环境振动估算阻尼比 (SDOF)研究(Matlab代码实现)

简介: 环境振动估算阻尼比 (SDOF)研究(Matlab代码实现)

👨‍🎓个人主页

💥💥💞💞欢迎来到本博客❤️❤️💥💥

🏆博主优势:🌞🌞🌞博客内容尽量做到思维缜密,逻辑清晰,为了方便读者。

⛳️座右铭:行百里者,半于九十。

💥1 概述

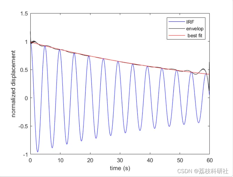
如果单自由度(SDOF)系统的自由衰减响应(FDR)不能直接获得,则可以使用环境振动数据来估计模态阻尼比。这里使用了随机递减技术(RDT)[1]以及自然激发技术(NExT)[2]。首先,使用[3]在时域中模拟SDOF对白噪声的响应。然后使用 RDT 或 NExT 计算 IRF。最后,将指数衰减拟合到IRF的包络上,得到模态阻尼比。

环境振动估算阻尼比(SDOF)研究

一、研究背景与意义

阻尼比是描述系统能量耗散特性的关键参数,直接影响结构的振动响应、共振振幅及动力稳定性。在工程结构动力学与振动控制领域,准确估算阻尼比对于理解结构物的动力响应、评估其抵抗振动的能力以及预测其长期服役性能至关重要。传统的阻尼比测量方法通常需要施加人为激励,如激振器激振或冲击锤敲击,但在大型结构物或难以接近的结构物上,施加人为激励往往存在困难,且可能对结构物本身造成损伤。因此,利用环境振动信号(如自然风荷载、地面脉动、设备运行扰动等随机激励产生的振动)估算阻尼比,具有无需人工施加激励、不干扰结构正常运行、适用于大型或现役结构等显著优势,已成为结构动态特性识别的重要手段。

二、SDOF系统振动特性与阻尼比物理意义

单自由度(SDOF)系统是指仅需一个独立坐标即可描述运动状态的简化模型,如简支梁的一阶振动、悬臂结构的横向振动等。环境振动作为一种随机激励,其信号具有宽频带、非平稳、低幅值等特点,对应的SDOF系统响应同样表现为随机过程。与脉冲或正弦激励下的响应不同,环境振动响应不含明显的瞬态衰减过程,需通过功率谱分析、自相关函数等统计方法提取振动特性。

阻尼比表征了结构物能量耗散的能力,其物理意义在于:

  1. 表征结构物抵抗振动的能力:阻尼比越大,结构物的能量耗散能力越强,受到外部激励时产生的振动响应越小。
  2. 直接影响结构的共振峰值和振动衰减速度:阻尼比的变化可以反映结构物的损伤程度,例如材料疲劳、连接松动等。

三、环境振动信号特性与数据预处理

  1. 信号采集:环境振动信号通常通过加速度传感器采集,因为加速度响应信噪比更高,便于后续分析。采样频率需满足奈奎斯特准则,通常为系统最高固有频率的3-5倍,对于土木结构,采样频率一般取10-100 Hz。
  2. 预处理步骤
  • 去趋势:消除信号中的线性或多项式趋势项,如温度变化导致的结构缓慢变形,可通过最小二乘法拟合趋势并减去实现。
  • 滤波:采用带通滤波器去除低频干扰(如传感器漂移)和高频噪声(如电子噪声),保留目标频段(围绕系统固有频率)的信号。
  • 去噪:对于含突发噪声的信号,可采用小波阈值去噪或奇异值分解(SVD)方法,在保留有效振动信息的同时抑制噪声。
  1. 平稳性检验:环境振动信号可能因激励源变化(如阵风、车流突变)呈现非平稳特性,而多数阻尼比估算方法基于平稳随机过程假设。常用的平稳性检验方法包括视觉检查(观察信号时域波形,若振幅和频率成分无明显趋势性变化,则近似为平稳)、统计检验(计算不同时间段的均值和方差,若差异在允许范围内,则认为平稳)以及功率谱估计(采用短时傅里叶变换(STFT)分析功率谱随时间的变化,若谱峰位置和幅值稳定,则满足平稳性)。

四、基于环境振动的阻尼比估算方法

  1. 峰值法
  • 原理:基于结构传递函数的峰值与阻尼比之间的关系。通过传感器采集结构物在环境激励下的振动响应数据,对采集到的时域信号进行快速傅里叶变换(FFT)等频谱分析,得到结构的功率谱密度(PSD)函数或传递函数。在频谱图上识别结构的固有频率,即峰值对应的频率。利用峰值与背景噪声的比值来估算阻尼比。
  • 优点:方法简单,计算量小,易于实现。
  • 缺点:精度较低,受噪声影响较大。背景噪声的准确估计是关键,在噪声较大的情况下,峰值法可能失效。另外,该方法假设频谱峰值形状接近理想的洛伦兹曲线,在实际应用中,这种假设可能不成立。
  • 适用场景:适用于环境激励强度较强、噪声水平较低、结构响应清晰的简单结构。
  1. 半功率带宽法
  • 原理:基于结构传递函数峰值附近频率的带宽与阻尼比之间的关系。通过传感器采集结构物在环境激励下的振动响应数据,对采集到的时域信号进行快速傅里叶变换(FFT)等频谱分析,得到结构的功率谱密度(PSD)函数或传递函数。在频谱图上识别结构的固有频率,即峰值对应的频率。在峰值两侧找到功率谱密度下降到峰值一半的两个频率点,分别记为f1和f2。计算阻尼比:ζ≈ (f2 - f1) / (2 * fn),其中fn为结构的固有频率。
  • 优点:精度相对较高,比峰值法更可靠。对噪声的敏感性低于峰值法。
  • 缺点:对频谱分辨率要求较高,需要准确识别半功率点。
  • 适用场景:适用于频谱分辨率较高、峰值形状较好的结构。
  1. 频域分解法(FDD)
  • 原理:基于奇异值分解(SVD)的模态参数识别方法。其基本思想是将结构在环境激励下的响应信号进行频谱分析,然后对每个频率点的功率谱密度矩阵进行奇异值分解,从而识别结构的固有频率、振型和阻尼比。通过多个传感器采集结构物在环境激励下的振动响应数据,利用采集到的多通道时域信号,计算结构的功率谱密度矩阵。对每个频率点的功率谱密度矩阵进行奇异值分解,得到奇异值和奇异向量。通过观察奇异值谱,识别结构的固有频率,即奇异值谱中的峰值对应的频率。与固有频率对应的奇异向量可以近似作为结构的振型。采用曲线拟合的方法,将奇异值谱在固有频率附近的曲线拟合为单自由度体系的频率响应函数,然后利用半功率带宽法或更复杂的曲线拟合方法来估算阻尼比。
  • 优点:可以同时识别多个模态参数,包括固有频率、振型和阻尼比。对噪声具有一定的鲁棒性。
  • 缺点:计算量较大,需要多个传感器进行数据采集。阻尼比的估算精度受曲线拟合方法的影响较大。在模态密集的情况下,FDD方法可能难以准确分离各个模态。
  • 适用场景:适用于需要识别多个模态参数、数据采集较为方便的结构。
  1. 随机子空间辨识法(SSI)
  • 原理:基于状态空间模型的模态参数识别方法。该方法首先将结构的动力学方程转化为状态空间模型,然后利用状态空间模型的观测数据来辨识系统的模态参数,包括固有频率、振型和阻尼比。通过传感器采集结构物在环境激励下的振动响应数据,利用采集到的时域信号,构建观测矩阵。利用随机子空间辨识算法(例如Unweighted Principal Component, UPCA; Canonical Variate Analysis, CVA; or Balanced Realization, BR)辨识状态空间模型。从辨识得到的状态空间模型中提取结构的模态参数,包括固有频率、振型和阻尼比。
  • 优点:对噪声具有较强的鲁棒性,可以在噪声较大的环境下准确识别模态参数。能够处理非平稳环境激励下的结构响应。
  • 缺点:计算量较大,需要较多的数据样本。算法的复杂度较高,需要一定的理论基础。
  • 适用场景:适用于噪声较大、环境激励非平稳的复杂结构。

五、研究挑战与未来展望

  1. 非平稳环境振动下的阻尼比识别:实际环境振动信号往往具有非平稳特性,如何从非平稳信号中准确提取阻尼比是当前研究的一个难点。
  2. 多传感器数据融合方法:利用多个传感器采集的数据进行融合处理,可以提高阻尼比估算的精度和鲁棒性。
  3. 极端环境下的阻尼特性变化规律:研究结构在强风、地震等极端环境下的阻尼特性变化规律,对于结构的安全评估和抗震设计具有重要意义。

📚2 运行结果

clf;close all;

figure

subplot(211)

plot(t,y)

xlabel('time (s)')

ylabel(' displ (m)')

subplot(212)

pwelch(y,[],[],[],1/dt)

set(gcf,'color','w')

image.gif 编辑

clf;close all;

figure

hold on; box on;

plot(newT,IRF,'b',newT,envelop,'k');

xlabel('time (s)')

ylabel('normalized displacement')

xlim([0,Ts])

set(gcf,'color','w')

image.gif 编辑

clf;close all;

figure

hold on; box on;

plot(newT,IRF,'b',newT,envelop,'k');

xlabel('time (s)')

ylabel('normalized displacement')

set(gcf,'color','w')

image.gif 编辑

clf;close all;

figure

hold on; box on;

plot(newT,IRF,'b',newT,envelop,'k');

xlabel('time (s)')

ylabel('normalized displacement')

set(gcf,'color','w')

image.gif 编辑

🎉3 参考文献

部分理论来源于网络,如有侵权请联系删除。

[1] Ibrahim, S. R. (1977). Random decrement technique for modal identification of structures. Journal of Spacecraft and Rockets, 14(11), 696-700.

[2] James III, O. H., & Came, T. G. (1995). The natural excitation technique (next) for modal parameter extraction from operating structures.

🌈4 Matlab代码实现

资料获取,更多粉丝福利,MATLAB|Simulink|Python资源获取【请看主页然后私信】

相关文章
|
19天前
|
人工智能 自然语言处理 Shell
🦞 如何在 OpenClaw (Clawdbot/Moltbot) 配置阿里云百炼 API
本教程指导用户在开源AI助手Clawdbot中集成阿里云百炼API,涵盖安装Clawdbot、获取百炼API Key、配置环境变量与模型参数、验证调用等完整流程,支持Qwen3-max thinking (Qwen3-Max-2026-01-23)/Qwen - Plus等主流模型,助力本地化智能自动化。
32003 115
🦞 如何在 OpenClaw (Clawdbot/Moltbot) 配置阿里云百炼 API
|
8天前
|
应用服务中间件 API 网络安全
3分钟汉化OpenClaw,使用Docker快速部署启动OpenClaw(Clawdbot)教程
2026年全新推出的OpenClaw汉化版,是基于Claude API开发的智能对话系统本土化优化版本,解决了原版英文界面的使用壁垒,实现了界面、文档、指令的全中文适配。该版本采用Docker容器化部署方案,开箱即用,支持Linux、macOS、Windows全平台运行,适配个人、企业、生产等多种使用场景,同时具备灵活的配置选项和强大的扩展能力。本文将从项目简介、部署前准备、快速部署、详细配置、问题排查、监控维护等方面,提供完整的部署与使用指南,文中包含实操代码命令,确保不同技术水平的用户都能快速落地使用。
4683 4
|
14天前
|
人工智能 安全 机器人
OpenClaw(原 Clawdbot)钉钉对接保姆级教程 手把手教你打造自己的 AI 助手
OpenClaw(原Clawdbot)是一款开源本地AI助手,支持钉钉、飞书等多平台接入。本教程手把手指导Linux下部署与钉钉机器人对接,涵盖环境配置、模型选择(如Qwen)、权限设置及调试,助你快速打造私有、安全、高权限的专属AI助理。(239字)
6732 18
OpenClaw(原 Clawdbot)钉钉对接保姆级教程 手把手教你打造自己的 AI 助手
|
13天前
|
人工智能 机器人 Linux
OpenClaw(Clawdbot、Moltbot)汉化版部署教程指南(零门槛)
OpenClaw作为2026年GitHub上增长最快的开源项目之一,一周内Stars从7800飙升至12万+,其核心优势在于打破传统聊天机器人的局限,能真正执行读写文件、运行脚本、浏览器自动化等实操任务。但原版全英文界面对中文用户存在上手门槛,汉化版通过覆盖命令行(CLI)与网页控制台(Dashboard)核心模块,解决了语言障碍,同时保持与官方版本的实时同步,确保新功能最快1小时内可用。本文将详细拆解汉化版OpenClaw的搭建流程,涵盖本地安装、Docker部署、服务器远程访问等场景,同时提供环境适配、问题排查与国内应用集成方案,助力中文用户高效搭建专属AI助手。
4728 11
|
15天前
|
人工智能 机器人 Linux
保姆级 OpenClaw (原 Clawdbot)飞书对接教程 手把手教你搭建 AI 助手
OpenClaw(原Clawdbot)是一款开源本地AI智能体,支持飞书等多平台对接。本教程手把手教你Linux下部署,实现数据私有、系统控制、网页浏览与代码编写,全程保姆级操作,240字内搞定专属AI助手搭建!
5640 20
保姆级 OpenClaw (原 Clawdbot)飞书对接教程 手把手教你搭建 AI 助手
|
15天前
|
存储 人工智能 机器人
OpenClaw是什么?阿里云OpenClaw(原Clawdbot/Moltbot)一键部署官方教程参考
OpenClaw是什么?OpenClaw(原Clawdbot/Moltbot)是一款实用的个人AI助理,能够24小时响应指令并执行任务,如处理文件、查询信息、自动化协同等。阿里云推出的OpenClaw一键部署方案,简化了复杂配置流程,用户无需专业技术储备,即可快速在轻量应用服务器上启用该服务,打造专属AI助理。本文将详细拆解部署全流程、进阶功能配置及常见问题解决方案,确保不改变原意且无营销表述。
6189 5
|
11天前
|
人工智能 JavaScript 安全
Claude Code 安装指南
Claude Code 是 Anthropic 推出的本地 AI 编程助手,支持 Mac/Linux/WSL/Windows 多平台一键安装(Shell/PowerShell/Homebrew/NPM),提供 CLI 交互、代码生成、审查、Git 提交等能力,并内置丰富斜杠命令与自动更新机制。
4134 0
|
17天前
|
人工智能 JavaScript 应用服务中间件
零门槛部署本地AI助手:Windows系统Moltbot(Clawdbot)保姆级教程
Moltbot(原Clawdbot)是一款功能全面的智能体AI助手,不仅能通过聊天互动响应需求,还具备“动手”和“跑腿”能力——“手”可读写本地文件、执行代码、操控命令行,“脚”能联网搜索、访问网页并分析内容,“大脑”则可接入Qwen、OpenAI等云端API,或利用本地GPU运行模型。本教程专为Windows系统用户打造,从环境搭建到问题排查,详细拆解全流程,即使无技术基础也能顺利部署本地AI助理。
7745 17