动态规划入门详解

简介: 等待了好久好久,今天终于可以对动态规划动手了(☆▽☆)

 动态规划(Dynamic Programming,简称DP)是一种算法思想,它将问题分解为更小的子问题,然后将子问题的解存起来,避免重复计算。

所以动态规划中每一个状态都是由上一个状态推导出来的,这一点就区别于贪心,贪心没有状态推导。

并且动态规划问题可以分为很多种类,如线性DP、区间DP、背包DP、树形DP、状态压缩DP、数位DP、计数型DP、递推型DP、博弈型DP和记忆化搜索等。每种类型都有其特定的问题模型解决方法。如线性DP通常通过处理一维数组或字符串,区间DP处理二维区间,背包问题处理物品的选择问题。

image.gif 编辑

这说的的都是啥玩意啊?怎么字都认识?连在一起,就都不懂了?

我们来看下,网上比较流行的一个例子:

  • A : "1+1+1+1+1+1+1+1 =?"
  • A : "上面等式的值是多少"
  • B : 计算 "8"
  • A : 在上面等式的左边写上 "1+" 呢?
  • A : "此时等式的值为多少"
  • B : 很快得出答案 "9"
  • A : "你怎么这么快就知道答案了"
  • A : "只要在8的基础上加1就行了"
  • A : "所以你不用重新计算,因为你记住了第一个等式的值为8!动态规划算法也可以说是 '记住求过的解节省时间'"

有一道题,挺适合启蒙思想的-青蛙跳阶问题

这里我们只是带入思想,不给出题解,相信大家,在看完本文后,肯定能解决。

leetcode原题:一只青蛙一次可以跳上1级台阶,也可以跳上2级台阶。求该青蛙跳上一个 10 级的台阶总共有多少种跳法。

  • 要想跳到第10级台阶,要么是先跳到第9级,然后再跳1级台阶上去;要么是先跳到第8级,然后一次迈2级台阶上去。
  • 同理,要想跳到第9级台阶,要么是先跳到第8级,然后再跳1级台阶上去;要么是先跳到第7级,然后一次迈2级台阶上去。
  • 要想跳到第8级台阶,要么是先跳到第7级,然后再跳1级台阶上去;要么是先跳到第6级,然后一次迈2级台阶上去。

所以可以推导,得出这么一个结论:

f(10) = f(9)+f(8)
f (9)  = f(8) + f(7)
f (8)  = f(7) + f(6)
...
f(3) = f(2) + f(1)
 
f(n) = f(n-1) + f(n-2)

image.gif

而 f(n) = f(n-1) + f(n-2); 又叫做递推公式,这也是动态规划的核心。

Carl对动态规划,总结成了5步,如果这5步都能合理的掌握并运用,相当于神功大成\( ̄︶ ̄*\))

  1. 确定dp数组(dp table)以及下标的含义
  2. 确定递推公式
  3. dp数组如何初始化
  4. 确定遍历顺序
  5. 举例推导dp数组

好啦,接下来举例子:

斐波那契数

斐波那契数 (通常用 F(n) 表示)形成的序列称为 斐波那契数列 。该数列由 01 开始,后面的每一项数字都是前面两项数字的和。也就是:

F(0) = 0,F(1) = 1

F(n) = F(n - 1) + F(n - 2),其中 n > 1


给定 n ,请计算 F(n)

示例 1:

输入:n = 2

输出:1

解释:F(2) = F(1) + F(0) = 1 + 0 = 1


示例 2:

输入:n = 3

输出:2

解释:F(3) = F(2) + F(1) = 1 + 1 = 2


示例 3:

输入:n = 4

输出:3

解释:F(4) = F(3) + F(2) = 2 + 1 = 3


提示:

  • 0 <= n <= 30

这道题目,作例子,再合适不过了。

在示例1~3中:递归公式,给的在明显不过了。

f(n) = f(n-1) + f(n-2);

咱们在开篇时已经讲过:动态规划是 将问题分解为更小的子问题,然后将子问题的解存起来,避免重复计算。

重点是存起来,所以就需要用到数组喽,如下:

arr[0]=0;
arr[1]=1;
for(int i=2; i<=n; ++i){
    arr[i]=arr[i-1]+arr[i-2];
}

image.gif

这就是递推,本题的总代码如下:

class Solution {
public:
    int fib(int n) {
        // 排除意外
        if(n==0) return 0;
        else if(n==1) return 1;
        vector<int> arr(n+1);
        
        arr[0]=0;
        arr[1]=1;
        for(int i=2; i<=n; ++i){
            arr[i]=arr[i-1]+arr[i-2];
        }
        return arr[n];
    }
};

image.gif

相信到这里,大家已经基本对动态规划有了大致了解,接下来可以安心开刷了( •̀ ω •́ )✧

题目:

2、爬楼梯-(解析)-线性dp入门

3、使用最小花费爬楼梯-(解析)-线性dp入门

4、不同路径-(解析)-区间dp入门

5、不同路径 II-(解析)-区间dp入门

6、整数拆分-(解析)-需要考虑,数字拆成几个?需要有一定推理能力

7、不同的二叉搜索树-(解析)-需要有能力,跳出数字约束,进入宏观层面

2、爬楼梯

假设你正在爬楼梯。需要 n 阶你才能到达楼顶。

每次你可以爬 12 个台阶。你有多少种不同的方法可以爬到楼顶呢?

示例 1:

输入:n = 2

输出:2

解释:有两种方法可以爬到楼顶。

1. 1 阶 + 1 阶

2. 2 阶

示例 2:

输入:n = 3

输出:3

解释:有三种方法可以爬到楼顶。

1. 1 阶 + 1 阶 + 1 阶

2. 1 阶 + 2 阶

3. 2 阶 + 1 阶


提示:

  • 1 <= n <= 45
class Solution {
// 线性dp基础练习
public:
    int climbStairs(int n) {
        if(n==1) return 1;
        if(n==2) return 2;
        vector<int> res(n+1);
        res[1]=1;
        res[2]=2;
        for(int i=3; i<=n; ++i){
            res[i] = res[i-1] + res[i-2];
        } 
        return res[n]; 
    }
};

image.gif

3、使用最小花费爬楼梯

给你一个整数数组 cost ,其中 cost[i] 是从楼梯第 i 个台阶向上爬需要支付的费用。一旦你支付此费用,即可选择向上爬一个或者两个台阶。

你可以选择从下标为 0 或下标为 1 的台阶开始爬楼梯。

请你计算并返回达到楼梯顶部的最低花费。

示例 1:

输入:cost = [10,15,20]

输出:15

解释:你将从下标为 1 的台阶开始。

- 支付 15 ,向上爬两个台阶,到达楼梯顶部。

总花费为 15 。


示例 2:

输入:cost = [1,100,1,1,1,100,1,1,100,1]

输出:6

解释:你将从下标为 0 的台阶开始。

- 支付 1 ,向上爬两个台阶,到达下标为 2 的台阶。

- 支付 1 ,向上爬两个台阶,到达下标为 4 的台阶。

- 支付 1 ,向上爬两个台阶,到达下标为 6 的台阶。

- 支付 1 ,向上爬一个台阶,到达下标为 7 的台阶。

- 支付 1 ,向上爬两个台阶,到达下标为 9 的台阶。

- 支付 1 ,向上爬一个台阶,到达楼梯顶部。

总花费为 6 。


提示:

  • 2 <= cost.length <= 1000
  • 0 <= cost[i] <= 999
class Solution {
// 稍稍具有一点,推导能力的线性dp
public:
    int minCostClimbingStairs(vector<int>& cost) {
        vector<int> res(cost.size()+1);
        res[0] = 0;
        res[1] = 0;
        for(int i=2; i<=cost.size(); ++i){
            res[i] = min(res[i-1]+cost[i-1], res[i-2]+cost[i-2]);
        }
        return res[cost.size()];
    }
};

image.gif

4、不同路径

一个机器人位于一个 m x n 网格的左上角 (起始点在下图中标记为 “Start” )。

机器人每次只能向下或者向右移动一步。机器人试图达到网格的右下角(在下图中标记为 “Finish” )。

问总共有多少条不同的路径?

示例 1:

image.gif 编辑

输入:m = 3, n = 7

输出:28

示例 2:

输入:m = 3, n = 2

输出:3

解释:

从左上角开始,总共有 3 条路径可以到达右下角。

1. 向右 -> 向下 -> 向下

2. 向下 -> 向下 -> 向右

3. 向下 -> 向右 -> 向下


示例 3:

输入:m = 7, n = 3

输出:28


示例 4:

输入:m = 3, n = 3

输出:6


提示:

  • 1 <= m, n <= 100
  • 题目数据保证答案小于等于 2 * 109
class Solution {
// 入门的区间dp
public:
    int uniquePaths(int m, int n) {
        vector<vector<int>> res(m,vector<int>(n));
        for(int i=0; i<n; ++i) res[0][i]=1;
        for(int j=0; j<m; ++j) res[j][0]=1;
        for(int i=1; i<m; ++i){
            for(int j=1; j<n; ++j){
                res[i][j]=res[i-1][j]+res[i][j-1];
            }
        }
        return res[m-1][n-1];
    }
};

image.gif

5、不同路径 II

给定一个 m x n 的整数数组 grid。一个机器人初始位于 左上角(即 grid[0][0])。机器人尝试移动到 右下角(即 grid[m - 1][n - 1])。机器人每次只能向下或者向右移动一步。

网格中的障碍物和空位置分别用 10 来表示。机器人的移动路径中不能包含 任何 有障碍物的方格。

返回机器人能够到达右下角的不同路径数量。

测试用例保证答案小于等于 2 * 109

示例 1:

image.gif 编辑

输入:obstacleGrid = [[0,0,0],[0,1,0],[0,0,0]]

输出:2

解释:3x3 网格的正中间有一个障碍物。

从左上角到右下角一共有 2 条不同的路径:

1. 向右 -> 向右 -> 向下 -> 向下

2. 向下 -> 向下 -> 向右 -> 向右


示例 2:

image.gif 编辑

输入:obstacleGrid = [[0,1],[0,0]]

输出:1


提示:

  • m == obstacleGrid.length
  • n == obstacleGrid[i].length
  • 1 <= m, n <= 100
  • obstacleGrid[i][j]01
class Solution {
// 入门的区间dp
public:
    int uniquePathsWithObstacles(vector<vector<int>>& obstacleGrid) {
        int row = obstacleGrid.size();
        int col = obstacleGrid[0].size();
        vector<vector<int>> res(row,vector<int>(col, 0));
        for(int i=0; i<row; ++i){
            if(obstacleGrid[i][0]==1) break;
            res[i][0] = 1;
        } 
        for(int i=0; i<col; ++i){
            if(obstacleGrid[0][i]==1) break;
            res[0][i] = 1;
        }
        for(int i=1; i<row; ++i){
            for(int j=1; j<col; ++j){
                if(obstacleGrid[i][j]==1) continue;
                res[i][j] = res[i-1][j] + res[i][j-1];
            }
        }
        return res[row-1][col-1];
    }
};

image.gif

6、整数拆分

给定一个正整数 n ,将其拆分为 k正整数 的和( k >= 2 ),并使这些整数的乘积最大化。

返回 你可以获得的最大乘积

示例 1:

输入: n = 2

输出: 1

解释: 2 = 1 + 1, 1 × 1 = 1。

示例 2:

输入: n = 10

输出: 36

解释: 10 = 3 + 3 + 4, 3 × 3 × 4 = 36。


提示:

  • 2 <= n <= 58
class Solution {
    // 本题的思考角度在于,一个数字,能被拆几次。(2~n此,因为拆的次数多了,所以才有无限可能...
public:
    int integerBreak(int n) {
        vector<int> dp(n+1, 0);
        dp[0] = dp[1]=0;
        for(int i=2; i<=n; ++i){
            for(int j=1; j<i; ++j){
                dp[i] = max(dp[i], max(j*(i-j),j*dp[i-j]));      
            }
        }
        return dp[n];
    }
};

image.gif

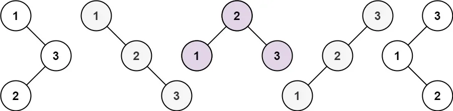
7、不同的二叉搜索树

给你一个整数 n ,求恰由 n 个节点组成且节点值从 1n 互不相同的 二叉搜索树 有多少种?返回满足题意的二叉搜索树的种数。

示例 1:

image.gif 编辑

输入:n = 3

输出:5


示例 2:

输入:n = 1

输出:1


提示:

  • 1 <= n <= 19
class Solution {
    // 实现宏观抽象,不要看具体的数据,跳过数据看规律。
public:
    int numTrees(int n) {
        vector<int> dp(n+1,0);
        dp[0]=1;
        for(int i=1; i<=n; ++i){
            for(int j=0; j<i; ++j){
                dp[i] += dp[i-1-j]*dp[j];
            }    
        }
     //   for(int i : dp) cout<<i<<endl;
        return dp[n];
    }
};

image.gif

需要有,跳出数据,从宏观逻辑分析的能力。 image.gif 编辑


借鉴博客

1、动态规划理论基础

2、看一遍就理解:动态规划详解



目录
相关文章
|
2月前
|
算法
动态规划之完全背包
本文详解完全背包问题:作为动态规划经典题型,区别于01背包(每物限选1次),其特点是每种物品可无限次选取。文章从定义、状态转移方程(dp[i][j] = max(dp[i-1][j], dp[i][j-w]+v))、二维/一维实现到遍历顺序对组合数与排列数的影响,结合零钱兑换II、组合总和IV等5道典型例题深入剖析,助力掌握核心思想与编码技巧。
231 1
|
2月前
|
存储 人工智能 关系型数据库
OpenClaw怎么可能没痛点?用RDS插件来释放OpenClaw全部潜力
OpenClaw插件是深度介入Agent生命周期的扩展机制,提供24个钩子,支持自动注入知识、持久化记忆等被动式干预。相比Skill/Tool,插件可主动在关键节点(如对话开始/结束)执行逻辑,适用于RAG增强、云化记忆等高级场景。
1007 56
OpenClaw怎么可能没痛点?用RDS插件来释放OpenClaw全部潜力
|
2月前
|
设计模式 Java Go
Go中的switch的8种使用场景:没有你想的那么简单
在 Go 中灵活使用 switch,可以使代码更清晰、更易维护。 switch 是 Go 中不可或缺的控制结构之一
882 1
|
2月前
|
Arthas 人工智能 Java
我们做了比你更懂 Java 的 AI-Agent -- Arthas Agent
Arthas Agent 是基于阿里开源Java诊断工具Arthas的AI智能助手,支持自然语言提问,自动匹配排障技能、生成安全可控命令、循证推进并输出结构化报告,大幅降低线上问题定位门槛。
1480 64
我们做了比你更懂 Java 的 AI-Agent -- Arthas Agent
|
2月前
|
人工智能 安全 前端开发
阿里开源 Team 版 OpenClaw,5分钟完成本地安装
HiClaw 是 OpenClaw 的升级版,通过引入 Manager Agent 架构和分布式设计,解决了 OpenClaw 在安全性、多任务协作、移动端体验、记忆管理等方面的核心痛点。
2157 60
阿里开源 Team 版 OpenClaw,5分钟完成本地安装
|
1月前
|
人工智能 NoSQL API
instinct:一个基于置信度的 AI Agent 自学习记忆系统
instinct 是一款开源 AI 编程记忆系统,让 Claude Code、Cursor 等 MCP Agent 具备跨会话自学习能力。通过“观察→重复→成熟→建议”机制,自动累积模式置信度,智能晋升为可建议(mature)或自动执行(rule)的惯例,无需人工维护规则文件。基于 SQLite 与 MCP 标准,支持项目级作用域与自动衰减,真正实现 Agent 的习惯养成。
188 10
instinct:一个基于置信度的 AI Agent 自学习记忆系统
|
28天前
|
存储 人工智能 数据库
阿里云怎么算新用户?阿里云新用户定义及优惠政策解析
阿里云是阿里巴巴旗下云计算品牌,本文详解新用户定义(无付费记录的会员)及三大专属福利:高额优惠券、首购大幅折扣、超160款云产品免费试用,助您低成本轻松上云!
124 15
|
29天前
|
人工智能 自然语言处理 索引
从“词元”到“符元”:Token 中文名背后的 AI 底层认知之争
在“Token”被定名为“词元”之后,本文从计算本体、多模态演进与回译一致性等角度指出,该命名存在路径依赖与语义锚定问题。Token本质是跨模态的离散符号单元,而非语言“词”。相比之下,“符元”更能对齐计算本质,具备长期稳定性与认知一致性。
1190 13
|
29天前
|
安全 Java 索引
java工具:《对Collections.sort排序后我想制定查询几条,比如list有10条,我只想获取前4条》
java工具:《对Collections.sort排序后我想制定查询几条,比如list有10条,我只想获取前4条》
96 12