基于下垂控制策略的风光储微电网协调仿真控制(仿真模型+参考文献)(含一次调频+并离网切换)

简介: 基于下垂控制策略的风光储微电网协调仿真控制(仿真模型+参考文献)(含一次调频+并离网切换)

  💥💥💞💞欢迎来到本博客❤️❤️💥💥

🏆博主优势:🌞🌞🌞博客内容尽量做到思维缜密,逻辑清晰,为了方便读者。

⛳️座右铭:行百里者,半于九十。

📋📋📋本文内容如下:🎁🎁🎁

⛳️赠与读者

👨‍💻做科研,涉及到一个深在的思想系统,需要科研者逻辑缜密,踏实认真,但是不能只是努力,很多时候借力比努力更重要,然后还要有仰望星空的创新点和启发点。建议读者按目录次序逐一浏览,免得骤然跌入幽暗的迷宫找不到来时的路,它不足为你揭示全部问题的答案,但若能解答你胸中升起的一朵朵疑云,也未尝不会酿成晚霞斑斓的别一番景致,万一它给你带来了一场精神世界的苦雨,那就借机洗刷一下原来存放在那儿的“躺平”上的尘埃吧。

    或许,雨过云收,神驰的天地更清朗.......🔎🔎🔎

💥第一部分——内容介绍

基于下垂控制策略的风光储微电网协调仿真控制研究

摘要:本文聚焦于基于下垂控制策略的风光储微电网协调仿真控制,旨在实现一次调频与并离网切换功能。通过构建包含逆变器下垂控制、孤岛运行、预同步并网控制等关键环节的仿真模型,验证了风光储微电网在并离网切换过程中的稳定性与可靠性。仿真结果表明,所提控制策略可实现并网无冲击电流、电压平滑并网,且风光储共用直流母线电压稳定在900V,为风光储微电网的实际应用提供了理论支持与技术参考。

关键词:下垂控制;风光储微电网;一次调频;并离网切换;仿真控制

一、引言

随着全球能源需求的持续增长以及传统化石能源的日益枯竭,开发利用可再生能源已成为实现能源可持续发展的关键。微电网作为一种将分布式能源(如太阳能、风能等)、储能装置以及负荷有机整合的小型发配电系统,具有灵活高效、清洁环保等优势,能够有效提高可再生能源的利用率和供电可靠性。下垂控制策略作为微电网控制的核心技术之一,因其无需通信协调、可实现分布式电源的自主功率分配等优点,在微电网运行控制中得到了广泛应用。

风光储微电网结合了风力发电、光伏发电和储能系统的优势,能够充分发挥可再生能源的潜力,同时通过储能系统的调节作用,有效解决风光发电的间歇性和波动性问题。然而,风光储微电网在并离网切换过程中,由于控制方式的转变,容易出现电压畸变、电流冲击等问题,影响系统的稳定运行和电能质量。因此,研究基于下垂控制策略的风光储微电网协调仿真控制,实现一次调频与并离网平滑切换,具有重要的理论意义和实际应用价值。

二、仿真模型构建

2.1 系统总体架构

本研究构建的风光储微电网仿真模型主要由风力发电系统、光伏发电系统、储能系统、逆变器、负荷以及监控与保护装置等部分组成。风光储系统共用直流母线,通过逆变器将直流电转换为交流电,为负荷供电。系统具备并网和孤岛两种运行模式,并可通过控制策略实现两种模式之间的平滑切换。

2.2 逆变器下垂控制模型

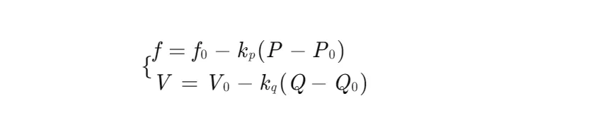
下垂控制通过模拟传统同步发电机的外特性,建立分布式电源输出功率与频率、电压之间的下垂关系,实现功率的自动分配和无通信协调控制。在三相逆变器中,下垂控制数学模型可表示为:

image.gif 编辑

其中,f为逆变器输出频率,f0为额定频率,kp为有功 - 频率下垂系数,P为实际输出有功功率,P0为额定有功功率,V为逆变器输出电压幅值,V0为额定电压幅值,kq为无功 - 电压下垂系数,Q为实际输出无功功率,Q0为额定无功功率。

2.3 孤岛运行控制模型

当微电网处于孤岛运行模式时,失去大电网的支撑,需要依靠分布式电源和储能系统维持内部的功率平衡和电压频率稳定。此时,储能系统作为主电源,采用恒压恒频(V/F)控制策略,为微电网提供稳定的电压和频率参考;风力发电和光伏发电系统作为从电源,采用最大功率点跟踪(MPPT)控制策略,尽可能多地输出电能。

2.4 预同步并网控制模型

预同步并网控制是实现微电网由孤岛模式平滑切换到并网模式的关键环节。在并网前,需要对微电网母线电压与配电网电压进行预处理,包括电压幅值补偿和相位补偿,使两者在幅值、相位和频率上达到一致,避免并网时产生冲击电流。

