最长焦距/最短焦距=变焦倍数
光学变焦镜头不但要看其变焦倍数,还要看其焦距范围,焦距越大,看的越远,视角范围越小
玩单反的谁还在乎光学变焦的倍数呀?这倍数可是越大越狗头。
人家有钱的高烧们都自豪地宣称自己的镜头都是1倍的--定焦
数码单反,镜头标识乘1。5就是实际焦距
变焦和焦距首先没有太大的区别
其次,一般的普通数码相机的变焦要在7倍以上方可达到210以上的焦距
能看物体的远近只和焦距有关系,比如4-88mm的22倍镜头没有10-100mm10倍镜头看的远。要想知道能看的最远距离就看最大焦距是多少,想知道能看的最大区域是多大,就看最小焦距是多少。
光圈是一个用来控制光线透过镜头,进入机身内感光面的光量的装置,它通常是在镜头内。表达光圈大小我们是用f值。
光圈f值 = 镜头的焦距 / 镜头口径的直径
从以上的公式可知要达到相同的光圈f值,长焦距镜头的口径要比短焦距镜头的口径大。完整的光圈值系列如下:
f1, f1。4, f2, f2。8, f4, f5。6, f8, f11, f16, f22, f32, f44, f64
这里值得一题的是光圈f值愈小,在同一单位时间内的进光量便愈多,而且上一级的进光量刚是下一级的一倍,例如光圈从f8调整到f5.6,进光量便多一倍,我们也说光圈开大了一级。
您知道光圈大小对景深影响的原理吗?
一个物点发出的光线通过镜头聚焦之后,所有光线形成一个圆锥形光束。圆锥的顶角与光圈有关:光圈越大、顶角越大。圆锥顶点与底片接触形成一个像点。如果底片稍微前移或者后移一点固定距离,切割光束形成一个圆斑,圆斑的大小与顶角有关:顶角大则圆斑也大。换句话说:底片偏离同样的距离,光圈大圆斑也大。现在我们不要移动底片、而是移动物点,使得光束的顶点移动。如果形成的光斑相同,较细的光束(意为着光圈较小)物点可以移动更大的距离,这就说明小光圈景深更大。
景深随着物距的增加而增加,随着焦距的增加而减少。
一般而言,35mm相机的标准镜头焦长约是28-70mm,因此如果焦长高于70mm就代表支持望远效果,若是低于28mm就表示有广角拍摄能力。
物点(要拍摄的主体)离开透镜的距离称为“物距”,像点(透镜的成像)离透镜的距离称为“像距”,物点和像点存在一一对应的关系,物距的改变像距也随之变化,当物点处于无限远时此时对应的像点叫焦点,焦点离开透镜的距离叫“焦距”。物距、像距、焦距的关系可近似的用:1/像距=1/物距+1/焦距的公式表示。对焦为当物点不同时要想清晰成像必须移动镜头和感光元件之间的相对距离的过程。
物距 u
像距 v
像距 f
镜头的焦距一般用毫米来表示,例如我们常说的35mm的镜头,50mm的标头,135mm的镜头等等。镜头根据它的焦距可以分为广角镜,标准镜头和长焦镜头等等,其实这是根据镜头的防大倍率来决定的,更准确的说是根据镜头的视角,在35mm胶卷里,50mm的镜头的视角相当于人眼的视角,也就是说防大倍率为一,我们把它称为标头。
请注意:根据“1/焦距=1/物距+1/像距”的公式,不同的底片其标准镜头不同。120胶卷的幅面大于135胶卷的幅面,所以120相机的标准镜头是75mm。目前数码相机的镜头划分一般参照35mm系统。
而焦距小于它的称为广角镜头,而焦距大于它的则称为长焦镜头,另外还有很多变焦镜头,它通过镜头各组件之件的变化来改变焦距。小于20mm为超广角镜头,在24mm 到35mm为广角镜头,50 mm为标准镜头,80mm至300mm为长焦镜头,大于300mm为超长焦镜头。由于目前的镜头一体化数码相机较容易做出焦距较大的镜头,因此数码相机的长焦划分标准要相应提升,指拥有200mm以上焦段镜头的数码相机。如果以光变倍数来计算的话,则为七倍光学变焦以上的数码相机。
物距 像距 像的性质 应 用
u>2f f<v<2f 倒立缩小实像 照相机
u=2f v=2f 倒立等大实像
f<u<2f v>2f 倒立放大实像 幻灯机
u=f / 平行光
u<f / 正立放大虚像 放大镜
对焦和变焦是两个完全不同的概念!所谓的调焦(对焦)是根据不同距离的物体在镜头后部清晰成像的位置的不同而改变成像面与透镜间距离来达到对焦的,这只能改变图像的清晰度,而变焦才是真正改变镜头的焦距属性!
