2.2 序贯试验和风险处理
如果风险偏好是为了多赚钱,但不会太在意丢失本金,那会怎么样呢?本节将简单研究为什么人的偏好是不对称的,并且也有科学证据表明:由于进化的原因,这种不对称性在我们的头脑中根深蒂固。
不过必须要对参数化非对称函数的期望值进行优化,函数具体形式如下:

(2-1)
为什么在分析中会出现非对称函数?一个例子是重复投注或重新投资,也称为Kelly准则问题。最初的Kelly准则是为了研究赌博机中的二元结果,以及优化每一轮赌博中钱的分配而发展起来的(A New Interpretation of Information Rate, Bell System Technical Journal 35 (4): 917–926, 1956)。作为再投资问题更通用的公式会涉及潜在收益的概率分布。
多个投注的回报由单个投注回报率相乘得到。回报率是赌博完成之后的资金与单独投注之前的原始资金的比率。其公式如下:
由于不知道如何优化独立同分布随机变量的积,因此不能优化总回报。可使用对数变换将积转换为和,然后应用CLT(中心极限定理)来近似独立同分布变量之和(假设ri的分布符合CLT条件,比如其均值和方差是有限的)。具体转换如下:

因此,N次投注累积的结果像是进行N次期望回报为exp(E(log(ri)))的投注,而不是E(ri)!
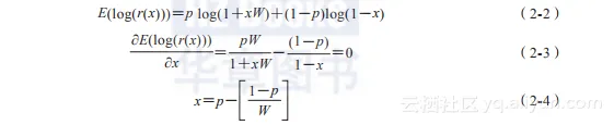
正如之前提到的,这个问题经常被应用于二元投注中,尽管它可以简单地推广到一般情形,但这会附加一个参数:x,它是每轮投注的金额。假设获利W的概率为p(损失所有投注的概率为1―p),优化带有附加参数的期望回报函数:

最后这个等式就是Kelly准则比率,它给出投注的最优金额。
投注小于总金额的原因是:即使平均回报为正数,但仍有一定的概率丢掉全部资金,特别是在信息极不平衡的情况下。比如,即使有0.105的概率得到10倍的回报(W=10,期望的回报是5%),组合分析表明,在60局之后,所有回报为负的概率大约为50%。实际上损失27倍(或更多)的投注的概率为11%:



注意,要达到27倍的收入,平均只需要玩log(27)/log(1.05)=68局。虽然这些都是有利的几率(odd),但从最开始就是在赌。Kelly准则假设最优的投注只是资金的1.55%,注意如果投入全部的资金,会以89.5% 的概率在第一局就输光(赢的概率只有0.105)。如果开始以资金的若干分之一下注,会有很大的可能性继续进行,但是总的回报会更小。图2-3为期望回报的对数图,它是投注金额x的函数,并且只计算了在60轮赌局中收入的可能分布。博弈(game)结果的24%会比最低的曲线差,39%会差于次低的曲线,44%~50%会好于或者等同于中间黑色的曲线,30%可能会高于最上面的一条曲线。x的最优Kelly准则值是0.0155,它最终将在无限多轮的博弈中优化所得的总回报:
图2-3 期望回报值与投注数量之间的对数函数,这是计算60轮后的结果(参见式(2-2))
有人认为Kelly准则过于激进(赌徒通常会高估自己获胜的可能/获胜率,而低估失败的概率),也有人认为过于保守(风险价值应该是总的可用资本,而不仅仅是资金本身),但是它给出了这样一个事实:需要使用额外的方式来弥补直觉理解的不足。
从金融的观点来看,Kelly准则更像是风险描述,而不是作为波动的标准定义(或回报的方差)。对于通用的参数化回报分布y(z),其概率分布函数为f (z)。若定义r(x)=1+x y(z)(其中x是投注的数量),则式(2-3)可以重新表示为如下形式:

(2-5)
在离散情况下也可以写为如下形式:
(2-6)
该式子中分母强调的是来自负收益区域的贡献。具体而言,损失全部资金意味着分母(1+xy(z))为0。
正如前面提到的一个有趣现象:风险规避是基于人们的直觉。人类和灵长类动物似乎天生就有一种厌恶风险的偏好(A Monkey Economy as Irrational as Ours by Laurie Santos,TED talk,2010)。现在关注另一个颇有争议的话题—探索与利用的权衡,人们对这些内容的了解还不如前面的回报权衡问题。