从一次指数平滑、二次指数平滑和三次指数平滑的编程规范来看,一次指数、二次指数和三次指数在parameter表的记录上是有差异的。
一次指数parameter表规范:

二次指数parameter表规范:

三次指数parameter表规范:
该例程将沿用一次指数中定义的一些表类型及表结构。
Area: AFLPAL
Function: SINGLESMOOTH
算法说明:http://www.cnblogs.com/omygod/archive/2013/05/04/3060288.html
编程规范:http://www.cnblogs.com/omygod/archive/2013/05/06/3062438.html
一次指数例程: http://www.cnblogs.com/omygod/archive/2013/05/05/3060480.html
二次指数例程:http://www.cnblogs.com/omygod/archive/2013/05/06/3062421.html
1. 创建PAL存储过程
SET SCHEMA _SYS_AFL;
CALL SYSTEM.AFL_WRAPPER_GENERATOR ('PAL_TS_D', 'AFLPAL', 'TRIPLESMOOTH', PAL_TS_SIGNATURE);
2. PAL Setup
3. APP Setup
4. RunTime
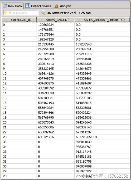
5. 结果展示
6. 参数调整及展示
专注于企业信息化,最近对股票数据分析较为感兴趣,可免费分享股票个股主力资金实时变化趋势分析工具,股票交流QQ群:457394862
分类:
SAP HANA
本文转自沧海-重庆博客园博客,原文链接:http://www.cnblogs.com/omygod/archive/2013/05/06/3062501.html,如需转载请自行联系原作者