物距是物体到凸透镜的距离,也就是相机与拍摄物的距离!像距就是图像到凸透镜的距离,也就是CCD与镜头的距离。普通的凸透镜的焦距是固定的,镜头的焦距是可调的,其焦距的最大值和最小值的比就是几倍变焦!拉近拉远调的是镜头的焦距。手动对焦调的是像距,使成像清楚。
焦距是照相机中,从镜片中心到底片或CCD等成像平面的距离。具有短焦距的光学系统比长焦距的光学系统有更佳聚集光的能力。简单的说焦距是焦点到面镜的顶点之间的距离.
相机的镜头是一组透镜,当平行光线穿过透镜时,会会聚到一点上,这个点叫做焦点,焦点到透镜中心的距离,就称为焦距。焦距固定的镜头,即定焦镜头;焦距可以调节变化的镜头,就是变焦镜头。
当一束平行光以与凸透镜的主轴穿过凸透镜时,在凸透镜的另一侧会被凸透镜汇聚成一点,这一点叫做焦点,焦点到凸透镜光心的距离就叫这个凸透镜的焦距。一个凸透镜的两侧各有一个焦点。
光心:可以把凸透镜的中心近似看作是光心。
我们用的照相机的镜头就相当于一个凸透镜,胶片(或是数码相机的感光器件)就处在这个凸透镜的焦点附近,或者说,胶片与凸透镜光心的距离大至约等于这个凸透镜的焦距。
凸透镜能成像,一般用 凸透镜做照相机的镜头时,它成的 最清晰的 像一般不会正好落在焦点上,或者说,最清晰的 像到光心的距离(像距)一般不等于焦距,而是略大于焦距。具体的距离与被照的物体与镜头的距离(物距)有关,物距越大,像距越小,(但实际上总是大于焦距)。
由于我们照相时,被照的物体与相机(镜头)的距离不总是相同的,比如给人照相,有时,想照全身的,离得就远,照半身的,离得就近。也就是说,像距不总是固定的,这样,要想照得到 清晰的像,就必须随着物距的不同而改变胶片到镜头光心的距离,这个改变的过程就是我们平常说的“调焦”。
物距:u
像距:v
焦距:f
关系:1/u+1/v=1/f
光学中最基本的高斯成像公式:1/u + 1/v = 1/f,即物距的倒数加上像距的倒数等于焦距的倒数。
其次,请你明白物像之间的因果关系,是有物才会有像的。不同的物距会对应不同的像距,但是反过来却不行。象你这样自己设定一个像距就不一定会找到对应的物距,也就是说你设定的像距根本就无法成像。
对于凸透镜成像而言(照相机就是凸透镜成像),物像关系是这样的:
当物距为无穷远时,像距等于焦距,成像在焦平面上(照相机聚焦无穷远的情况);
当物距为无穷无与两倍焦距之间时,像距在焦距与两倍焦距之间,成缩小的实像(照相机一般都属此类情况,在物距接近两倍焦距时为微距拍摄情况);
当物距等于两倍焦距时,像距与物距相等,此时物像等大,1:1微距即此种情况;
当物距小于两倍焦距并大于焦距时,像距大于两倍焦距,成放大的实像(幻灯机,电影放映机就是这种情况,对照相机而言,少数的微距拍摄,如美能达的1X-3X微距,佳能的5X微距拍摄也是这种情况);
当物距等于焦距时,像距为无穷大,物上的光线经透镜后为平行光线,不成像;
当物距小于焦距时,像距为负值,即在物的同侧成虚像(放大镜就是这种情况)。
显而易见,像距是由于物距和焦距决定的,而且像距小于焦距成实像的情况是不会发生的 选择镜头时第一个考量的重要因素恐怕是镜头的焦距,第二项也许就是光圈。 不过相机镜头少则三五片透镜、多则十余片,如此复杂的相机镜头的焦距从何而来?
物理学教科书中的焦距通常只用单透镜说明,这个单透镜理论又如何用到复杂的相机镜头上呢?
这篇文字尝试在动用最少数学与物理学观念的前提下,为您一步一步地用直觉的方式解释这个论题。
彻底了解焦距的观念是很重要的,因为和镜头有关的资讯与讨论总是离不开焦距,而且很多重要概念(譬如 f值、视角等等)都直接使用焦距, 所以正本清源,在谈其它相机镜头的课题之前,我们得把焦距的基本观念好好说一说。
焦距¾ 直觉的定义
。
透镜大致上分成凸透镜与凹透镜两类,我们先看凸透镜,放大镜就是个典型的凸透镜。
找一个睛天出太阳的日子,拿一个放大镜到户外水泥地或砖墙边,然后把放大镜对正太阳前后移动,就会发现地上或墙上有个很亮的点,这就是太阳透过放大镜所得到的像。
在前后移动放大镜(相当于对焦)时太阳的像会改变大小,把放大镜移到使太阳的像最小也最亮的位置(对焦成功),于是从太阳的像到放大镜中心点的距离就是放大镜的焦距( focal length )、也叫做焦长,太阳的像所在位置是放大镜的 焦点( focal point )。
如果在原位置把放大镜反过一面对正太阳,也会发现焦距与原来的几乎一样。因为太阳的位置离放大镜太远,我们不妨想像成是在无限远处;又因为放大镜对正太阳,这等于是说太阳是在放大镜轴线(经过放大镜中心并且与放大镜垂直的直线)上无限远的地方。
从无限远出发、沿轴线方向前进的入射光可以看成是一束平行线,只要想想铁路双轨永远平行、但我们总是有一个它们会在很远很远处相交的感觉(这是透视效果),于是就不难理解上面的说法。
所以,从轴线上无穷远处的物体(太阳)出发、依轴线方向自左而右进行的光线(入射光)正是与轴线平行的线条(见下图),这些光线经过凸透镜折射后会在轴线上某个点汇聚,这个点是凸透镜的焦点,从焦点到放大镜中心的距离是焦距。
综合起来,我们有这样的定义:给了一个非常薄、薄到厚度可以略而不计的凸透镜L (用两个向外指的箭头表示、见下图),与透镜轴线平行(自左而右)的入射光经过透镜折射后会在轴线上某个点汇聚,这个点是该凸透镜的焦点,从焦点到透镜中心的距离是焦距;另外,自右而左与轴线平行的入射光定出在凸透镜的另一侧焦点。

任何一个在无限远的点都可以经过透镜成像。
。
从一个在无限远的点出发、以某个方向到达透镜的入射光也可以视为沿同一个方向的平行线(见上图),它们到达透镜后会被折射、再汇聚成一点,这个点是该无限远点经个透镜得来的像(见图中黄色方格)。
空间中所有在无限远的点可以想像成在一个无限远平面( plane at infinity)上,它们经过透镜的像当然也在一个平面上,而且这个平面包含了焦点,因为焦点是沿轴线方向在无限远点的像。
所以,包含所有在无限远点的像的平面与轴线垂直、而且经过焦点,这个平面叫做焦平面(focal plane ),这是上图中的 F ;因为透镜有两个焦点,所以有两个焦平面。
归结起来,焦平面包含了所有在无限远的点的像,它到透镜的距离等于焦距。
再看凹透镜的情形,下图中L 是一个非常薄、薄到厚度可以不计的凹透镜,我们用两个箭尾表示。
从无限远出发并且与轴线平行(自左而右)的入射光到达凹透镜L 之后会被折射,与凸透镜不同的是,在凹透镜下穿过透镜的光会散开(亦即发散),不过这些光线的延长线会在轴线上交于一点,这是凹透镜的焦点(但在透镜的左边),从焦点到透镜中心的距离是焦距。

再考虑一个不在轴线上的无限远点,从那儿出发以某个方向进行的入射光就是与该方向平行的光束,它们到达透镜L 时也会散开,因为这些光线来自在无限远的同一点,它们的延长线也会交于一点(图中的黄色方格)。
与凸透镜相同的是,所有在无限远的点可以看成是在一个平面上,于是所有无限远点的像也在一个平面上,这个平面(亦即焦平面F )与凹透镜的轴垂直而且经过焦点。
与凸透镜不同的是,这些像是光线延长线的交点、并不在实际光路上,所以都是虚像;另外,凸透镜的实像在透镜右边,但凹透镜的虚像在透镜的左边。
让我们把上面的讨论做个整理。
不论是凸透镜还是凹透镜,从无限远出发沿某个方向自左而右到达透镜的平行入射光经折射后,这些光线或它们的延长线会交于一点(在无限远点的像);所有无限远点的像都在焦平面上,焦平面与轴线的交点是焦点,从焦点到透镜中心的距离是焦距。
要注意的是,在凸透镜下,一个无限远点的像在透镜右侧,是个实像;但在凹透镜下,无限远点的像在透镜左侧,是个虚像。
很重要的是,到目前为止我们都假设透镜是薄的、薄到厚度可以不计,因此用线段加上箭头(凸)或箭尾(凹)表示,不过我们稍后也会讲到如何引入透镜厚度的方法。
要再次提醒的是,焦点与焦距的定义来自从轴线上无限远出发、与轴线平行的光线。
物距与像距和焦距的关系
物距:u
像距:v
焦距:f
关系:1/u+1/v=1/f
光学中最基本的高斯成像公式:1/u + 1/v = 1/f,即物距的倒数加上像距的倒数等于焦距的倒数。
当物距为无穷远时,像距等于焦距,成像在焦平面上;
当物距为无穷无与两倍焦距之间时,像距在焦距与两倍焦距之间,成缩小的实像;
当物距等于两倍焦距时,像距与物距相等,此时物像等大,1:1微距即此种情况;
当物距小于两倍焦距并大于焦距时,像距大于两倍焦距,成放大的实像;
当物距等于焦距时,像距为无穷大,物上的光线经透镜后为平行光线,不成像;
当物距小于焦距时,像距为负值,即在物的同侧成虚像。
前天有个摄友问了撞针关于红圈百微焦距和放大倍率的问题。他有两点疑惑:
1.他认为根据镜头成像原理,红圈百微最大放大倍率为1,此时焦距应该等于拍摄距离,但他用红圈百微对最近处拍照时,镜头与被摄物体的距离绝对不止100mm,难道红圈百微的放大倍率达不到1:1?
2.他看资料查到非红圈USM百微的最近对焦距离为31cm,红圈百微则为30cm,这个对焦距离为被摄物体到成像元件的距离。他认为如果两款百微镜头放大倍率都是1,焦距都是100mm,那么对焦距离至少应该相等,按理说红圈百微本身更长,对焦距离也应该更长才对,难道红圈百微的实际焦距缩水了?
其实这些并不是个生僻的问题,估计很多人都知道,撞针本想找个相关的网页糊弄一下,结果一时还找不到说的特明白的,少不得撞针自己写一个,明白的同志略过就好了。
问题中有好几个概念被误解:
1. 估计中学光学太久远忘了,透镜只有对无穷远成像时焦距才等于像距,否则像距就大于焦距。像距=焦距+焦像距(如图,物距=∞时焦像距=0)。

2.镜头不是“薄透镜”,计算对焦距离时我们可以把镜头简化为分裂成两个平面(两个主面)的薄透镜,两个平面的间距也就是虚拟透镜的厚度,这个厚度与镜头本身长度没有直接关系。
3.两个主面并不一定和镜头最前、最后的镜片重合,因此物距也不等于镜头前端到对焦物体的距离(工作距离)。
4.今天大部分镜头标注的焦距是其对无限远处对焦时的焦距,镜头对近处对焦时需要改变实际焦距。红圈百微在对0.3m对焦时,焦距一定不到100mm。此时镜头的主面位置也会变化,主点间距当然也在变。
这样我们就知道:
1.镜头工作距离并不是真正的物距。只有知道前主面的位置才能知道物距是多少。
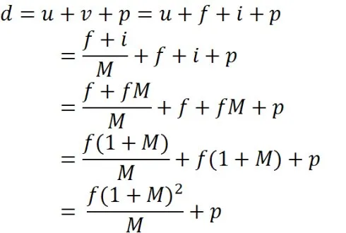
2.对焦距离=物距+主点间距+焦距+焦像距(d=u+p+f+i)。对焦距离和镜头工作距离、镜头长度没有直接关系。
3.根据相似三角形原理(图中浅红色两个三角形),放大倍率M=h':h=i:f。
只要我们知道了镜头在某一放大倍率M时的实际焦距f,带入透镜成像公式1/f=1/u+1/v,我们就能算出像距和物距,如果我们再知道此时镜头的主点间距p,就能算出镜头的对焦距离:
不幸的是,厂家从不公布镜头某一放大倍率或某一对焦距离的主点间距是多少、实际焦距是多少,因此我们是不可能算出通过计算把对焦距离和放大倍率联系起来的。一个悲哀的结局...