- |
相关(Relevant),正类 |
无关(NonRelevant),负类 |
被检索到(Retrieved) |
true positives(TP 正类判定为正类) |
false positives(FP 负类判定为正类) |
未被检索到(Not Retrieved) |
false negatives(FN 正类判定为负类) |
true negatives(TN 负类判定为负类) |
准确率(Accuracy)
对于给定的测试数据集,分类器正确分类的样本数与总样本数之比
精确率(precision)
计算的是所有"正确被检索的item(TP)"占所有"实际被检索到的(TP+FP)"的比例
预测为正的样本中有多少是真正的正样本,它是针对我们预测结果而言的
Precision又称为查准率
召回率(recall)
计算的是所有"正确被检索的item(TP)"占所有"应该检索到的item(TP+FN)"的比例
样本中的正例有多少被预测正确了, 它是针对我们原来的样本而言的
Recall又称为查全率
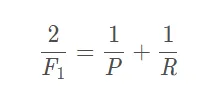
F1-measure值
就是精确值和召回率的调和均值
调整下也就是
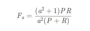
将F-measure一般化
当 a = 1 a = 1a=1 时, F 1 = F a
F1-measure认为精确率和召回率的权重是一样的,但有些场景下,我们可能认为精确率会更加重要,调整参数a,使用Fa-measure可以帮助我们更好的evaluate结果.
总结
准确率就是找得对,召回率就是找得全
参考:






