http://poj.org/problem?id=1189
Description
让一个直径略小于d的小球中心正对着最上面的钉子在板上自由滚落,小球每碰到一个钉子都可能落向左边或右边(概率各1/2)。且球的中心还会正对着下一颗将要碰上的钉子。比如图2就是小球一条可能的路径。
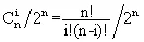
我们知道小球落在第i个格子中的概率pi=pi=

如今的问题是计算拔掉某些钉子后,小球落在编号为m的格子中的概率pm。
假定最以下一排钉子不会被拔掉。比如图3是某些钉子被拔掉后小球一条可能的路径。

Input
Output
Sample Input
5 2 * * . * * * * . * * * * * * *
Sample Output
7/16
/** poj1189 简单dp 题目大意:又是中文题~ 解题思路; 总共会出现2^n种情况,我们一開始就如果有2^n个球在(1,1)点往下落。对于每个没有挖掉的钉子(i,j):dp[i+1][j]+=dp[i][j]/2; dp[i+1][j+1]+=dp[i][j]/2; 对于挖掉的钉子(i,j):dp[i+2][j+1]+=dp[i][j]; */ #include <stdio.h> #include <string.h> #include <algorithm> #include <iostream> using namespace std; typedef long long LL; bool a[2555]; int n,m; LL dp[55][55]; LL gcd(LL x,LL y) { if(y==0)return x; return gcd(y,x%y); } int main() { while(~scanf("%d%d",&n,&m)) { int k=1; for(int i=1; i<=n; i++) { for(int j=1; j<=i; j++) { char str[12]; scanf("%s",str); if(str[0]=='*') { a[k++]=true; } else { a[k++]=false; } //printf("%d\n",a[k-1]); } //puts(""); } memset(dp,0,sizeof(dp)); dp[1][1]=1LL<<n; for(int i=1; i<=n; i++) { int x=i*(i-1)/2; for(int j=1; j<=i; j++) { if(a[j+x]) { dp[i+1][j]+=dp[i][j]/2; dp[i+1][j+1]+=dp[i][j]/2; } else { dp[i+2][j+1]+=dp[i][j]; } } } LL x=1LL<<n; LL y=dp[n+1][m+1]; LL g=gcd(x,y); printf("%lld/%lld\n",y/g,x/g); } return 0; }
本文转自mfrbuaa博客园博客,原文链接:http://www.cnblogs.com/mfrbuaa/p/5137832.html,如需转载请自行联系原作者