值的影响
计算公式
动态投资回收期(年)=(累计净现金流量现值开始出现正值的年分数−1)+上一年累计净现金流量现值的绝对值/当年净现金流量现值
示例参考:
投资收益率
ROI return on investment
净收益与项目总投资之比
公式
内部收益率
IRR internal rate of return
项目计算期内,各年净现金流量现值累计等于0时的折现率
公式
参考





