一分钟训练搞懂 DPPO:把扩散过程建模为 MDP 的强化学习方法

简介: 本文以二维环形环境为简化平台,探究DPPO(扩散策略策略优化)算法的训练机制:将扩散去噪过程建模为MDP,用PPO微调单条轨迹,分析KL约束、微调步数、eps clip与学习率等对行为分布与收敛性的影响,揭示RL+扩散在机器人策略优化中的关键挑战与设计权衡。

机器人领域的专家轨迹、互联网上的文本图像视频,这些数据让生成模型在机器人操控、语言生成与规划、视觉理解等任务上取得了惊人效果。但问题来了:换到具体任务上这些模型往往不太行。这是因为LLM 需要微调才能遵守安全约束或符合人类偏好,机器人策略也得继续训练才能弥补演示数据的不足。

扩散模型和流模型已经成为生成任务的主流方法,强化学习则是任务层面追求最优性能的老路子。两者结合就有了 DDPO、DPPO、FPO、Flow-GRPO 这些工作。这类方法普遍在数十亿参数、图像文本这种高维环境下运行,所以我们换个思路:在一个二维简单环境里研究训练细节,只优化单条去噪轨迹。

这个环境训练不到一分钟,计算资源几乎可以忽略。状态空间和动作空间都简单到指标没什么意义,不过真正有意思的是不同微调策略下涌现出来的视觉行为。虽然这里聚焦于 DPPO 和扩散策略(把数据当作"动作"),但微调动态完全可以推广到其他基于 RL 的扩散应用场景。

环境

定义一个"环形"高奖励区域,模型要学会把样本去噪到这个环的任意位置。观察点在于:模型会收敛到环上的某个模式,还是把样本均匀分布开?对环宽度的敏感程度如何?下面是一条去噪轨迹的例子:

期望行为:从随机初始化(噪声状态)走向高奖励区域,最后一步就是去噪完成的样本。

不过在开始之前我们先解释 DPPO 和相关术语,再尝试用这个算法优化扩散模型来生成高奖励样本。

DPPO 算法概述

DPPO 是 PPO 的变体,属于 on-policy 方法。核心思路是更新扩散模型参数让生成样本获得更高奖励。它把扩散过程建模成 MDP:每个扩散时间步是一个状态,动作就是"去噪",奖励来自最终的去噪状态。奖励通过蒙特卡洛估计传播回有噪声的时间步——也就是对完整回合的折扣回报求平均来估计期望累积奖励。DPPO 论文里这张图讲得很清楚:

外循环先做回合采样,存下每个扩散时间步的动作对数似然,加上状态、动作、奖励这些标配。内循环跑 K 个 epoch,用 PPO 风格的目标更新扩散模型参数。PPO 的细节网上讲得很多,下面只展开相关部分。内循环结束后,用新策略再采样一批回合。损失包含信任域策略更新、价值函数损失和探索用的熵项。为简化起见,这里只看上图中的"t=0"这一步,对应单条扩散轨迹。

算法 1. DDPO + DDIM 实现的伪代码。第 5 行的"动作"就是去噪一个样本。

步骤 1:回合采样

 state = env.reset()  

# (aside: action variance is learned)  
action_var = nn.Parameter(torch.full((2,), action_std_init * action_std_init))  

current_pos = state[:2]  

# in the rollout...  
with torch.no_grad():  
    # conditional noise prediction  
    pred_noise = policy.actor(current_pos, t)  
    # the "T-1" prediction is the next position in the denoising trajectory  
    action_mean = policy.ddim_step(pred_noise, t, current_pos)  
    dist = Normal(action_mean, action_var.sqrt())  

    # sample from distribution with learned noise  
    action = dist.sample()  
    action_log_prob = dist.log_prob(action).sum(dim=-1)  

next_state, reward, done = env.step(action)  

# store in Buffer  
 buffer.states.append(state, action, action_log_prob, reward, done)

这段代码对应 DPPO 论文公式 4.3。目前微调整个 DDIM 轨迹,后面会比较只微调最后几步的效果:

代码里去噪过程的每一步都被当作动作,这是 DPPO 内部 MDP 的关键。动作方差设为可学习参数,因为 DDIM 本身是确定性的,需要加探索噪声(公式里的 sigma)。

DDIM 步骤方法如下,求解概率流 ODE 得到去噪过程的前一步(参考伪代码里的公式)。这个操作必须可微,梯度才能流过去噪过程:loss → logprobs → dist → action → ddim_step → pred_noise → actor weights。噪声调度参数是预设好的。

 # DPPO differentiates through diffusion steps, so this needs to be differentiable  
def ddim_step(self, model_output, timestep, sample):  
    # Handle t-1 (if t=0, prev=0, but alpha_prev=1.0)  
    prev_timestep = torch.clamp(timestep - 1, min=0)  
    alpha_prod_t_prev = alphas_cumprod[prev_timestep].view(-1, 1)  
    alpha_prod_t = alphas_cumprod[timestep].view(-1, 1)  
    beta_prod_t = 1 - alpha_prod_t  

    # DDIM Formula  
    pred_original_sample = (sample - torch.sqrt(beta_prod_t) * model_output) / torch.sqrt(alpha_prod_t)  
    pred_sample_direction = torch.sqrt(1 - alpha_prod_t_prev) * model_output  
    prev_sample = torch.sqrt(alpha_prod_t_prev) * pred_original_sample + pred_sample_direction  

     return prev_sample

步骤 2:奖励缩放和 GAE

这部分基本是标准 PPO。跟踪运行统计量来归一化奖励,因为奖励方差太大会让价值函数训练不稳定。然后对缓冲区里所有状态跑一遍价值函数前向(不算梯度),用 GAE 从回报计算优势值,平衡偏差和方差。GAE 做的事情是给去噪过程中的"动作"分配功劳,价值函数则是为带噪声的状态建模这个功劳(注意输入里也带了扩散时间步)。

 # get values from buffer  
old_states = torch.cat(buffer.states, dim=0)  

# scale rewards using running statistics  
rewards_np = np.array(buffer.rewards)  
rewards_norm = (rewards_np - reward_scaler.mean) / (np.sqrt(reward_scaler.var) + 1e-8)  

# compute Values for GAE  
with torch.no_grad():  
    x_t = old_states[:, :2]  
    t_long = old_states[:, 2].long()  
    # Get values from critic  
    values = policy.critic(x_t, t_long)  

advantages = []  
last_gae_lam = 0  

# iterate backwards through the buffer  
# buffer.is_terminals tells us if the episode ended at that step  
for step in reversed(range(len(buffer.rewards))):  
    if step == len(buffer.rewards) - 1:  
        next_non_terminal = 1.0 - float(buffer.is_terminals[step])  
        next_val = next_value  
    else:  
        next_non_terminal = 1.0 - float(buffer.is_terminals[step])  
        next_val = values[step + 1].item()  

    # Delta = r + gamma * V(s') * mask - V(s)  
    delta = rewards_norm[step] + gamma * next_val * next_non_terminal - values[step]  

    # Advantage = Delta + gamma * lambda * Advantage_next * mask  
    last_gae_lam = delta + gamma * gae_lambda * next_non_terminal * last_gae_lam  
    advantages.insert(0, last_gae_lam)  

# Compute Returns: Return = Advantage + Value  
# This is the target for the Value Function  
returns = advantages + values  

# Normalize Advantages (Standard PPO trick)  
 advantages = (advantages - advantages.mean()) / (advantages.std() + 1e-8)

步骤 3:PPO 更新

优化策略,降低低优势动作的概率,提高高优势动作的概率。这个过程跑多个 epoch 以充分利用缓冲区数据,不是更新一次就扔掉。每次迭代策略都在变,所以要在新策略下重新计算旧动作的对数概率,用新旧比率控制策略改进幅度。后面会实验不同的裁剪参数(eps clip)。

 # next state (from previous cell)  
state = next_state  

old_actions = torch.cat(buffer.actions, dim=0)  
old_logprobs = torch.cat(buffer.logprobs, dim=0)  

# K epochs define how   
for _ in range(K_epochs):  
    x_t = old_states[:, :2]  
    t_long = old_states[:, 2].long()  

    pred_noise = policy.actor(x_t, t_long)  
    mean_action = policy.ddim_step(pred_noise, t_long, x_t)  

    # learnable action variance (defined during rollout)  
    dist = Normal(mean_action, action_var.sqrt())  
    # recalculate log probs under new policy for policy ratio  
    logprobs = dist.log_prob(old_actions).sum(dim=-1)  
    ratios = torch.exp(logprobs - old_logprobs)  

    surr1 = ratios * advantages  
    surr2 = torch.clamp(ratios, 1-eps_clip, 1+eps_clip) * advantages  
    policy_loss = -torch.min(surr1, surr2)  

    # compute V(s) with gradients this time, to train value function  
    state_values = policy.critic(x_t, t_long)  
    value_loss = 0.5 * nn.MSELoss()(state_values, returns)  

