受到爱因斯坦论文的启发,薛定谔进一步研究了EPR思想实验中的微观粒子之间所存在的独特关联,并最早用“”纠缠“一词来描述这种不同于经典关联的新的量子关联。他在1935年发表于《剑桥哲学学会会刊》的文章中说:"两个系统...由于它们已知的力开始暂时的相互作用,在一段时间的相互影响后再次分开,这时它们不再能像以前那样被描述,即赋予每个系统一个自己的表象。我不愿说这是量子力学的一个独特性质,而宁愿说这正是量子力学的独特性质,这种性质加强 了它与经典思考方式的背离。通过相互作用,这两个表象,或者说量子态,已经被纠缠起来。”这是“纠缠”一词第一次出现在物理学文献中。今天,量子纠缠已成为物理学中的一个流行词汇,并引发了一门新的交叉学科 -- 量子信息学的诞生。
关于“纠缠”一词,薛定谔在文章中用的是英语“Entanglement”,而很可能他最先想到的是德语“Verschrankung”(薛定谔是奥地利人,他的母语是德语)尽管这两个词都包含不可分离的意思,但它们还是有微妙的区别。前者主要用来描述丝和线的缠结,隐含混乱的意思;而后者则强调有序的折叠和交叉。所以我们谈论纠缠,就得分开两个或者更多个物体之间的关联。
两个相互纠缠的微观粒子存在这种非局域关联,对其中之一施加作用,另一个粒子瞬时“感应”到这种影响,并发生相应的状态变化,无论它们相距多远。按照我们的约定,在这门通识课里,我们采用硬币量子力学的版本(见前文),我们下面以两个量子比特(qubit)为例。
对于一个量子比特A,有两个自由度,无论从哪个方向去测量,自旋都会呈现出朝上或者朝下,它的本征态用狄拉克符号表示可以是|0>或|1>,

所以一个量子比特的量子态可以表示为这两个本征态的线性叠加:
|A> = α|0> + β|1> ; (α, β为复数)
体现为当我们对A做投影测量, 结果得到|0>和|1>的几率分别是|α|^2和|β|^2, 且|α|^2+|β|^2=1。α, β为复数,一共用4个实数表示,但是由于归一化和总体相位不重要,那么4减去2,也就是2个独立实数就可以表示一个量子比特的量子态。
对于由两个相互之间没有关联的量子比特A和B组成的系统, 量子态可以表示为A和B各自量子态的张量积:
|2qubits> = |A> ⊗|B>
=(α_A)(α_B)|00> + (α_A)(β_B)|01> + (β_A)(α_B)|10> + (β_A)(β_B)|11>
也就是说, 两个独立量子比特的状态可以用这组基底来线性表示:|00>, |01>, |10>, |11>. 换个说法系统是两个比特同时出现|0>,只有A或只有B出现|0>及两个比特同时出现|1>的几率线性叠加。我们先来考虑一下这个直积态的独立系数的个数。不难得到应该4个独立实数就可以表示两量子比特直乘态的状态。
但是我们考虑一个一般的双量子比特的状态为:
|Ψ>= (α_00) |00> + (α_01)|01> + (α_10)|10> + (α_11)|11>。
同样,我们4个复数构成了4个基底的任意线性组合,含有8个实数,考虑到归一化和总体相位不重要,减去2个实数,那么就是一般双量子比特量子态的表示需要6个实数。上面,我们提到,A和B要构成直积态,只需要4个实数,换句话说,不是所有的两比特量子态都是直积态。
那么我们把那些不能写成直积态形式的量子态叫做纠缠态。

例如这么一组基底:
|Φ+> = (|00> + |11>) / sqrt(2);
|Φ-> = (|00> - |11>) / sqrt(2);
|Ψ+> = (|01> + |10>) / sqrt(2);
|Ψ-> = (|01> - |10>) / sqrt(2);
任何一组二粒子状态都可以表示为这四组新的基态的线性叠加。这组基底是两个比特处在最大纠缠的状况下,两个比特的测量结果“一定相同”或者“一定不同”, 表现为这四种基态的一种, 它们也被称之为贝尔态。它得名于爱尔兰物理学家,著名的贝尔不等式的提出者约翰·斯图尔特·贝尔。
我这里可以这么说,随着量子比特数目n的增加,任意态需要2^n-2个实数表示,而直积态只需要2n个实数,可以写成直积态的比重会越来越少。那么如果你认为宇宙就是一个多量子比特的波函数,那么可以这么说宇宙就是纠缠的一锅粥。大概这也是时间单向的可能原因之一,详情见后文。
所以,我们开始给纠缠一个正式的定义。量子纠缠(quantum entanglement),是一种量子力学现象,其定义上描述复合系统(具有两个以上的成员系统)之一类特殊的量子态,此量子态无法分解为成员系统各自量子态之张量积(tensor product)。量子纠缠是粒子在由两个或两个以上粒子组成系统中相互影响的现象,虽然粒子在空间上可能分开。在量子力学里,两个粒子在经过短暂时间彼此耦合之后,单独搅扰其中任意一个粒子,会不可避免地影响到另外一个粒子的性质,尽管两个粒子之间可能相隔很长一段距离,这种关联现象称为量子纠缠。
量子纠缠说明在两个或两个以上的稳定粒子间,会有强的量子关联。例如在双光子纠缠态中,向左(或向右)运动的光子既非左旋,也非右旋,既无所谓的x偏振,也无所谓的y偏振,实际上无论自旋或其投影,在测量之前并不存在。在未测之时,二粒子态本来是不可分割的。
所谓的纠缠度是指所研究的纠缠态携带纠缠的量的多少。对纠缠度的描述,实质上是对不同纠缠态之间建立定量的可比关系。纠缠状态所纠缠的粒子数量越多,对经典物理学的偏离越明显,获得有用量子效应的机会就越大。所以,在量子信息领域中,纠缠通常被看作是非局域的“信息源”。
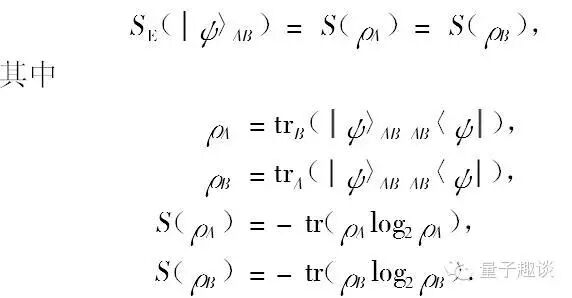
于是,如何对纠缠定量化就显得十分重要。但对于两体纯态而言,纠缠熵仍是两体纯态唯一合理的纠缠度定义,其被定义为

我们往往把上述提及的贝尔态的纠缠大小作为一个单位1。对于多体纠缠度的描述的研究到目前为止仍没有得到真正的解决,人们仍未放弃寻找一种物理意义上更为鲜明、简单、易于求解的纠缠度的描述。
纠缠态之间的关联不能被经典地解释。而这种关联不难从不同态的期待值算出来。挑选其中的一个贝尔态,比如|Ψ-> = (|01> - |10>) / sqrt(2);不难算出,A比特每个分量的期待值为0。同理,B比特每个分量的期待值也一样为0。
该视频来自于Leonard Susskind所授的斯坦福大学公开课《量子力学》的截图。
然而,相同分量的A和B两个量子比特的期待值则不为0,也就是它们之间含有一定的关联,且这种关联与相互之间的距离无关,对A进行测量某一个分量,会影响到B的该分量值的确定。奇异的是,而不同分量的期待值为0。

该视频来自于Leonard Susskind所授的斯坦福大学公开课《量子力学》的截图。
量子纠缠涉及实在性、定域性、隐变量以及测量理论等量子力学的基本问题,并在量子计算和量子通信的研究中起着重要的作用。
原文发布时间为:2016-03-17
本文作者:尤文龙
本文来源:量子趣谈,如需转载请联系原作者。