程序员数学(20)–数据的分析(平均数、中位数、众数、方差、平均差)

简介: 本文目录1. 平均数2. 加权平均数3. 中位数4. 众数5. 方差6. 平均差

1. 平均数

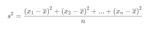
平均数的概念很简单,不再详述,直接给出其公式:

对于n个数字x1、x2…xn,其平均数公式为:

image.png

2. 加权平均数

什么是权,就是重要性,在数学中就是一个表示其所占比重的数值。假设xn的权为wn,则平均数公式为:

image.png

加权平均数平时其实用的很多,例如同时参加语文、数学、英语考试,这三门的权重比为2:2:1,三门考试成绩为100,90,80,则加权平均分为:

image.png

3. 中位数

平均数容易受个别极大、极小数字的影响,从而不能全面描述整体情况。而中位数有时候能较好的表达一组数据的中间水平。


如果数据个数为奇数,处于中间的数为中位数。


如果数据个数为偶数,则中间两个数的平均数为中位数。


4. 众数

一组数据中出现最多次的数为众数。


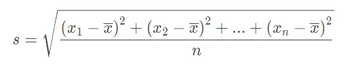
5. 方差

可以使用方差来描述数据波动的程序,方差越大,数据波动越大,反之方差越小,波动越小。方差方式如下:

image.png

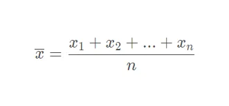
6. 平均差

由于方差与原始数据的单位不同,所以平时常用标准差来刻画数据的波动,标准差公式为:

image.png


相关文章
|
5月前
|
人工智能 测试技术 API
Apifox对比Apipost:2025年推荐的API协作工具
Apifox与Apipost这两大国产API平台的全方位较量,助你在2025年做出最明智的选择。
|
测试技术 计算机视觉
斯坦福新研究提升大模型长视频理解能力
【2月更文挑战第29天】斯坦福大学研究团队开发的VideoAgent系统在长视频理解上取得突破,提升了大型语言模型处理视频内容的能力。该系统通过模拟人类认知过程,以高效(平均8.4帧)实现高准确率(54.1%和71.3%的零样本准确率),在EgoSchema和NExT-QA基准测试中超越现有最佳方法。VideoAgent借鉴人类观看视频的方式,迭代选择关键帧进行信息提取和推理,为长视频理解设定新标准。论文链接:[arxiv.org/pdf/2403.10517.pdf](https://arxiv.org/pdf/2403.10517.pdf)
424 1
斯坦福新研究提升大模型长视频理解能力
|
12月前
|
网络协议 网络性能优化 API
TCP或RDMA
【10月更文挑战第1天】TCP或RDMA
497 2
|
NoSQL MongoDB 数据库
【MongoDB 专栏】MongoDB 的并发控制与锁机制
【5月更文挑战第11天】MongoDB的并发控制和锁机制保证数据一致性和性能。全局锁用于特殊情况如数据库初始化,限制并发性能;文档级锁提供更高的并发性,针对单个文档锁定。乐观并发控制利用版本号检查减少锁竞争。在分布式环境下,需协调多节点锁,优化包括合理设计数据模型、调整锁配置和利用分布式事务。未来,MongoDB将持续改进这些机制以应对复杂需求。了解并发控制原理对于数据库开发者至关重要。
570 2
【MongoDB 专栏】MongoDB 的并发控制与锁机制
|
机器学习/深度学习 自然语言处理 PyTorch
pytorch实战---IMDB情感分析
pytorch实战---IMDB情感分析
pytorch实战---IMDB情感分析
Node历史版本下载及配置npm镜像
Node历史版本下载及配置npm镜像
1065 1
|
存储 算法 数据可视化
云上大数据分析平台:解锁数据价值,驱动智能决策新篇章
实时性与流式处理:随着实时数据分析需求的增加,云上大数据分析平台将更加注重实时性和流式处理能力的建设。通过优化计算引擎和存储架构等技术手段,平台将能够实现对数据流的高效处理和分析,为企业提供实时决策支持。通过优化计算引擎和存储架构等技术手段,平台将能够实现对数据流的高效处理和分析,为企业提供实时决策支持。
1363 8
|
SQL 开发框架 安全
【干货】如何判断 Sql 注入点
【干货】如何判断 Sql 注入点
|
监控 Linux 数据处理
探索Linux命令needs-restarting:了解哪些服务需要重启
`needs-restarting`是Linux中用于检测因文件更新需重启的服务的工具。它对比服务状态与文件修改时间,快速识别需重启的服务,提供详细输出和可配置选项。命令参数如`--all`检查所有服务,`--service`针对特定服务,`--verbose`显示详细信息。使用时注意权限,谨慎重启,定期检查,并与其他系统管理工具结合使用。修改配置后,应运行此命令确保更新生效。
|
XML Go Android开发
Overlay机制
Overlay机制
568 0