    # there can also be an entropy term and KL term here, but omit for now  
     loss = policy_loss + value_loss

DPPO 和 DDPO 的区别

网上几乎没有对比这两个名字容易混淆的方法:Denoising Diffusion Policy Optimization(DDPO)和 Diffusion Policy Policy Optimization(DPPO)。DDPO 针对文本生成图像,DPPO 针对扩散策略优化。动机差异之外,DDPO 用按 prompt 的奖励归一化,"类似于价值函数基线";DPPO 用更成熟的 GAE 加上显式学习的价值函数。概念上真的很难分清楚,不过这里的实现因为用了 GAE,技术上算 DPPO。

从头训练 DPPO(失败)

理论上跟 PPO 一样,给够回合数就能最大化奖励。但 RL 和实际训练里,样本效率才是命门。模拟环境确实降低了采样成本,可灵巧操控这种 sim2real 效果差的任务,还是得靠真实演示用尽量少的回合搞定。所以先试试只用 300 个回合从头训练,看看性能曲线。下图和后续图里,蓝点是去噪后的样本,训练过程中定期评估。

300 个回合后 DPPO 完全没收敛,样本压根没往高奖励区域靠。扩散模型本身就需要大量样本,再叠上 RL 臭名昭著的样本低效,失败并不意外。就算加到 5000 个回合,超参不仔细调也收敛不了。

从专家演示微调

现实场景里不可能有无限回合,所以专家演示通常够引导奖励最大化。要模拟"专家演示",需要一个分布:接近高奖励区域的多个模式,大体形状像那么回事,但又留有 RL 优化空间。于是选了一个半径 1.0 的圆形分布,用监督学习训练扩散模型去噪到这个区域——可以类比从演示学习或在互联网数据上预训练。30k epoch 后几百个样本的可视化效果如下:

微调前的预训练动作分布(去噪轨迹未画出)。

加载预训练 checkpoint 再跑 DPPO,性能提升明显行为也符合预期:大约 150 个回合后粒子开始收敛到高奖励区域。不过通常是找到第一个被探索到的高奖励模式,而不是均匀分布在 radius=1.5 的环上。

DPPO 微调把动作从 radius=1 的预训练分布引导到 radius=1.5 的高奖励区域,比从头训效果好太多

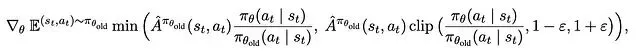
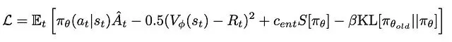
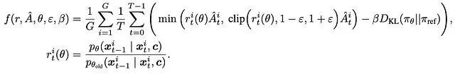
添加 KL 约束

Flow-GRPO 等工作在 PPO 目标之外加了 KL 约束。对 LLM 和图像生成模型(Flow-GRPO 的主要场景),偏向有效文本和语义正确的图像是有道理的。机器人领域不太在意行为克隆的真实分布,只是借它引导通常稀疏且初次难以成功的高奖励区域(比如到底拿没拿起咖啡杯)。但如果用的是可能被"利用"的密集奖励,KL 约束就有用了——比如"杯子举多高"这种奖励,很容易被往上抛的动作钻空子。

DPPO 和 Flow-GRPO 目标对比如下:

DPPO 目标

Flow-GRPO 目标

Flow-GRPO 的组大小 G 可以替代 GAE 做优势估计。KL 约束确保新策略不会偏离原策略太多,能防止收敛时的发散行为。策略比率则保证更新幅度不要太大。加上 KL 后损失变成:

带 KL 约束的新 DPPO 目标

观察到的现象是:动作没有像之前那样收敛到一两个模式,而是保留了更多圆形分布的形状,分散在多个奖励模式周围。总奖励偏低,但这在预期之内。Flow-GRPO 论文也有类似发现:

…我们发现省略 KL 会导致视觉多样性崩溃,这是一种奖励利用的形式…(第 5.2 节)

分布在多个高奖励模式上,对应现实中完成任务有多种方式的情况(可以抓杯身也可以抓杯把)。KL 约束还能增加泛化性,防止只收敛到单一高奖励模式。比如普通 DPPO 可能只学会抓杯身,碰到杯子烫得不行的分布外场景就傻了;加了 KL 约束的 DPPO 还知道可以抓杯把。

即便抓杯把本来不在演示分布里,这个好处也可能成立。值得后续研究的问题是:PPO 更新中的 KL 约束到底保持的是预训练分布的形状,还是分布本身?在这个玩具环境里,如果带 KL 的 DPPO 最优策略确实收敛到均匀分布在 radius=1.5 圆上,就可以定性地说形状被保留了,只是低奖励特性被替换。如果 KL 只是把动作值锁在 radius=1.0,那就不成立了。

消融实验

微调跑通之后,就可以看看 PPO 各组件对性能的影响。

只微调最后几个扩散步骤

DPPO 论文建议提高效率的做法是:预训练后复制两份模型,一份冻结用于去噪前面的时间步,另一份微调用于去噪最后几步(附录 C.2 建议 10% 来平衡效率)。但在这个环境里,30% 到 50% 似乎更合适(总共 50 个去噪步骤)。

只微调最后 10%、30%、50% 的步骤(从左到右)。30% 到 50% 之间效果明显更好

这个环境还可以对比不同设置下的扩散轨迹,训练结束后可视化 20 个样本:

只微调最后 10%、30%、50% 步骤的采样轨迹(从左到右)

放大 10% 微调步骤产生的轨迹(最左边),可以看到样本越过预训练流形后有个向高奖励区域的急剧"转向"。转向后面的去噪步骤就是被微调的模型。有意思的是,微调步骤越多,这个转向越平滑,但预期还是会在某个地方出现——最左边轨迹在第 90 百分位步骤能看到,中间轨迹偶尔在第 70 百分位出现,最右边第 50 百分位已经是平滑过渡了。如果转向的急剧程度和微调效果差相关(急剧可能意味着最后几步过度补偿),那可以考虑用轨迹急剧程度作为拟合质量的指标,尤其是高维场景下不容易定位问题的时候。

跟微调整个轨迹的结果对比:

线条颜色更深,说明显著地把样本推向了高奖励区域,初始扩散步骤的重要性可见一斑。

策略比率 eps clip 和学习率的交互

直觉上这两个东西作用类似。策略比率控制策略变化速度,actor 学习率也决定这一点。

低/高 clip 与学习率的对比(clip = 0.1/0.4,lr = 1e-4, 5e-3)。高 clip 意味着允许更大的策略偏移

学习率的影响压过了策略裁剪,这说得通——参数空间偏移太大的话,策略比率会变得巨大。跑了几个实验后结论很清楚:学习率最需要调,策略裁剪挡不住过激更新(哪怕 clip 设到 0.01 配上高学习率也没用)。有意思的是,低学习率似乎有助于保留奖励区域的多个模式。

移除策略比率

完全去掉策略比率,min() 两边都设成优势值乘对数概率(注意如果只用 A 不带 log prob,梯度就断了)。动作收敛到比不加 KL 项更紧密的分布(跟上一节高 clip 结果很像),不过奖励依然挺高。这也暴露了环境复杂度的局限——没有性能掉下去就回不来的区域,而策略比率本来就是为防这个设计的。不过有趣的是,这又是一个能防止奖励模式崩溃的因素。另一个有趣现象是训练久了会在多个奖励模式之间跳——像是高学习率行为的稍微稳定版。

其他超参的一些观察

优化 epoch 数确实和 eps clip 成反比,两个超参都在权衡每次更新的策略改进幅度。

DPPO 更新间隔的时间步数和学习率成反比,两者都在权衡策略改进的速度。

总结

这篇文章解释了如何为单步环境中的扩散模型实现 DPPO,希望能提供一个比典型机器人环境更容易理解训练动态的平台。跑了只微调最后几个去噪步骤、调各种 PPO 超参的实验。大家可以自己从这些结果里得出结论,也可以动手改改环境,看能不能提升样本效率——这仍然是 PPO 的关键瓶颈。

代码在这里:https://avoid.overfit.cn/post/f27f00300f6c4bf79312ed79a23ae9df

作者: Neel

目录
相关文章
|
1月前
|
机器学习/深度学习 存储 人工智能
让 AI 智能体学会自我进化:Agent Lightning 实战入门
Agent Lightning 是一个框架无关的强化学习包装层,赋能现有AI智能体实现在线持续学习。它解耦执行与训练,支持LangChain/AutoGen等任意框架,通过VERL算法解决稀疏奖励难题,让智能体从运行反馈中自动优化提示词与策略。
190 5
让 AI 智能体学会自我进化:Agent Lightning 实战入门
|
1月前
|
人工智能 测试技术
LLM创造力可以被度量吗?一个基于提示词变更的探索性实验
本文探讨提示词工程为何仍是“玄学”,并通过实验证明:加入明确指令(如“Be as creative as possible”)可显著、可量化地提升LLM输出多样性,效果甚至超过调高温度。研究以embedding距离为代理指标,覆盖13个主流模型,揭示提示词迭代可度量、可预测,为LLM应用从经验走向工程化提供新路径。
108 17
LLM创造力可以被度量吗?一个基于提示词变更的探索性实验
|
9天前
|
安全 API 决策智能
AutoGen 架构演进全梳理:从 v0.4 到 Microsoft Agent Framework
Microsoft AutoGen(2023–2025)是开创性多智能体开源框架,以“群聊式协作”替代单Prompt链,支持智能体对话、工具调用、代码执行与人工介入。v0.4达技术巅峰,后并入Microsoft Agent Framework(MAF)。其核心范式——LLM专家团队协同——已成行业标准。
353 3
AutoGen 架构演进全梳理:从 v0.4 到 Microsoft Agent Framework
|
1月前
|
缓存 达摩院 数据库
RISC-V 基金会 Data Center SIG 第六次会议圆满结束,推动数据中心缺口改进及引入
重点围绕“在 RISC-V 架构中引入持久化内存(Persistent Memory,PMem)相关支持”等的方向展开讨论。
|
17天前
|
机器学习/深度学习 传感器 运维
时间序列异常检测的5种方法:从统计阈值到深度学习
时间序列异常检测旨在识别偏离正常规律的数据点,如凌晨流量突增、传感器骤降等。因数据含趋势、季节性与噪声,需结合统计法(Z-Score)、移动平均、季节分解、Isolation Forest或自编码器等方法,多策略融合可有效降低误报。
159 6
时间序列异常检测的5种方法:从统计阈值到深度学习
|
1月前
|
机器学习/深度学习 人工智能 测试技术
Agent Lightning:微软开源的框架无关 Agent 训练方案,LangChain/AutoGen 都能用
Agent Lightning 是微软推出的开源工具,专攻AI Agent“训练鸿沟”——无需修改代码,即可为LangChain、AutoGen等任意框架注入强化学习、Prompt优化与微调能力,让Agent在真实交互中持续进化。
118 7
Agent Lightning:微软开源的框架无关 Agent 训练方案,LangChain/AutoGen 都能用
|
1月前
|
数据采集 存储 自然语言处理
向量数据库实战——零基础搭建专属RAG知识库
本文手把手教你零代码搭建向量数据库,构建个人大模型知识库:5步完成数据清洗、入库、检索配置与测试,无需编程/本地GPU,10分钟上手RAG核心环节,解决大模型“记不住专属知识”难题。(239字)
|
1月前
|
缓存 人工智能 自然语言处理
企业级编程助手避坑指南:数月躬身摸索,凝炼实操进阶巧思
在软件开发向团队化、工程化进阶的当下,企业级编程助手已不再是单纯的AI编码辅助载体,而是成为覆盖需求→设计→开发→Review全流程的研发基础设施。它依托多模型适配引擎与规范驱动开发体系,融合静态代码分析、环境隔离等核心技术,能实现自然语言任务驱动、自动化代码评审、多端协同开发等功能,帮助研发团队减少重复劳动、提升工程质量。本文结合几个月来的实际使用经历,分享编程助手的实操技巧、实际应用案例及使用心得,旨在为同行提供可落地的实践经验,规避使用误区。
|
1月前
|
人工智能 运维 IDE
Claude Code神器:Manus同款文件规划法,价值20亿美元的工作流秘密
你有没有遇到过这种情况:给AI下个任务,聊了50轮后,它就开始"脑抽"了。 接口规范?忘了。 变量命名风格?混了。 你半小时前定的规则?直接抛到九霄云外。 你得一直提醒它,像保姆一样伺候它,效率低,还累。 但如果我告诉你,现在有个方法能让AI拥有"持久记忆"。 你只需要在项目里放三个Markdown文件,AI就会自动记录所有发现、避免重复踩坑、恢复断开的会话。 效率提升3
|
1月前
|
人工智能 测试技术 API
让大模型真正为你工作:一文读懂RAG与微调的选择逻辑
本文深入解析RAG(开卷考试)与微调(封闭特训)两大私有知识注入技术:RAG实时更新、可追溯但依赖检索质量;微调风格统一、响应快但成本高、难迭代。结合实践案例与评估方法,重点推荐2024主流“混合架构”——RAG管“说什么”,微调管“怎么说”,兼顾准确性与规范性。
279 8

热门文章

最新文章