2.4.1 电压幅值补偿

通过检测微电网母线与配电网的电压幅值差,利用比例 - 积分(PI)控制器生成电压补偿量,调整逆变器输出电压幅值,使微电网母线电压幅值与配电网电压幅值相等。

2.4.2 相位补偿

采用二阶锁相环(PLL)技术跟踪配电网电压相位,将检测到的相位差通过PI控制器生成频率补偿量,调整逆变器输出频率,使微电网母线电压相位与配电网电压相位同步。当两者相位差小于预设值时,认为预同步完成,可进行并网操作。

2.5 电压电流双闭环控制模型

为了进一步提高逆变器输出电能质量,采用电压电流双闭环控制策略。电压外环采用比例 - 谐振(PR)控制器,实现对逆变器输出电压的精确控制;电流内环采用比例 - 积分(PI)控制器,提高系统的动态响应速度和抗干扰能力。

2.6 风光储共用直流母线模型

风光储系统共用直流母线,直流母线电压的稳定对于系统的正常运行至关重要。通过合理设计风力发电、光伏发电和储能系统的控制策略,确保直流母线电压稳定在900V。风力发电和光伏发电系统根据光照强度和风速变化调整输出功率,储能系统根据直流母线电压和负荷需求进行充放电控制,维持直流母线电压的稳定。

三、仿真结果与分析

3.1 一次调频仿真结果

在仿真过程中,通过改变负荷功率,模拟系统频率的变化。仿真结果表明,采用下垂控制策略的微电网能够实现一次调频功能。当负荷增加时,系统频率下降,分布式电源根据下垂特性自动增加输出功率,使系统频率逐渐恢复到额定值;当负荷减少时,系统频率上升,分布式电源自动减少输出功率,维持系统频率稳定。

3.2 并离网切换仿真结果

3.2.1 孤岛转并网

在孤岛运行模式下,微电网稳定运行一段时间后,进行并网操作。通过预同步控制,使微电网母线电压与配电网电压在幅值、相位和频率上达到一致。仿真结果显示,并网瞬间电流冲击峰值小于1.5p.u.,持续时间小于1ms,电压平滑并网,实现了孤岛到并网的平滑切换。

3.2.2 并网转孤岛

当大电网出现故障或需要微电网独立运行时,进行离网操作。通过检测电网电压和频率,当满足离网条件时,迅速断开并网开关,微电网进入孤岛运行模式。仿真结果表明,离网过渡过程中电压跌落小于10%,恢复时间小于200ms,频率振荡衰减率大于40dB/s,无持续振荡,实现了并网到孤岛的平滑切换。

3.3 直流母线电压稳定性仿真结果

在风光储微电网运行过程中,对直流母线电压进行监测。仿真结果显示,无论在并网还是孤岛运行模式下,风光储系统通过合理的功率分配和储能系统的充放电控制,能够使直流母线电压稳定在900V,波动范围小于±5V,满足了系统对直流母线电压稳定性的要求。

四、结论

本文基于下垂控制策略构建了风光储微电网协调仿真模型,实现了一次调频与并离网切换功能。通过逆变器下垂控制、孤岛运行控制、预同步并网控制、电压电流双闭环控制以及风光储共用直流母线控制等关键技术的研究与应用,仿真结果表明所提控制策略能够有效解决风光储微电网在并离网切换过程中出现的电压畸变、电流冲击等问题,实现并网无冲击电流、电压平滑并网,且风光储共用直流母线电压稳定在900V。本研究为风光储微电网的实际应用提供了理论支持和技术参考,有助于推动微电网技术的发展和能源的可持续发展。

📚第二部分——运行结果

新能源专题(九)基于下垂控制策略的风光储微电网协调仿真控制(仿真模型+参考文献)(含一次调频+并离网切换))

image.gif 编辑

image.gif 编辑

image.gif 编辑

image.gif 编辑

image.gif 编辑

image.gif 编辑

image.gif 编辑

🎉第三部分——参考文献

文章中一些内容引自网络,会注明出处或引用为参考文献,难免有未尽之处,如有不妥,请随时联系删除。(文章内容仅供参考,具体效果以运行结果为准)

🌈第四部分——本文完整资源下载

资料获取,更多粉丝福利,MATLAB|Simulink|Python|数据|文档等完整资源获取

                                                          image.gif 编辑

资料获取,更多粉丝福利,MATLAB|Simulink|Python资源获取【请看主页然后私信】

相关文章
|
23天前
|
JavaScript API 开发工具
2026年阿里云OpenClaw(Clawdbot)部署简单步骤教程
在AI自动化办公全面普及的2026年,OpenClaw(前身为Clawdbot、Moltbot)凭借自然语言指令操控、多任务自动化执行、多平台适配的核心优势,成为个人与中小企业搭建专属AI助手的首选开源轻量级工具。它不仅能高效完成文档生成、文件解析、服务器运维、日程管理、代码生成等基础办公任务,更可通过阿里云一键部署实现7×24小时稳定运行,搭配2026年最新汉化版全中文界面,彻底解决了原版英文操作门槛高的痛点,让零基础用户也能快速上手,真正实现解放双手、提升协作效率的核心需求。
323 13
|
23天前
|
存储 缓存 并行计算
大模型应用:LlamaIndex 与 LangChain 深度集成构建本地化RAG系统.25
本文详解LlamaIndex与LangChain协同构建本地化RAG系统:以Qwen1.5-1.8B-Chat为基座,通过轻量化验证与工程化落地两阶段示例,实现文档索引、语义检索、提示编排与问答生成全链路本地化,兼顾准确性、可控性与可扩展性。
253 11
|
23天前
|
人工智能 API 网络安全
2026年OpenClaw零基础部署指南+官方Skills全解析:1条命令解锁全能AI助手
在AI工具从“聊天交互”向“落地执行”升级的2026年,OpenClaw(原Clawdbot)凭借其开放的技能生态脱颖而出——ClawHub官方技能平台汇集了数千款覆盖办公协作、内容创作、开发工具、智能家居等30+领域的Skills,让AI真正成为“全能执行者”。而阿里云推出的专属一键部署方案,更是打破了技术门槛,让零基础用户20分钟即可搭建稳定运行环境,通过简单命令安装技能,轻松实现密码管理、邮件处理、视频编辑等多样化需求。
1339 10
|
23天前
|
人工智能 自然语言处理 运维
2026年阿里云OpenClaw(Clawdbot)海外部署+Slack深度接入全指南
在全球化协作日益频繁的2026年,OpenClaw(原Clawdbot)作为企业级AI自动化代理工具,凭借**跨平台协作、轻量化部署、插件化扩展**三大核心优势,成为远程办公、跨国团队协作场景下的效率利器。2026年阿里云重磅推出OpenClaw专属海外云端部署方案,深度适配Slack在海外企业协作场景的高渗透率,实现“Slack频道/私信下达自然语言指令,阿里云海外服务器运行的OpenClaw自动执行自动化任务”的高效协作模式,彻底解决跨境网络不稳定、本地部署易断联、多语言协作障碍等痛点。
487 11
|
12天前
|
人工智能 安全 机器人
AI智能体的开发费用
AI智能体开发已分级定价:轻量级5–15万(单场景MVP),中级20–60万(多步工作流),企业级100万+(多Agent协同+合规部署)。成本聚焦架构编排、工具集成、提示工程与安全评估,另含Token消耗、算力及数据治理等隐性支出。建议先做PoC验证效果。
|
21天前
|
人工智能 自然语言处理 API
2026年OpenClaw(Clawdbot)零基础接入WhatsApp保姆级教程
在2026年AI自动化办公与跨境沟通需求双重爆发的当下,OpenClaw(原Clawdbot、曾用名Moltbot)凭借“自然语言驱动、全场景任务自动化、多终端无缝适配”的核心优势,成为个人办公提效、跨境团队协同、轻量客户服务的优选工具。作为GitHub星标量超19万的开源AI自动化代理平台,它打破了传统AI仅能对话的局限,真正实现“能听指令、能做实事”——无论是文档生成、日程提醒、文件整理,还是联网搜索、简单代码开发、跨工具协同,只需一句口语化指令,就能自动完成全流程操作,无需手动干预,完美适配现代办公与跨境沟通的高效需求。
490 19
|
26天前
|
移动开发 JavaScript 前端开发
文件16进制查看器核心JS实现
本文介绍基于 Vue 3 + Nuxt 3 实现的纯前端文件十六进制查看器:无需上传,直接在浏览器中读取任意文件(含二进制),通过 `FileReader` 解析为 `Uint8Array`,并提供格式化(空格/换行/大写)的 Hex 展示与 `.hex` 文件导出功能。
88 14
文件16进制查看器核心JS实现
|
2月前
|
人工智能 关系型数据库 Serverless
2 天,用函数计算 AgentRun 爆改一副赛博朋克眼镜
2 天将吃灰的 Meta 眼镜改造成“交警Copilot”:通过阿里云函数计算 AgentRun 实现端-管-云协同,利用 Prompt 驱动交通规则判断,结合 OCR 与数据库查询,打造可动态扩展的智能执法原型,展现 Agent 架构在真实场景中的灵活与高效。
390 45
|
23天前
|
人工智能 分布式计算 大数据
全球生成式AI “领导者” ——阿里云,中国AI云市场份额超过2-4名总和
阿里云以35.8%的中国AI云市场份额稳居第一,远超第二至第四名总和;全栈自研“云+大模型+芯片”,通义千问成全球下载量最大开源大模型;亚太唯一在生成式AI四大领域均获最高评级的云厂商,正加速定义全球AI基础设施标准。
237 12
|
23天前
|
人工智能 分布式计算 大数据
碾压级优势!阿里云AI云市场份额超过2-4名总和,2026新晋AI时代”领导者“
阿里云以35.8%的中国AI云市场份额稳居第一,远超第二至第四名总和,是亚太唯一在生成式AI四大领域均获最高评级的云服务商。全栈自研“云+大模型+芯片”,通义千问成全球第一开源大模型,下载超6亿次。

热门文章

最新文章