Integration by parts积分数学公式推导及图形解释
(一)Integration by parts数学公式推导
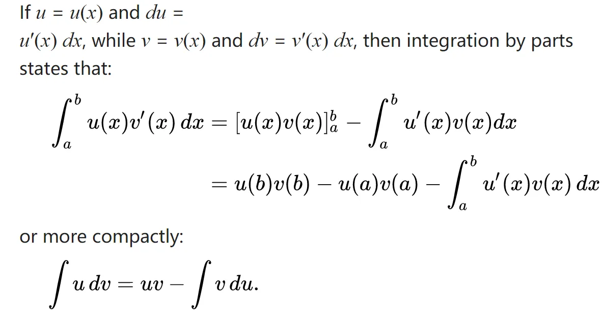
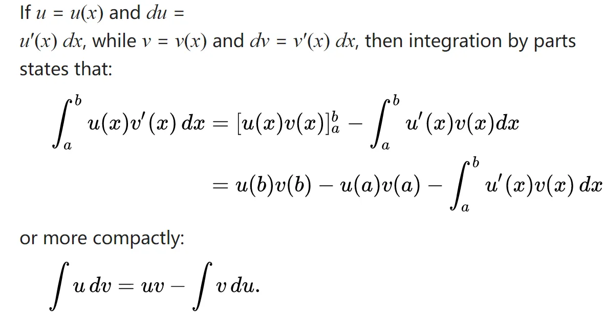
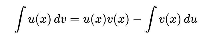
首先看Integration by parts的数学定义:

下面开始推导上述公式。
微分数学中的已知公式:
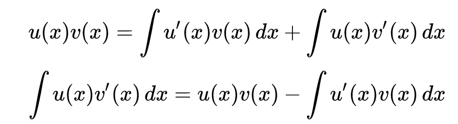
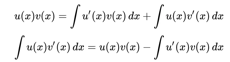
对(等式1)两边同时进行积分运算(以x坐标轴)得到:

(等式2)
进一步化简和整理(等式2)可得:

(等式3)
又因为:

(等式4)
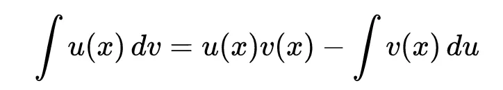
把(等式4)代入(等式3)中,可得最终公式:

(二)对Integration by parts积分图像函数解释

微分数学中的已知公式: