基于自适应控制的非线性系统时变编队跟踪控制、多智能体+非线性输入Matlab仿真(带参考文献)

简介: ✅作者简介:热爱科研的Matlab仿真开发者,擅长毕业设计辅导、数学建模、数据处理、建模仿真、程序设计、完整代码获取、论文复现及科研仿真。🍎 往期回顾关注个人主页:Matlab科研工作室 👇 关注我领取海量matlab电子书和数学建模资料 🍊个人信条:格物致知,完整Matlab代码获取及仿真咨询内容私信。🔥 内容介绍一、多智能体系统与非线性时变编队跟踪问题背景多智能体系统在众多领域有着广泛应用,如智能交通、无人机编队、工业协作机器人等。在这些应用场景中,实现精确的编队跟踪控制至关重要。然而,实际系统往往呈现非线性特性,并且编队跟踪任务可能随时间变化,这就给控制带来了

✅作者简介:热爱科研的Matlab仿真开发者,擅长毕业设计辅导、数学建模、数据处理、建模仿真、程序设计、完整代码获取、论文复现及科研仿真

🍎 往期回顾关注个人主页:Matlab科研工作室

👇 关注我领取海量matlab电子书和数学建模资料

🍊个人信条:格物致知,完整Matlab代码获取及仿真咨询内容私信

🔥 内容介绍

一、多智能体系统与非线性时变编队跟踪问题背景

多智能体系统在众多领域有着广泛应用,如智能交通、无人机编队、工业协作机器人等。在这些应用场景中,实现精确的编队跟踪控制至关重要。然而,实际系统往往呈现非线性特性,并且编队跟踪任务可能随时间变化,这就给控制带来了巨大挑战。

在多智能体系统的编队跟踪问题里,时变领导者跟随编队跟踪是一种常见的模式。领导者的状态变化引导着跟随者的行动,使整个编队完成特定任务。但当系统具有非线性时,传统的控制方法难以有效应对。因为非线性系统的动态特性复杂,不能简单地用线性模型描述,这就需要专门针对非线性系统设计控制策略。

二、基于观测器的协议设计原理

  1. 观测器的作用:在许多实际情况中,智能体无法获取非线性系统的完整状态信息。观测器的引入旨在根据智能体可获取的部分信息(如输出变量),估计出系统的完整状态。通过设计合适的观测器,可以为智能体提供更全面的状态估计值,以便进行控制决策。例如,在一个复杂的机械臂多智能体协作系统中,由于传感器的限制,可能只能测量机械臂的某些关节角度,而观测器可以基于这些测量值,估计出其他未测量的状态变量,如关节速度、加速度等。

  2. 三、基于边缘的自适应律原理
  3. 自适应律的必要性:在非线性系统中,系统参数可能会随时间变化,或者受到外部干扰的影响。为了使智能体能够适应这些变化,需要引入自适应律。自适应律能够根据系统的运行情况,实时调整控制参数,以保证系统的性能。
  4. 基于边缘的自适应律特点:与传统自适应律不同,基于边缘的自适应律使协议的设计不依赖于已知的通信拓扑结构。这一特性极大地增强了系统的灵活性和鲁棒性。传统的自适应律可能需要预先知道整个通信网络的拓扑结构,才能进行参数调整,但在实际应用中,通信拓扑可能会由于各种原因(如智能体的移动、通信故障等)发生变化。基于边缘的自适应律则通过智能体之间的局部通信(即边缘信息)来调整参数。例如,智能体i和邻居智能体j之间的通信链路(边缘)上传递的信息可以用于调整智能体i的控制参数,而不需要知道整个通信网络的全局结构。这种自适应律使得智能体能够在通信拓扑动态变化的情况下,依然实现期望的编队跟踪。
  5. 四、仿真验证的意义
  6. 通过对一个领导者和六个跟随者的非线性系统进行仿真,能够直观地展示所提出方法的可行性和有效性。在仿真过程中,可以模拟各种实际场景,如非线性系统的参数变化、外部干扰以及通信拓扑的改变等。通过观察跟随者是否能够准确跟踪领导者的时变轨迹,以及编队的稳定性等指标,来评估所提方法的性能。仿真结果为实际应用提供了重要参考,帮助研究人员进一步优化控制策略,确保在实际的多智能体非线性系统中能够可靠地实现时变编队跟踪。

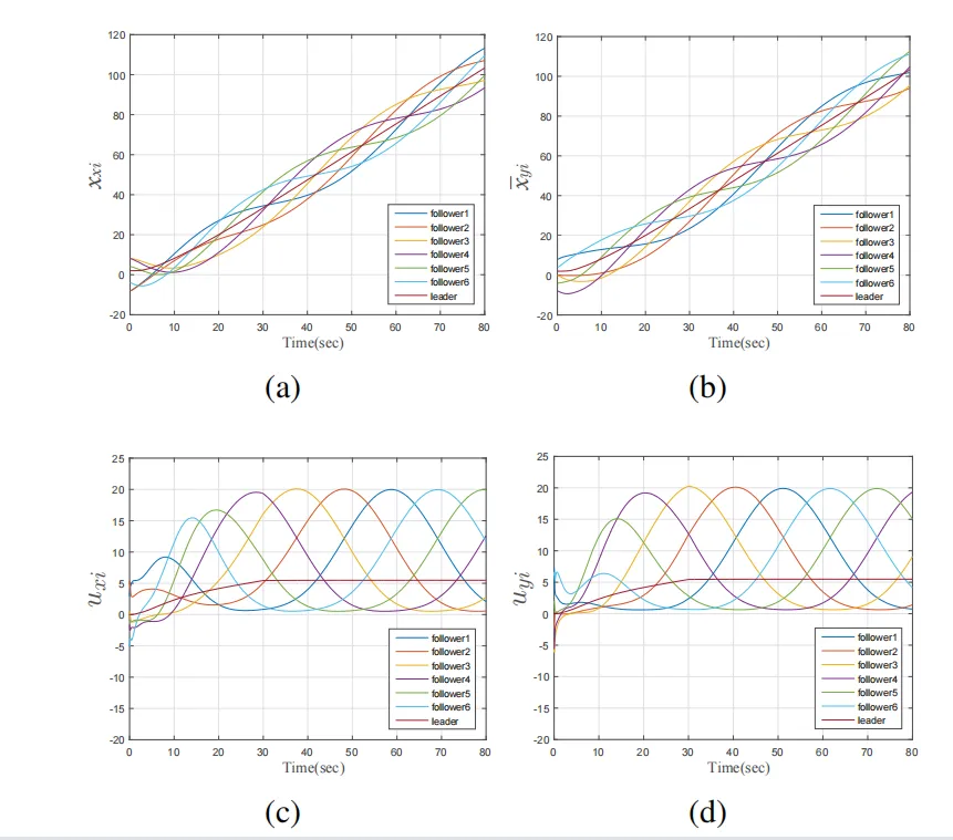
⛳️ 运行结果

🔗 参考文献

Observer-based Time-varying Formation Tracking for One-sided Lipschitz Nonlinear Systems via Adaptive Protocol

🍅往期回顾扫扫下方二维码

相关文章
|
11天前
|
人工智能 安全 Linux
【OpenClaw保姆级图文教程】阿里云/本地部署集成模型Ollama/Qwen3.5/百炼 API 步骤流程及避坑指南
2026年,AI代理工具的部署逻辑已从“单一云端依赖”转向“云端+本地双轨模式”。OpenClaw(曾用名Clawdbot)作为开源AI代理框架,既支持对接阿里云百炼等云端免费API,也能通过Ollama部署本地大模型,完美解决两类核心需求:一是担心云端API泄露核心数据的隐私安全诉求;二是频繁调用导致token消耗过高的成本控制需求。
5557 13
|
18天前
|
人工智能 JavaScript Ubuntu
5分钟上手龙虾AI!OpenClaw部署(阿里云+本地)+ 免费多模型配置保姆级教程(MiniMax、Claude、阿里云百炼)
OpenClaw(昵称“龙虾AI”)作为2026年热门的开源个人AI助手,由PSPDFKit创始人Peter Steinberger开发,核心优势在于“真正执行任务”——不仅能聊天互动,还能自动处理邮件、管理日程、订机票、写代码等,且所有数据本地处理,隐私完全可控。它支持接入MiniMax、Claude、GPT等多类大模型,兼容微信、Telegram、飞书等主流聊天工具,搭配100+可扩展技能,成为兼顾实用性与隐私性的AI工具首选。
22111 118

热门文章

最新文章