转自:http://www.ruanyifeng.com/blog/2013/03/cosine_similarity.html
上一次,我用 TF-IDF 算法自动提取关键词。
今天,我们再来研究另一个相关的问题。有些时候,除了找到关键词,我们还希望找到与原文章相似的其他文章。比如,”Google 新闻”在主新闻下方,还提供多条相似的新闻。

为了找出相似的文章,需要用到“余弦相似性”(cosine similiarity)。下面,我举一个例子来说明,什么是”余弦相似性”。
为了简单起见,我们先从句子着手。
句子A:我喜欢看电视,不喜欢看电影。
句子B:我不喜欢看电视,也不喜欢看电影。
请问怎样才能计算上面两句话的相似程度?
基本思路是:如果这两句话的用词越相似,它们的内容就应该越相似。因此,可以从词频入手,计算它们的相似程度。
第一步,分词。
句子A:我/喜欢/看/电视,不/喜欢/看/电影。
句子B:我/不/喜欢/看/电视,也/不/喜欢/看/电影。
第二步,列出所有的词。
我,喜欢,看,电视,电影,不,也。
第三步,计算词频。
句子A:我 1,喜欢 2,看 2,电视 1,电影 1,不 1,也 0。
句子B:我 1,喜欢 2,看 2,电视 1,电影 1,不 2,也 1。
第四步,写出词频向量。
句子A:[1, 2, 2, 1, 1, 1, 0]
句子B:[1, 2, 2, 1, 1, 2, 1]
到这里,问题就变成了如何计算这两个向量的相似程度。
我们可以把它们想象成空间中的两条线段,都是从原点([0, 0, ...])出发,指向不同的方向。两条线段之间形成一个夹角,如果夹角为 0 度,意味着方向相同、线段重合;如果夹角为 90 度,意味着形成直角,方向完全不相似;如果夹角为 180 度,意味着方向正好相反。因此,我们可以通过夹角的大小,来判断向量的相似程度。夹角越小,就代表越相似。

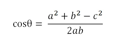
以二维空间为例,上图的a和b是两个向量,我们要计算它们的夹角θ。余弦定理告诉我们,可以用下面的公式求得:


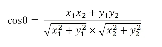
假定a向量是[x1, y1],b向量是[x2, y2],那么可以将余弦定理改写成下面的形式:


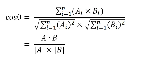
数学家已经证明,余弦的这种计算方法对n维向量也成立。假定A和B是两个n维向量,A是 [A1, A2, ..., An] ,B是 [B1, B2, ..., Bn] ,则A与B的夹角θ的余弦等于:

使用这个公式,我们就可以得到,句子A与句子B的夹角的余弦。

余弦值越接近1,就表明夹角越接近 0 度,也就是两个向量越相似,这就叫”余弦相似性”。所以,上面的句子A和句子B是很相似的,事实上它们的夹角大约为 20.3 度。
由此,我们就得到了”找出相似文章”的一种算法:
(1)使用 TF-IDF 算法,找出两篇文章的关键词;
(2)每篇文章各取出若干个关键词(比如 20 个),合并成一个集合,计算每篇文章对于这个集合中的词的词频(为了避免文章长度的差异,可以使用相对词频);
(3)生成两篇文章各自的词频向量;
(4)计算两个向量的余弦相似度,值越大就表示越相似。
“余弦相似度”是一种非常有用的算法,只要是计算两个向量的相似程度,都可以采用它。
下一次,我想谈谈如何在词频统计的基础上,自动生成一篇文章的摘要。
==============================================================================