导语
Javascript 适合做机器学习吗?这是一个问号。但每一位开发者都应该了解机器学习解决问题的思维和方法,并思考:它将会给我们的工作带来什么?同样,算法能力可能会是下一阶段工程师的标配。
本文旨在通过讲解识别手写字的处理过程,带读者了解机器学习解决问题的一般过程。本文适合以下背景的读者阅读:
- 你不需要具备 Python、C++ 的编程能力:全文使用 Javascript 作为编程语言,且不依赖任何第三方库实现机器学习算法;
- 你不需要具备算法能力和高数的背景,本文机器学习算法的实现不过 20 行代码。
作者学识有限,文章中难免会有疏漏,欢迎指正。
机器学习中的 Hello World
就像我们学习编程语言一样,我们的第一个尝试就是在终端命令行中输出的 “Hello World”。机器学习中的 “Hello World” 便是识别手写字数据集。手写字是形如下面的图像:

我们可以编写一个网页程序,提供手写板的功能来捕获用户的输入,并返回我们识别的数字:用户在手写板内写下 0 到 9 中的任意一个数字,另一侧则显示我们识别的结果。正如 Keras.js 提供的示例那样[[1]](#9):

如何编写出这样的手写识别程序来获取用户的手写输入不是我们这篇文章的重点。我们重点是,当我们的程序得到这样一张图像的数据后,如何识别出这组数据表示的数字?
数据的表示和收集
人类能够从图像中获得信息,但程序如何知道 A 图是表示 1,B 图是表示 2 ?因此我们需要确定数据的表示方式:用怎样的一种方式来在程序中表达一张白底黑字的图像它的像素点分布及点的黑白度?
观察 Keras.js 的示例,你会发现手写板的面积是 240px * 240px。即手写板内有 57,600 个像素点。我们可以把它们平铺开来,并且用 0 到 1 的数值表示每个点的黑白度,其中越接近 1 则表示该像素点越黑,那么就可以用一个数值矩阵来表示手写字:

手写板程序获得用户的输入并生成图像后,识别程序将图像转换成我们需要的数据格式。图像识别是另一个广泛的课题,在这里不再展开。我们会直接使用 MNIST 数据集[[2]](#9),它的数据表示方式正如上面所描述的那样,只是 MNIST 数据集中每一张图片是包含 28 * 28 个像素点的。
确定了数据的表示方式,接下来我们还需要对每个数据的实际含义进行标识。
回想一下我们自己是如何认识这些数字的?即我们是怎样认定图像中的 1 形状表示的就是数字 1?————事物的认识。认知是由他人教育的。
同样,在机器学习中,我们也需要“教育”机器:A 这样的像素点排序就是 1, B 这样的像素点排序是 2。这就是训练数据。
为了收集训练数据,我们可以随机找人在手写识别程序中画数字,然后标识它的结果,最终以任何的形式(文本、表格...)储存。以手写字为例,我们可以用文本的方式存储,格式可以是这样:
0 0 0.3 0 1 0 ... n(=28) | 4
1 0 0.1 0 0 0 ... n(=28) | 6
....
n(=1000)
其中每一行代表一个训练数据,使用 “|” 分割数据的表示和它对应的数字。
在本文中我们将直接使用 MNIST 数据集,因此如何收集数据在这里不再展开。在机器学习中经常会使用公开的数据集来进行训练和测试。
通过确定数据的表示和收集,我们可以了解到的是:
- 数据是一切机器学习的基础;
-
训练数据的好坏将会影响到我们机器学习算法预测的准确率:
- 想象一下如果某些数据我们标识错误,把 1 标识成 2;
- 想象一下如果训练数据中有大量的重复值,或某个数字的数据量特别大而另外一些数字的数据量很小。
准备数据
我们收集到的数据可能会以任何的一种形式存储,例如文本、表格、二进制文件等等。MNIST 数据集是使用二进制存储的,因此在程序中我们需要将它转换为 Javascript 比较容易操作的的数据格式,例如数组。
本文中我们将使用一个 NPM 包 mnist[[3]](#9) 提供的,已经转换好的数据,它的格式如下:
[
{
input: [0, 0.4, 0.5, 0, 0.1, 0, 0, 0, 0, ..., n], // n = 728
output: [0, 1, 0, 0, 0, 0, 0, 0, 0, 0], // 1
},
{
input: [1, 0.4, 0.5, 0, 0.8, 0, 0.1, 0, 1, ..., n], // n = 728
output: [0, 0, 1, 0, 0, 0, 0, 0, 0, 0], // 2
},
....
]
其中 input 是图像的数据表示,output 是图像实际代表的数字。output 使用了一种叫做 One-Hot 的编码方式,它一共有 10 个项,为 1 的项就是它表示的数字(第一项为 1 则代表是 0,第二项为 1 则代表是 2 ,以此类推)。
选择一种算法
通过上面的数据准备,我们已经把一个现实中的问题转化成了一个数学问题:给定 728 个 0 到 1 之间数值的特征,应该将它分类到 0 ~ 9 哪个数字中?
这就是机器学习中的主要任务——分类。有很多的机器学习算法可以用来解决分类问题,文本将使用 k-近邻算法(k-NN)[[4]](#9)来解决这个问题,因为它非常有效且容易理解。
k-近邻算法概述
在一个 10 * 10 的二维平面内画一条线把它分成 2 个区域(A/B)。假设我们不知道线是如何画的,但现已知有 4 个点,a 点坐标是 (1, 1) 属于区域 A,b 点坐标是 (2, 2) 属于区域 A,c 点坐标是 (9, 9) 属于区域 B,d 点坐标是 (8, 8) 属于区域 B。这时候再给定一个 e 点坐标是 (8.5, 8.5) ,请问它最有可能在哪个区域内?
| Index | Point 1 | Point 2 | Area |
|---|---|---|---|
| a | 1 | 1 | A |
| b | 2 | 2 | A |
| c | 9 | 9 | B |
| d | 8 | 8 | B |
| e | 8.5 | 8.5 | ? |

绝大多数人都会说“可能是 B”。我们是如何这个答案的?——因为它和 c, d “看起来更接近一些,更有可能在同一个区域”。同样的推论可以延伸至三维、四维甚至更多纬度的数据中。MNIST 的数据表示就是 728 个特征的多纬数据,k-近邻算法同样适用。
存在一个训练样本集,并且样本集中每个数据都存在标签,即我们知道样本集中每一数据与所属分类的对应关系。输入没有标签的新数据后,将新数据的每个特征与样本集中数据对应的特征进行比较,然后算法提取样本特征最近邻的分类标签。一般来说,我们只选择样本数据集中前 k 个最相似的数据,这就是 k-近邻算法的 k 的出处。
——《机器学习实战》k 近邻算法
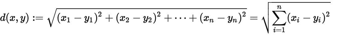
两个向量之间的距离可以通过欧几里得距离公式求得:

于是实现一个 k-NN 算法就很简单了:
function classify(x, trainingData, labels, k) {
// 确定目标点 x 与训练数据中每个点的距离(欧几里得距离公式)
const distances =[];
trainingData.forEach(element => {
let distance = 0;
element.forEach((value, index) => {
const diff = x[index] - value;
distance += (diff * diff);
});
distances.push(Math.sqrt(distance));
});
// 将训练数据按照与 x 点的距离从近到远排序
const sortedDistIndicies = distances
.map((value, index) => {
return {value, index};
})
.sort((a, b) => a.value - b.value );
// 确定前 k 个点类别的出现频率
const classCount = {};
for (let i = 0; k > i; i++) {
const voteLabel = labels[sortedDistIndicies[i].index];
classCount[voteLabel] = (classCount[voteLabel] || 0) + 1;
}
// 返回出现频率最高的类别作为当前点的预测分类
let predictedClass = '';
let topCount = 0;
for (const voteLabel in classCount) {
if (classCount[voteLabel] > topCount) {
predictedClass = voteLabel;
topCount = classCount[voteLabel];
}
}
return predictedClass;
}
测试算法
为了验证我们的算法的效果,我们需要对其进行测试。这就需要引入测试数据。在机器学习中通常会将收集到的数据通过一定的方法划分为训练数据和测试数据然后用于训练和测试。如何划分数据在这里不展开,在本示例中,我们按照 80:20 的比例来划分训练和测试数据,互斥性和随机性由 MNIST 库进行保证。
拿到训练和测试数据后我们就可以对上一步编写的算法进行测试了,我们用错误率来评估算法的可靠性,错误率越低则越可靠:
const classify = require('./kNN');
// 1. 收集数据:忽略,直接使用 MNIST
const mnist = require('mnist');
// 2. 准备数据
let trainingImages = [];
let labels = [];
// 划分数据
const trainingCount = 8000;
const testCount = 2000;
const set = mnist.set(trainingCount, testCount);
const trainingSet = set.training;
const testSet = set.test;
// 为我们的 k-NN 算法准备特定的数据格式
trainingSet.forEach(({input, output}) => {
// One-Hot to number
const number = output.indexOf(output.reduce((max, activation) => Math.max(max, activation), 0));
trainingImages.push(input);
labels.push(number);
});
// 3. 分析数据:在命令行中检查数据,确保它的格式符合要求
console.log('trainingImages', JSON.stringify(trainingImages));
console.log('labels', JSON.stringify(labels));
// 4. 测试算法
let errorCount = 0;
const startTime = Date.now();
testSet.forEach(({input, output}, key) => {
const number = output.indexOf(output.reduce((max, activation) => Math.max(max, activation), 0));
const predicted = classify(input, trainingImages, labels, 3);
const result = predicted == number;
console.log(`${key}. number is ${number}, predicted is ${predicted}, result is ${result}`);
if (!result) {
errorCount++;
}
});
console.log(`The total number of errors is: ${errorCount}`);
console.log(`The total error rate is: ${errorCount/testCount}`);
console.log(`Spend: ${(Date.now() - startTime) / 1000}s`);
如无意外,你的终端将会输出这样的结果:

最终错误率的值大约是 5%。这个结果好吗?并不好。我们可以通过改变 k 的值、改变训练样本的数目影响 k-近邻算法的错误率,读者可以尝试改变这些变量值观察错误率的变化。实际上,只要将 k-近邻算法稍加改良,我们就能够把错误率降到 1% 以下!

表格中列出了一些 k-近邻算法对 MNIST 数据集进行测试的错误率,图片来自 http://yann.lecun.com/exdb/mnist/
我们也应该注意到的是,我们的算法在 8000 条训练数据集和 2000 条测试数据集上进行测试,运行了 325 秒!这是一个很差的结果。在实际生产环境中,我们不仅应该关注准确率也应该关注算法的执行效率。
使用算法
只要测试的算法效果符合预期,我们就可以将算法部署到生产环境进行使用了。我们可以将算法和手写识别程序结合起来,完成一整套获取输入 -> 算法预测 -> 输出结果的流程:首先手写识别程序将用户输入的图像转换为我们期望的数据格式,然后执行我们的算法获取预测的分类。代码可能是这样:
// 手写识别程序将用户输入的图像转换为我们期望的数据格式
const input = [0, 0.3, 1, 1, 0, 0, 0.2, ...];
// 执行算法
classify(input, trainingImages, labels, 3);
很遗憾,在执行算法时我们还是看到了 trainingImages 的存在。这意味着每次预测我们的机器都需要给训练数据准备格外的存储空间。假设训练数据很大(这很常见),则会给我们的生产环境机器造成巨大的内存压力。
每次调用算法还需要传入训练数据的方式即浪费存储空间也不优雅,它只能作为我们的示例进行使用。
进一步思考
本文我们使用 Javascript 实现了一个非常简单的机器学习算法,并用其来测试 MNIST 数据集,完整代码实现在这个仓库中。这只是一个简单的示例,但从中我们了解到了机器学习的基本概念和解决问题的一般过程。进一步思考,上面的流程中每一步都可能被优化:
- 对于手写字,还有没有其他的数据表示方式?例如我们非要用 0 到 1 的数值来表示点的黑白度吗?
- 训练数据集是越大越好吗?例如我们将手写字所有的特征排列组合 (28^28) 个数据量作为训练数据集;
- 如何调整算法参数以获得最佳的收益(准确率和效率)?