基于 MATLAB 的电力系统动态分析研究【IEEE9、IEEE68系节点】​

简介: 基于 MATLAB 的电力系统动态分析研究【IEEE9、IEEE68系节点】​

💥💥💞💞欢迎来到本博客❤️❤️💥💥

🏆博主优势:🌞🌞🌞博客内容尽量做到思维缜密,逻辑清晰,为了方便读者。

⛳️座右铭:行百里者,半于九十。

💥1 概述

本文介绍了为电力系统动态分析开发的基于 MATLAB 的程序。可以获得时域仿真、系统线性化、模态分析、参与因子分析和可视化、控制器的优化放置、反馈信号选择、频率响应分析和控制设计。除了解决电力系统问题外,该软件包还提供模型在时域和状态空间中的符号和矢量化表示。该软件包充分利用了 MATLAB 强大的求解器的优势,用于求解非刚性和刚性问题。显式和隐式技术都用于求解微分代数方程 (DAE)。假设同步电机配备了励磁器、涡轮和稳定器。负载可以建模为电压相关负载和独立负载。本文使用的测试系统是IEEE 9节点和68节点系统,以及德克萨斯州的2007节点合成电源系统。不同类型的干扰应用于系统,包括发电机侧和网络侧干扰。

以下是基于MATLAB的电力系统动态分析研究文档,涵盖IEEE 9节点和IEEE 68节点系统的建模、仿真及动态分析研究。内容整合了多篇文献的核心信息,并结合MATLAB工具链的应用方法。


一、IEEE 9节点系统与IEEE 68节点系统的基本结构及参数

1. IEEE 9节点系统

  • 拓扑结构 IEEE 9节点系统是电力系统研究的经典基准模型,由3台发电机(G1、G2、G3)、3个负荷节点(PQ节点)、3台变压器和9个总线节点组成。其中:
  • 节点类型:包括平衡节点(松弛节点)、PV节点(电压控制节点)和PQ节点(负荷节点)。
  • 电压等级:发电机母线电压为13.8 kV~18 kV,变压器升压至230 kV。
  • 典型参数:基准容量为100 MVA,线路和变压器参数以标幺值表示。
  • 典型应用场景
  • 潮流计算:采用牛顿-拉弗森法或高斯-赛德尔法求解节点电压、功率分布。
  • 暂态稳定性分析:研究三相故障后发电机的转子角度振荡及临界清除时间。
  • 电压稳定性:通过PV和QV曲线分析系统在极限负荷下的稳定性。

2. IEEE 68节点系统

  • 拓扑结构 该系统规模更大,包含68个节点、16台发电机,其中:
  • 发电机模型:15台采用圆转子同步机模型和四型交流励磁器,1台作为电压源提供频率参考。
  • 方程复杂度:系统状态方程包含535个变量(92.1%为微分变量),雅可比矩阵非零元素仅占0.75%。
  • 动态特性:适用于大规模系统扰动后的机电暂态仿真及动态相量分析。

二、MATLAB在电力系统动态分析中的工具箱及方法

1. 核心工具箱

  • Simulink/Simscape Electrical 提供电力系统元件库(发电机、变压器、负荷等),支持图形化建模和时域仿真。
  • 应用示例:搭建IEEE 9节点系统模型,模拟三相故障后转子角度动态响应。
  • Power System Toolbox (PST) 提供潮流计算、小信号稳定性分析、暂态稳定性分析等功能。
  • 特色功能:支持自定义控制器(如PSS、SVC)的集成与优化。
  • PSAT
    开源工具箱,支持动态时域仿真和模态分析,适合含新能源的电力系统研究。
  • Matpower
    专注于潮流计算和最优潮流问题,支持大规模系统(如IEEE 68节点)的高效求解。

2. 动态分析方法

  • 时域仿真 通过求解微分代数方程(DAEs),模拟系统在故障或扰动下的动态行为。
  • 案例:在IEEE 68节点系统中施加三相短路故障,记录发电机频率和电压恢复过程。
  • 模态分析 计算系统特征值,识别主导振荡模式及参与因子。
  • 应用场景:分析IEEE 9节点系统中低频振荡的阻尼特性。
  • 控制器设计
    结合神经模糊控制器或传统PID,优化系统稳定性(如添加STATCOM改善电压稳定性)。

三、基于MATLAB的建模与仿真步骤

1. IEEE 9节点系统建模示例

  1. 数据导入
  • 从标准数据表(表1-表3)导入节点参数、线路阻抗及变压器变比。
% 示例:定义基准容量和节点电压
baseMVA = 100;
busdata = [1 1 0 0 0 0 1.04 0 230 1;
           2 2 0 0 0 0 1.025 0 18 1;
           ...]; % 节点参数表
  1. image.gif
  2. Simulink模型搭建
  • 使用Simscape Electrical模块构建发电机、变压器和负荷的矢量模型。
  • 设置初始条件(如发电机端电压VG1=1.04 pu)。
  1. 仿真配置
  • 选择ODE求解器(如ode23tb处理刚性方程),设置仿真时间步长(如0.01秒)。
  • 添加扰动(如5-7号线路在1秒时发生三相故障,持续0.1秒)。
  1. 结果分析
  • 绘制发电机转子角度曲线,判断临界清除时间(如1.033秒时角度差达106.487度)。
  • 计算线路功率损耗(牛顿-拉弗森法比高斯-赛德尔法精度更高)。

2. IEEE 68节点系统建模要点

  • 动态相量法(DP)
    采用可变步长算法加速仿真,比传统EMT方法快100倍以上。
  • 大规模系统优化
    使用Matpower进行最优潮流计算,结合并行计算提升效率。

四、动态分析研究案例

1. 暂态稳定性研究

  • IEEE 9节点系统
  • 故障位置影响:近发电机故障导致转子角度双峰振荡,需16秒恢复稳定。
  • 控制策略:添加DSTATCOM或动态电压恢复器(DVR)可缩短恢复时间。
  • IEEE 68节点系统
  • 扰动响应:不同故障位置激发的动态模式差异显著,需针对性设计阻尼控制器。

2. 电压稳定性与新能源接入

  • 静态无功补偿(SVC)
  • 在IEEE 9节点系统中,SVC可将电压波动控制在±5%以内。
  • 新能源场站调频
  • 基于动态模式分解(DMD)估计虚拟惯量,优化风电场在IEEE 68节点中的频率响应。

3. 算法对比与优化

  • 潮流计算:牛顿-拉弗森法收敛速度更快,但高斯-赛德尔法内存占用更低。
  • 动态相量法:在IEEE 68节点中,DP程序CPU时间仅为EMT仿真的1%。

五、结论与展望

  • MATLAB工具优势:通过Simulink和专用工具箱(如PSAT、Matpower),可高效完成从小型(IEEE 9)到大型(IEEE 68)系统的动态分析。
  • 未来方向:新能源高渗透场景下的动态特性研究、基于AI的控制器设计(如自适应神经模糊控制)。

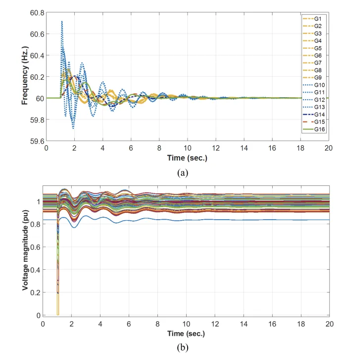
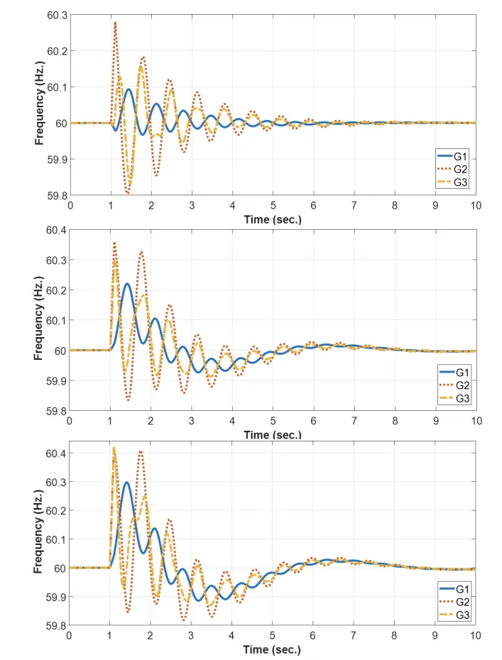
📚2 运行结果

2.1 IEEE9节点

image.gif 编辑

image.gif 编辑

image.gif 编辑

image.gif 编辑

image.gif 编辑

2.2 IEEE68节点

image.gif 编辑

image.gif 编辑

image.gif 编辑

部分代码:

%%%----------------------------% LL-1--------------------------------------

T1_LL1 = realp('T1_LL1',1);                     % T1 coefficient (name and initial value)

T2_LL1 = realp('T2_LL1',0.1);                   % T2 coefficient

T1_LL1.Minimum = 0.1;   T1_LL1.Maximum = 1;     % Set min-max values for T1

T2_LL1.Minimum = 0.01;  T2_LL1.Maximum = 0.1;   % Set min-max values for T2

T1_LL1.Free = true;

T2_LL1.Free = true;

LL1=tf([T1_LL1 1],[T2_LL1 1]);

%%%----------------------------% LL-2--------------------------------------

T3_LL2 = realp('T3_LL2',1);                     % T3 coefficient

T4_LL2 = realp('T4_LL2',0.1);                   % T4 coefficient

T3_LL2.Minimum = 0.1;   T3_LL2.Maximum = 1;     % Set min-max values for T3

T4_LL2.Minimum = 0.01;  T4_LL2.Maximum = 0.1;   % Set min-max values for T4

T3_LL2.Free = true;

T4_LL2.Free = true;

LL2=tf([T3_LL2 1],[T4_LL2 1]);

%%%--------------------------Washout---------------------------------------

Tw = realp('Tw',1);                             % Tw coefficient

Tw.Minimum = 1;   Tw.Maximum = 10;

Tw.Free = true;

WO=tf([Tw 0],[Tw 1]);

%%%--------------------------Gain------------------------------------------

Ck = realp('Ck',1);          

Ck.Minimum = 1;  Ck.Maximum = 50;

Kg=tf(Ck);

%%%==========================System tuning=================================

CL0 = feedback(LL1*LL2*Ck*G,1, -1);             % Closed-loop TF (with PSS)

CL0.InputName = 'ws';

CL0.OutputName = 'w';

Req1 = TuningGoal.Poles(0,0.2,Inf);             % [min decay, min damping ratio, max freq].

options = systuneOptions('Display','iter');

[CL,fSoft] = systune(CL0,Req1, options);

sys2=CL.Blocks;

OptimizedParam=[sys2.T1_LL1 sys2.T2_LL1  sys2.T3_LL2 sys2.T4_LL2 sys2.Ck]; OptimizedParam=double(OptimizedParam);

figure (1)

viewGoal(Req1,CL); xlim([-50 1]); hold on;      % Plot the results with the desired goal to check if it is satisfactory

%=================================END======================================

 

🎉3 参考文献

文章中一些内容引自网络,会注明出处或引用为参考文献,难免有未尽之处,如有不妥,请随时联系删除。(文章内容仅供参考,具体效果以运行结果为准)

image.gif 编辑

🌈4 Matlab代码、数据、文章

资料获取,更多粉丝福利,MATLAB|Simulink|Python资源获取【请看主页然后私信】

相关文章
|
15天前
|
人工智能 自然语言处理 Shell
🦞 如何在 OpenClaw (Clawdbot/Moltbot) 配置阿里云百炼 API
本教程指导用户在开源AI助手Clawdbot中集成阿里云百炼API,涵盖安装Clawdbot、获取百炼API Key、配置环境变量与模型参数、验证调用等完整流程,支持Qwen3-max thinking (Qwen3-Max-2026-01-23)/Qwen - Plus等主流模型,助力本地化智能自动化。
29150 101
🦞 如何在 OpenClaw (Clawdbot/Moltbot) 配置阿里云百炼 API
|
4天前
|
应用服务中间件 API 网络安全
3分钟汉化OpenClaw,使用Docker快速部署启动OpenClaw(Clawdbot)教程
2026年全新推出的OpenClaw汉化版,是基于Claude API开发的智能对话系统本土化优化版本,解决了原版英文界面的使用壁垒,实现了界面、文档、指令的全中文适配。该版本采用Docker容器化部署方案,开箱即用,支持Linux、macOS、Windows全平台运行,适配个人、企业、生产等多种使用场景,同时具备灵活的配置选项和强大的扩展能力。本文将从项目简介、部署前准备、快速部署、详细配置、问题排查、监控维护等方面,提供完整的部署与使用指南,文中包含实操代码命令,确保不同技术水平的用户都能快速落地使用。
3995 0
|
10天前
|
人工智能 安全 机器人
OpenClaw(原 Clawdbot)钉钉对接保姆级教程 手把手教你打造自己的 AI 助手
OpenClaw(原Clawdbot)是一款开源本地AI助手,支持钉钉、飞书等多平台接入。本教程手把手指导Linux下部署与钉钉机器人对接,涵盖环境配置、模型选择(如Qwen)、权限设置及调试,助你快速打造私有、安全、高权限的专属AI助理。(239字)
5771 16
OpenClaw(原 Clawdbot)钉钉对接保姆级教程 手把手教你打造自己的 AI 助手
|
9天前
|
人工智能 机器人 Linux
OpenClaw(Clawdbot、Moltbot)汉化版部署教程指南(零门槛)
OpenClaw作为2026年GitHub上增长最快的开源项目之一,一周内Stars从7800飙升至12万+,其核心优势在于打破传统聊天机器人的局限,能真正执行读写文件、运行脚本、浏览器自动化等实操任务。但原版全英文界面对中文用户存在上手门槛,汉化版通过覆盖命令行(CLI)与网页控制台(Dashboard)核心模块,解决了语言障碍,同时保持与官方版本的实时同步,确保新功能最快1小时内可用。本文将详细拆解汉化版OpenClaw的搭建流程,涵盖本地安装、Docker部署、服务器远程访问等场景,同时提供环境适配、问题排查与国内应用集成方案,助力中文用户高效搭建专属AI助手。
4169 9
|
11天前
|
人工智能 机器人 Linux
保姆级 OpenClaw (原 Clawdbot)飞书对接教程 手把手教你搭建 AI 助手
OpenClaw(原Clawdbot)是一款开源本地AI智能体,支持飞书等多平台对接。本教程手把手教你Linux下部署,实现数据私有、系统控制、网页浏览与代码编写,全程保姆级操作,240字内搞定专属AI助手搭建!
5241 17
保姆级 OpenClaw (原 Clawdbot)飞书对接教程 手把手教你搭建 AI 助手
|
11天前
|
存储 人工智能 机器人
OpenClaw是什么?阿里云OpenClaw(原Clawdbot/Moltbot)一键部署官方教程参考
OpenClaw是什么?OpenClaw(原Clawdbot/Moltbot)是一款实用的个人AI助理,能够24小时响应指令并执行任务,如处理文件、查询信息、自动化协同等。阿里云推出的OpenClaw一键部署方案,简化了复杂配置流程,用户无需专业技术储备,即可快速在轻量应用服务器上启用该服务,打造专属AI助理。本文将详细拆解部署全流程、进阶功能配置及常见问题解决方案,确保不改变原意且无营销表述。
5703 5
|
13天前
|
人工智能 JavaScript 应用服务中间件
零门槛部署本地AI助手:Windows系统Moltbot(Clawdbot)保姆级教程
Moltbot(原Clawdbot)是一款功能全面的智能体AI助手,不仅能通过聊天互动响应需求,还具备“动手”和“跑腿”能力——“手”可读写本地文件、执行代码、操控命令行,“脚”能联网搜索、访问网页并分析内容,“大脑”则可接入Qwen、OpenAI等云端API,或利用本地GPU运行模型。本教程专为Windows系统用户打造,从环境搭建到问题排查,详细拆解全流程,即使无技术基础也能顺利部署本地AI助理。
7518 16
|
13天前
|
人工智能 JavaScript API
零门槛部署本地 AI 助手:Clawdbot/Meltbot 部署深度保姆级教程
Clawdbot(Moltbot)是一款智能体AI助手,具备“手”(读写文件、执行代码)、“脚”(联网搜索、分析网页)和“脑”(接入Qwen/OpenAI等API或本地GPU模型)。本指南详解Windows下从Node.js环境搭建、一键安装到Token配置的全流程,助你快速部署本地AI助理。(239字)
5143 22