Logistic回归
在用线性模型进行回归训练时,有时需要根据这个线性模型进行分类,则要找到一个单调可微的用于分类的函数将线性回归模型的预测值关联起来。这时就要用到逻辑回归,之前看吴军博士的《数学之美》中说腾讯和谷歌广告都有使用logistics回归算法。
如下图,可以清晰看到线性回归和逻辑回归的关系,一个线性方程被逻辑方程归一化后就成了逻辑回归。
Logistic模型
如图,

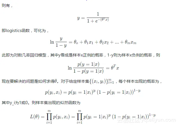
但阶跃函数不连续,于是用sigmoid函数替代之,为
如图,


实现代码
import tensorflow as tf
from numpy import *
x_train = [[1.0, 2.0], [2.0, 1.0], [2.0, 3.0], [3.0, 5.0], [1.0, 3.0], [4.0, 2.0], [7.0, 3.0], [4.0, 5.0], [11.0, 3.0],
[8.0, 7.0]]
y_train = [1, 1, 0, 1, 0, 1, 0, 1, 0, 1]
y_train = mat(y_train)
theta = tf.Variable(tf.zeros([2, 1]))
theta0 = tf.Variable(tf.zeros([1, 1]))
y = 1 / (1 + tf.exp(-tf.matmul(x_train, theta) + theta0))
loss = tf.reduce_mean(- y_train.reshape(-1, 1) * tf.log(y) - (1 - y_train.reshape(-1, 1)) * tf.log(1 - y))
train = tf.train.GradientDescentOptimizer(0.01).minimize(loss)
init = tf.initialize_all_variables()
sess = tf.Session()
sess.run(init)
for step in range(1000):
sess.run(train)
print(step, sess.run(theta).flatten(), sess.run(theta0).flatten())
========广告时间========
鄙人的新书《Tomcat内核设计剖析》已经在京东销售了,有需要的朋友可以到 https://item.jd.com/12185360.html 进行预定。感谢各位朋友。
=========================
欢迎关注: